
问:你从100枚硬币中随机抽取一枚硬币:1枚非均匀硬币(正面朝上),99枚均匀硬币(正面朝下),然后掷10次。如果结果是10次正面,硬币不均匀的概率是多少?
可以使用贝叶斯定理来回答。贝叶斯定理的扩展方程如下:

假设取出一枚非均匀硬币的概率记为P(A),连续抛10次正面的概率记为P(B)。那么P(B|A) =1, P(B∣¬A) = 0.5¹⁰, P(¬A) =0.99。
如果填写方程,则P(A | B)= 0.9118或91.18%。
问:有一座100层的大楼。你有两个一模一样的鸡蛋。你如何使用2个鸡蛋来找到阈值楼层,在那里鸡蛋肯定会从N层以上的任何一层打破,包括N层本身。
更具体地说,这个问题是要求找出给定两个鸡蛋的阈值下限的最优方法。
为了更好地理解这个问题,我们假设您只有一个鸡蛋。要找到最低阈值,您只需从第一层开始,放下鸡蛋,然后一次往上移一层直到鸡蛋破裂。
现在想象一下,我们有无限的鸡蛋。查找阈值下限的最佳方法是通过二叉搜索。首先,您将从50楼开始。如果鸡蛋破裂,则可以将鸡蛋放在25层,如果鸡蛋没有破裂,则可以将鸡蛋放置在75层,然后重复此过程,直到找到阈值层。
用两个鸡蛋,找到阈值下限的最佳方法是上述两个解决方案的混合。
例如,你可以每隔5层放一次第一个鸡蛋,直到它破裂,然后用第二个鸡蛋找出哪个楼层是阈值楼层。在最坏的情况下,需要24次。
如果您每隔10层放下第一个鸡蛋直到破裂,在最坏的情况下将需要19次,这比每隔5层放下第一个鸡蛋要好得多。但是,如果您想做得更好呢?
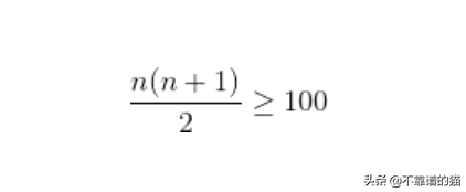
这是最大遗憾最小化的概念发挥作用的地方。这意味着,如果您的第一个放置位于第n层,则假定它没有裂,则第二次放置应为n +(n-1)。可以写成以下等式:

为了更进一步,可以简化为:

解出n,得到大约14。因此,您的策略是从第14层开始,然后14+13,然后14+13+12,以此类推,直到它打破裂,然后使用第二个鸡蛋找到阈值层,一次一层!
问:我们有两种在新闻推送中提供广告的选择。选项1:每25个故事中有1个是广告。选择2:每个故事都有4%的机会是广告。对于每个选项,在100个新闻中显示的预期广告数量是多少?
两种选择的概率都是4 / 100。
对于选项1,1/25等于4/100。
对于选项2,100的4%是4/100。
如果这个问题大家可以讨论下!
问:如何通过仅知道性别高度来证明男性平均比女性高?
你可以用假设检验来证明男性平均比女性高。
原假设认为男性和女性的平均身高相等,而备择假设认为男性的平均身高大于女性的平均身高。
然后你将收集一个随机的男性和女性身高样本,并使用t检验来确定你是否拒绝零假设。
问:如果iOS平台上70%的Facebook用户使用Instagram,而安卓平台上只有35%的Facebook用户使用Instagram,你会如何调查这种差异?
有许多可能的变量会导致这样的差异:
iOS和Android用户的受众特征可能会有很大差异。例如,据Hootsuite称,有43%的女性使用Instagram,而男性只有31%。如果iOS的女性用户比例明显大于Android的女性用户,则可以解释差异(或至少一部分)。这也适用于年龄、种族、民族、地点等。行为因素也会对这种差异产生影响。如果iOS用户比安卓用户更频繁地使用手机,他们就更有可能沉迷于Instagram和其他应用程序。要考虑的另一个可能因素是Google Play和App Store有何不同。例如,如果Android用户有更多的应用程序(或社交媒体应用程序)可供选择,这可能会导致用户数量少。最后,与iOS用户相比,用户体验的任何差异都会阻止安卓用户使用Instagram。如果应用程序对安卓用户的bug比iOS用户多,他们在应用程序上的活跃度就会降低。问:点赞数和用户在平台上花费的时间正在增加,但用户总数正在减少。它的根本原因是什么?
有两个原因可以解释为什么“点赞”会上升。第一个原因是,随着时间的推移,用户的参与度通常会增加——因为随着时间的推移,活跃用户更有可能成为忠实用户,因为使用平台已经成为一种习惯。每个用户的喜欢人数会增加的另一个原因是,分母(用户总数)正在减少。假设停止使用该平台的用户是不活跃的用户,也就是很少参与并且点赞率低于平均水平的用户,那么这将增加每个用户的平均点赞量。
上面的解释也可以应用于在平台上花费的时间。随着时间的流逝,活跃用户变得越来越活跃,而很少使用的用户变得不活跃。总体而言,参与度的提高远超过了参与度低的用户。
更进一步,“参与度低的用户”很可能是Facebook能够检测到的机器人。Facebook已经能够开发算法来发现和删除机器人。如果以前有大量的机器人,这可能是造成这种现象的根本原因。
问:Facebook发现点赞量同比增长了10%,为什么会这样?
给定年份的点赞总数是用户总数和每个用户的平均点赞次数的函数(我将其称为参与度)。
用户总数增加的一些潜在原因如下:用户是由于国际扩张和年龄更小的用户群随着年龄的增长而注册Facebook而获得的。
增加用户参与度的一些潜在原因:是用户对应用程序的使用越来越多(用户变得越来越忠诚),有了新功能,以及用户体验得到了改善。
问:如果我们正在测试产品X,那么您会考虑采用哪些指标来确定它是否成功?
决定产品成功的度量标准取决于业务模型以及企业通过该产品要实现的目标。

精益分析框架
问:如果一个项目经理说他们想要将新闻推送中的广告数量增加一倍,你如何判断这是不是一个好主意?
你可以通过将用户分成两组来执行A/B测试:一组是正常广告数量的对照组,另一组是广告数量翻倍的测试组。然后你可以选择一个度量来定义什么是“好”。例如,我们可以说,原假设是,广告数量翻倍会减少花在Facebook上的时间,而备择假设是,广告数量翻倍不会对花在Facebook上的时间产生任何影响。你可以再选择一个不同的指标,比如活跃用户的数量或流失率。然后进行测试并确定测试的统计显著性,以拒绝零假设或不拒绝零假设。
问:有一种游戏,你会得到两个六面骰子,并要求掷骰。如果骰子上的值之和等于7,则您赢得$ 21。但是,每次掷两个骰子都必须支付5美元。你玩这个游戏吗,为什么?
得到7的概率是1/6。这意味着你需要支付30美元(5*6)才能赢得21美元。预期的支出是- 9美元(21-30),是负的,所以你不会想要支付这个游戏。