14天阅读挑战赛
本篇是学习了《趣学算法(第2版)》 第一章之后总结的。

上一篇讲到了等比数列求和问题,求Sn=1+2+22+23+...+263=?S_n = 1 + 2 + 2^2 + 2^3 + ... + 2^{63}= ?Sn=1+2+22+23+...+263=?,该函数属于爆炸增量函数,如果采用常规运算,则要考虑算法的时间复杂度。
常见的算法时间复杂度有以下几类。
常数阶。
常数阶算法的运行次数是一个常数,如5、20、100。常数阶算法的时间复杂度通常用O(1)表示。
多项式阶。
很多算法的时间复杂度是多项式,通常用 0(n)、O(n2)O(n^2)O(n2)、0(n3)0(n^3)0(n3)等表示。
指数阶。
指数阶算法的运行效率极差,程序员往往像躲“恶魔”一样避开这种算法。指数阶算法的时间复杂度通常用O(2n)O(2^n)O(2n)、O(n!)O(n!)O(n!)、O(nn)O(n^n)O(nn)等表示。
对数阶。
对数阶算法的运行效率较高,通常用O(logn)O(logn)O(logn)、O(nlogn)O(nlogn)O(nlogn)等表示。
指数阶增量随着的增加而急剧增加,而对数阶增长缓慢。它们之间的关系如下:
O(1)<O(logn)<O(n)<O(nlogn)<O(n2)<O(n3)<O(2n)O(n!)<O(nn)O(1)<O(logn)<O(n)<O(nlogn)<O(n^2)<O(n^3)<O(2^n)O(n!)<O(n^n)O(1)<O(logn)<O(n)<O(nlogn)<O(n2)<O(n3)<O(2n)O(n!)<O(nn)
在设计算法时,我们要注意算法复杂度增量的问题,尽量避免爆炸级增量。
斐波那契数
动态规划(拆分子问题;记住过往,减少重复计算)
假设第1个月有1对初生的兔子,第2个月进入成熟期,第3个月开始生育兔子,而1对成熟的兔子每月会生
1对兔子,兔子永不死去……那么,由1对初生的兔子开始,12个月后会有多少对兔子呢?

这个数列有如下十分明显的特点:从第3个月开始,当月的兔子数=上月兔子数+当月新生兔子数当月的兔子数=上月兔子数+当月新生兔子数当月的兔子数=上月兔子数+当月新生兔子数,而当月新生兔子数=上上月的兔子数当月新生兔子数=上上月的兔子数当月新生兔子数=上上月的兔子数。因此,前面相邻两项之和便构成后一项,换言之:
当月的兔子数=上月兔子数+上上月的兔子数当月的兔子数=上月兔子数+上上月的兔子数当月的兔子数=上月兔子数+上上月的兔子数
1 ,1 ,2 ,3 ,5 ,8, 13 ,21 ,34 ......
F(n)={1,n=11,n=2F(n−1)+F(n−2),n>2F(n)= \begin{cases} 1&, \text{n=1}\\ 1&, \text{n=2}\\ F(n-1) + F(n-2)&, \text{n>2} \end{cases}F(n)=⎩⎨⎧11F(n−1)+F(n−2),n=1,n=2,n>2
根据递归表达式,初步的算法代码如下:
const fbn = (n) => {if (n == 1 || n == 2) {return 1} else {return fbn(n-2) + fbn(n-1)}
}
让我们看一下上面算法的时间复杂度,也就是计算的总次数T(n)T(n)T(n)
时间复杂度算的是最坏情况下的时间复杂度
n=1时,T(n)=1
n=2时,T(n)=1;
n=3时,T(n)=3; //调用Fib1(2)和Fib1(1)并执行一次加法运算(Fib1(2)+Fib1(1))
当n>2时需要分别调用fbn(n-1)和fbn(n-2),并执行一次加法运算,换言之:
n>2时,T(n)=T(n−1)+T(n−2)+1;n\gt2时,T(n)=T(n-1)+T(n-2)+1;n>2时,T(n)=T(n−1)+T(n−2)+1;
所以,T(n)>=F(n)T(n) >= F(n)T(n)>=F(n)
问题来了,怎么判断
T(n)属于算法时间复杂度的哪种类型呢?
方法一:
画出递归树,每个节点表示计算一次

一棵满二叉树,节点总数就和树的高度呈指数关系
递归树 F(n)里面存在满二叉树,所以时间复杂度是指数阶的。
方法二:
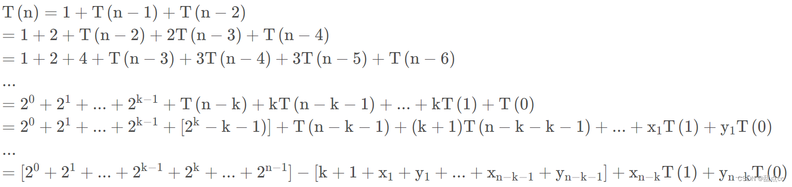
使用公式进行递推

因为时间复杂度算的是最坏情况下的时间复杂度,所以计算第一个括号内的即可
即:T(n)=O(2n)T(n) = O(2^n)T(n)=O(2n),时间复杂度是指数阶的
不难发现:上面基于递归表达式的算法,存在大量的重复计算,增大了算法的时间复杂度,所以我们可以做出如下改进,以减少时间复杂度
// 利用数组记录过往的值,直接使用,避免重复计算
const fbn2 = (n) => {let arr = new Array(n + 1); // 定义 n + 1 长度的数组arr[1] = 1;arr[2] = 1;for (let i = 3; i <= n; i++) {arr[i] = arr[i - 1] + arr[i - 2]}return arr[n]
}
很显然上面算法的时间复杂度是O(n)O(n)O(n),时间复杂度从指数阶降到了多项式阶。
由于上面算法使用数组记录了所有项的值,所以,算法的空间复杂度变成了O(n)O(n)O(n),我们可以继续改进算法,来降低算法的空间复杂度
采用临时变量,来迭代记录上一步计算出来的值,代码如下:
const fbn3 = (n) => {if (n === 1 || n === 2) {return 1;}let pre1 = 1 // pre1,pre2记录前面两项let pre2 = 1let tmp = ''for (let i = 3; i <= n; i++) {tmp = pre1 + pre2 // 2pre1 = pre2 // 1pre2 = tmp // 2}return pre2
}
使用了三个辅助变量,时间复杂度还是O(n)O(n)O(n),空间复杂度降为O(1)O(1)O(1)
// 斐波那契数列
// 1 ,1 ,2 ,3 ,5 ,8, 13 ,21 ,34 ......const fbn = (n) => {if (n == 1 || n == 2) {return 1} else {return fbn(n-2) + fbn(n-1)}
}
console.time('fbn')
console.log('fbn(40)=', fbn(40))
console.timeEnd('fbn')// 利用数组记录过往的值,直接使用,避免重复计算
const fbn2 = (n) => {let arr = new Array(n + 1); // 定义 n + 1 长度的数组arr[1] = 1;arr[2] = 1;for (let i = 3; i <= n; i++) {arr[i] = arr[i - 1] + arr[i - 2]}return arr[n]
}console.time('fbn2')
console.log('fbn2(40)=', fbn2(40))
console.timeEnd('fbn2')const fbn3 = (n) => {if (n === 1 || n === 2) {return 1;}let pre1 = 1 // pre1,pre2记录前面两项let pre2 = 1let tmp = ''for (let i = 3; i <= n; i++) {tmp = pre1 + pre2 // 2pre1 = pre2 // 1pre2 = tmp // 2}return pre2
}console.time('fbn3')
console.log('fbn3(40)=', fbn3(40))
console.timeEnd('fbn3')
测试结果如下:
fbn(40)= 102334155
fbn: 667.76ms
fbn2(40)= 102334155
fbn2: 0.105ms
fbn3(40)= 102334155
fbn3: 0.072ms
能不能继续降阶,使算法的时间复杂度更低呢?
实质上,斐波那契数列的时间复杂度还可以降到对数阶O(logn)O(logn)O(logn),好厉害!!!后面继续探索吧
我是 甜点cc
热爱前端,也喜欢专研各种跟本职工作关系不大的技术,技术、产品兴趣广泛且浓厚,等待着一个创业机会。本号主要致力于分享个人经验总结,希望可以给一小部分人一些微小帮助。
希望能和大家一起努力营造一个良好的学习氛围,为了个人和家庭、为了我国的互联网物联网技术、数字化转型、数字经济发展做一点点贡献。数风流人物还看中国、看今朝、看你我。