①等比级数
②p级数
③调和级数
∑n=1∞1n=1+12+13+...+1n+...=∞\sum\limits_{n=1}^∞\dfrac{1}{n}=1+\dfrac{1}{2}+\dfrac{1}{3}+...+\dfrac{1}{n}+...=∞n=1∑∞n1=1+21+31+...+n1+...=∞ 发散
④交错调和级数
交错调和级数:收敛
交错p级数:收敛
(1)(2)加减数乘都收敛
例题:06年9.

分析:ABC仅对正项级数成立。
举反例:
AB:an=(−1)n⋅1na_n=(-1)^n·\dfrac{1}{n}an=(−1)n⋅n1
C:an=(−1)n⋅1na_n=(-1)^n·\dfrac{1}{\sqrt{n}}an=(−1)n⋅n1

答案:D
大的收敛,小的收敛;
小的发散,大的发散。
例题:09年4. 正项级数的比较审敛法、举反例

分析:
对于A,取an=bn=(−1)n1na_n=b_n=(-1)^n\dfrac{1}{\sqrt{n}}an=bn=(−1)nn1,则anbn=1na_nb_n=\dfrac{1}{n}anbn=n1,为调和级数,发散
对于C,用正项级数的比较审敛法证明C正确:limn→∞an2bn2∣bn∣=limn→∞an2∣bn∣=0∴∣bn∣\lim\limits_{n→∞}\dfrac{a_n^2b_n^2}{|b_n|}=\lim\limits_{n→∞}a_n^2|b_n|=0 \quad ∴|b_n|n→∞lim∣bn∣an2bn2=n→∞liman2∣bn∣=0∴∣bn∣更大。由比较审敛法,大的收敛,则小的an2bn2a_n^2b_n^2an2bn2必收敛
答案:C
ρ=limn→∞un+1un{ρ<1,收敛ρ>1,发散ρ=1,不定,可能收敛可能发散ρ=\lim\limits_{n→∞}\dfrac{u_{n+1}}{u_n} \qquad \qquad \left\{\begin{aligned} ρ & < 1,收敛 \\ ρ & > 1,发散 \\ ρ & =1,不定,可能收敛可能发散 \end{aligned}\right.ρ=n→∞limunun+1⎩⎨⎧ρρρ<1,收敛>1,发散=1,不定,可能收敛可能发散
(7)极限审敛法
(8)积分判别法
(9)A-D判别法(任意项级数)
莱布尼茨收敛定理:
若交错级数 ∑n=1∞(−1)n−1un\sum_{n=1}^∞(-1)^{n-1}u_n∑n=1∞(−1)n−1un 满足 unu_nun单调递减趋于0,则交错级数收敛
即满足 (1)un≥un+1u_n≥u_{n+1}un≥un+1 (2)limn→∞un=0\lim\limits_{n→∞}u_n=0n→∞limun=0.
例题:11年2.

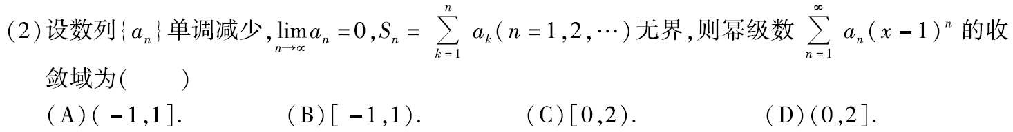
分析:显然 ∑n=1∞an(x−1)n\sum\limits_{n=1}^∞a_n(x-1)^nn=1∑∞an(x−1)n 的收敛中心为 x=1,故排除AB
代入x=2,得发散,所以2处应该为开区间,选C
答案:C
绝对收敛:∑n=1∞un收敛,∑n=1∞∣un∣也收敛绝对收敛:\sum\limits_{n=1}^∞u_n收敛,\sum\limits_{n=1}^∞|u_n|也收敛绝对收敛:n=1∑∞un收敛,n=1∑∞∣un∣也收敛(本身收敛,各项加绝对值也收敛)
条件收敛:∑n=1∞un收敛,∑n=1∞∣un∣发散条件收敛:\sum\limits_{n=1}^∞u_n收敛,\sum\limits_{n=1}^∞|u_n|发散条件收敛:n=1∑∞un收敛,n=1∑∞∣un∣发散(本身收敛,各项加绝对值发散)
1.级数共有绝对收敛、条件收敛和发散三种情况。收敛级数只有绝对收敛和条件收敛两种情况。
2.∑n=1∞anxn在x=x0处条件收敛,则收敛半径R=x0\sum\limits_{n=1}^∞a_nx_n在x=x_0处条件收敛,则收敛半径R=x_0n=1∑∞anxn在x=x0处条件收敛,则收敛半径R=x0
an=1na_n=\dfrac{1}{n}an=n1 或 an=(−1)n⋅1na_n=(-1)^n·\dfrac{1}{n}an=(−1)n⋅n1
an=(−1)n⋅1na_n=(-1)^n·\dfrac{1}{\sqrt{n}}an=(−1)n⋅n1
例题:09年4.
幂级数定义:∑n=0∞anxn=a0+a1x+a2x22+a3x3+...+anxn+...\sum\limits_{n=0}^∞a_nx^n=a_0+a_1x+a_2x^22+a_3x^3+...+a_nx^n+...n=0∑∞anxn=a0+a1x+a2x22+a3x3+...+anxn+...
例题1:10年14. 数字特征与幂级数

答案:2


当|x|
当x = R或x = -R时,幂级数敛散性不定,可能收敛也可能发散.
正数R称为幂级数的收敛半径。开区间(-R,R)称为幂级数的收敛区间。

若∑n=0∞anxn在x=x0处条件收敛,则收敛半径R=x0\sum\limits_{n=0}^∞a_nx^n在x=x_0处条件收敛,则收敛半径R=x_0n=0∑∞anxn在x=x0处条件收敛,则收敛半径R=x0
证明:由Abel定理,
①∑n=0∞anxn在x=x0\sum\limits_{n=0}^∞a_nx^n在x=x_0n=0∑∞anxn在x=x0处收敛,则∣x∣<∣x0∣|x|<|x_0|∣x∣<∣x0∣的一切x使得幂级数绝对收敛,即R≥x0R≥x_0R≥x0。
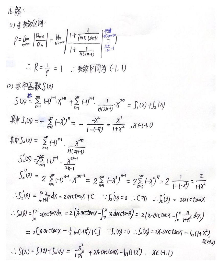
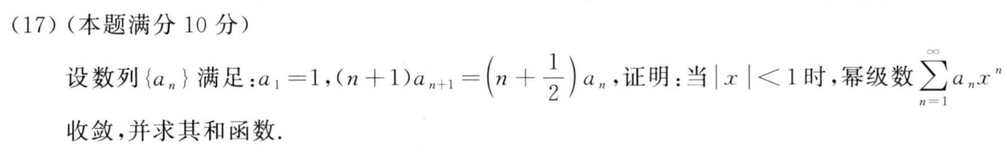
②若 R=x0+εR=x_0+εR=x0+ε,则∣x∣<∣x0+ε∣|x|<|x_0+ε|∣x∣<∣x0+ε∣的一切x使得幂级数绝对收敛,即x=x0 综上①②,收敛半径R=x0R=x_0R=x0 例题1:15年3.(好题) 例题2:11年2. 1+x+x2+x3+...+xn+...=11−x=∑n=0∞xn(−1 ex=∑k=0∞xkk!e^x=\sum\limits_{k=0}^∞\dfrac{x^k}{k!}ex=k=0∑∞k!xk ∴e=∑k=0∞1k!=limx→∞(1+1x)x∴e=\sum\limits_{k=0}^∞\dfrac{1}{k!}=\lim\limits_{x→∞}(1+\dfrac{1}{x})^x∴e=k=0∑∞k!1=x→∞lim(1+x1)x 1.收敛半径R: 函数→幂级数: 例题1:01年13. 分析: 答案:π4−12\dfrac{π}{4}-\dfrac{1}{2}4π−21 1.会标杆:重要的展开式 1.重要“标杆”: ①有分子就先积分消分子,凑标杆为函数,再求导。 例题1:17年12. 积分消分子,凑标杆,再求导回来 分析: 答案:1(1+x)2\dfrac{1}{(1+x)²}(1+x)21 例题2:05年16. 求收敛区间、和函数 答案: 含有常数项递推式,求和函数,一般是需要对S(x)求导,找到一阶微分方程,用公式法求解y=S(x) 例题1:20年17. 答案: ∑n=0∞an\sum\limits_{n=0}^∞a_nn=0∑∞an 是 x=1时的∑n=0∞anxn\sum\limits_{n=0}^∞a_nx^nn=0∑∞anxn 例题1:15年3. 幂级数与常数项级数的转化、阿贝尔定理推论2 分析: 答案:B 形如下式的级数叫做三角级数 令πtl=x\dfrac{πt}{l}=xlπt=x,三角级数可变为 傅里叶级数: 傅里叶系数: 已知傅里叶系数为: ①当f(x)为奇函数f(x)为奇函数f(x)为奇函数时,f(x)cosnxf(x)\cos nxf(x)cosnx是奇函数,f(x)sinnxf(x)\sin nxf(x)sinnx是偶函数,故 ②当f(x)为偶函数f(x)为偶函数f(x)为偶函数时,f(x)cosnxf(x)\cos nxf(x)cosnx是偶函数,f(x)sinnxf(x)\sin nxf(x)sinnx是奇函数,故 即知 偶函数的傅里叶级数是只含有余弦项的余弦级数:a02+∑n=1∞ancosnx\dfrac{a_0}{2}+\sum\limits_{n=1}^∞a_n\cos nx2a0+n=1∑∞ancosnx 例题1:03年3. 分析: 答案:1 设f(x)是周期为2π的周期函数,若它满足: 那么f(x)的傅里叶级数收敛,并且 奇延拓:把(0,π]上的奇函数延展为(-π,π]上的奇函数 例题:13年3. 奇延拓、周期延拓 分析:S(x)表达式为正弦函数,说明是奇函数的傅里叶级数,f(x)为奇函数。 答案:C
泰勒级数(麦克劳林级数)
0.求 幂级数的 收敛半径、收敛区间、收敛域
ρ=limn→∞∣an+1an∣R=1ρρ=\lim\limits_{n→∞}|\dfrac{a_{n+1}}{a_n}|\qquad \qquad R=\dfrac{1}{ρ}ρ=n→∞lim∣anan+1∣R=ρ1
2.收敛区间:(−R,R)(-R,R)(−R,R) 收敛区间是开区间
3.收敛域:在收敛区间的基础上,验证x=R和x=-R两个端点1.函数→幂级数 :函数f(x)f(x)f(x)展开为幂级数
①凑标杆:先求导或积分到标杆 11−x\dfrac{1}{1-x}1−x1 的形式 (x可以为任意形式),以“标杆”为桥梁变成幂级数∑n=0∞xn\sum\limits_{n=0}^{∞}x^nn=0∑∞xn (x可以为任意形式)。
②凑题干:和分两项,尽力合并,注意题干是n=0还是n=1,努力把两项变一项,凑成题干的形式
③求常数项级数:此时的求常数项级数,就是把幂级数中的x代入特定值。


2.幂级数→函数:求 和函数S(x)
2.幂级数求导和积分要会
∑n=0∞xn=1+x+x2+x3+...+xn+...=11−x(−1
∑n=1∞xn=x+x2+x3+...+xn+...=x1−x(−1
逐项求导、逐项积分求和函数 S(x)
②有分母就先求导消分母,凑标杆为函数,再积分。
一次求导(到凑标杆),对应一次积分。两次求导(到凑标杆),对应两次积分
一次积分(到凑标杆),对应一次求导。两次积分(到凑标杆)。对应两次求导




构造微分方程求和函数 S(X)


3.幂级数与常数项级数的相互转化


(三) 傅里叶级数
三角级数
a02+∑n=1∞(ancosnπtl)+bnsinnπtl)\frac{a_0}{2}+\sum_{n=1}^∞(a_n\cos\frac{nπt}{l})+b_n\sin\frac{nπt}{l})2a0+n=1∑∞(ancoslnπt)+bnsinlnπt)
a02+∑n=1∞(ancosnx)+bnsinnx)\frac{a_0}{2}+\sum_{n=1}^∞(a_n\cos nx)+b_n\sin nx)2a0+n=1∑∞(ancosnx)+bnsinnx)
这就把以 2l2l2l 为周期的三角级数转换成以 2π2π2π 为周期的三角级数。
傅里叶级数、傅里叶系数
a02+∑n=1∞(ancosnx)+bnsinnx)\frac{a_0}{2}+\sum_{n=1}^∞(a_n\cos nx)+b_n\sin nx)2a0+n=1∑∞(ancosnx)+bnsinnx)
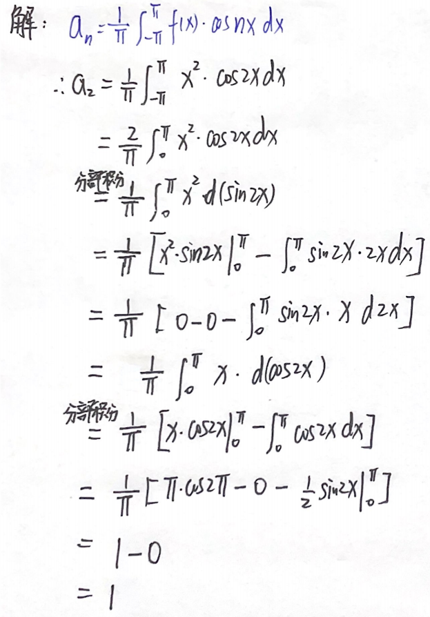
{an=1π∫−ππf(x)cosnxdx(n=0,1,2,3,...)bn=1π∫−ππf(x)sinnxdx(n=1,2,3,...)\left\{\begin{aligned} a_n=\frac{1}{π}\int_{-π}^{π}f(x)\cos nx{\rm d}x \quad (n=0,1,2,3,...)\\ b_n=\frac{1}{π}\int_{-π}^{π}f(x)\sin nx{\rm d}x \qquad (n=1,2,3,...) \end{aligned}\right.⎩⎨⎧an=π1∫−ππf(x)cosnxdx(n=0,1,2,3,...)bn=π1∫−ππf(x)sinnxdx(n=1,2,3,...)
正弦级数、余弦级数
{an=1π∫−ππf(x)cosnxdx(n=0,1,2,3,...)bn=1π∫−ππf(x)sinnxdx(n=1,2,3,...)\left\{\begin{aligned} a_n=\frac{1}{π}\int_{-π}^{π}f(x)\cos nx{\rm d}x \quad (n=0,1,2,3,...)\\ b_n=\frac{1}{π}\int_{-π}^{π}f(x)\sin nx{\rm d}x \qquad (n=1,2,3,...) \end{aligned}\right.⎩⎨⎧an=π1∫−ππf(x)cosnxdx(n=0,1,2,3,...)bn=π1∫−ππf(x)sinnxdx(n=1,2,3,...)
{an=0(n=0,1,2,3,...)bn=2π∫0πf(x)sinnxdx(n=1,2,3,...)\left\{\begin{aligned} a_n=0 \qquad \qquad \qquad \qquad (n=0,1,2,3,...)\\ b_n=\frac{2}{π}\int_0^{π}f(x)\sin nx{\rm d}x \quad (n=1,2,3,...) \end{aligned}\right.⎩⎨⎧an=0(n=0,1,2,3,...)bn=π2∫0πf(x)sinnxdx(n=1,2,3,...)
{an=2π∫0πf(x)cosnxdx(n=0,1,2,3,...)bn=0(n=1,2,3,...)\left\{\begin{aligned} a_n=\frac{2}{π}\int_0^{π}f(x)\cos nx{\rm d}x \qquad (n=0,1,2,3,...)\\ b_n =0 \qquad \qquad \qquad \qquad \quad \qquad (n=1,2,3,...) \end{aligned}\right.⎩⎨⎧an=π2∫0πf(x)cosnxdx(n=0,1,2,3,...)bn=0(n=1,2,3,...)
奇函数的傅里叶级数是只含有正弦项的正弦级数:∑n=1∞bnsinnx\sum\limits_{n=1}^∞b_n\sin nxn=1∑∞bnsinnx


狄利克雷收敛定理
(1)在一个周期内连续或只有有限个第一类间断点
(2)在一个周期内至多只有有限个极值点
①当x是f(x)的连续点时,级数收敛于f(x) 和函数S(x)=f(x)
②当x是f(x)的间断点时,级数收敛于12[f(x−)+f(x+)]\dfrac{1}{2}[f(x^-)+f(x^+)]21[f(x−)+f(x+)] 和函数S(x)=间断点左右极限的平均值
奇延拓、偶延拓、周期延拓
偶延拓:把(0,π]上的偶函数延展为(-π,π]上的偶函数
周期延拓:从周期为(-π,π] 延展为周期为2π的周期函数

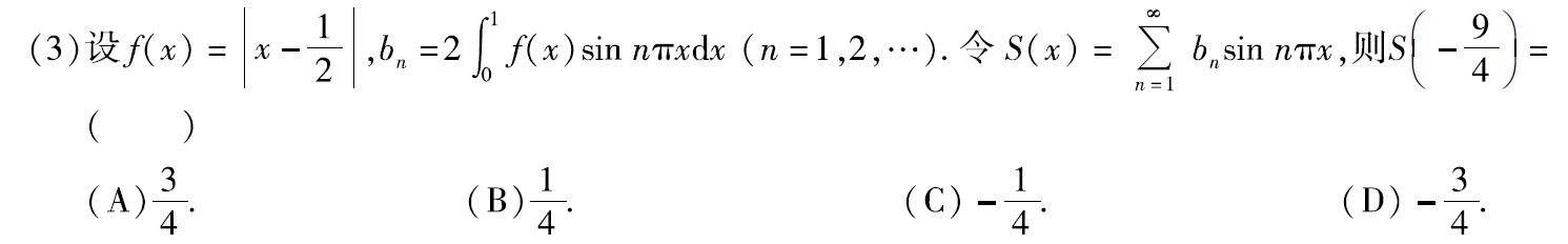
观察bn,知x∈(0,1)
对f(x)进行奇延拓,周期延拓,则f(x)周期为2
∴S(−94)=S(−94+2)=S(−14)=f(−14)=−14∴S(-\frac{9}{4})=S(-\frac{9}{4}+2)=S(-\frac{1}{4})=f(-\frac{1}{4})=-\frac{1}{4}∴S(−49)=S(−49+2)=S(−41)=f(−41)=−41