复利

复利是:世界上第八大奇迹——爱因斯坦

我的财富来自三种要素的结合:生活在美国、一些幸运的基因、复利。——沃伦·巴菲特
富人靠复利致富,穷人靠复利追赶。——头条@21世纪最伟大投机教练
什么是单利
单利:是指按照固定的本金计算的利息。
举例:投资1万元,单利年利率6%。意思就是以后每年有600元的利息收益。
什么是复利
复利:是指一笔资金除本金产生利息外,在下一个计息周期内,以前各计息周期内产生的利息也计算利息的计息方法。
举例:投资1万元,年利率还是6%。
区别是第二年计息方式要包含第一年的600元利息,是10600元的6%的收益,
第三年的收益要包含第二年的利息,
第四年的收益要包含第三年的利息,以此类推……。
复利与单利对比
单利:每天拥有500元,连续拥有30年。
复利:用1万元。年收益是30%,复利收益30年。
第一年是:13000元。
第二年是:16900元。
第三年是:21970元。
第四年是:28561元。
第五年是:37129元。
…………同样经过30年。
你认为是单利最终获得的多?还是复利最终获得的多?
复利获胜

单利:500元×30日×12月×30年=540万元。
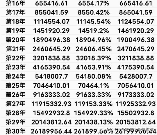
复利:2600万元。(详情如下图↓)


下一篇:【决定复利威力(上)“资金”】