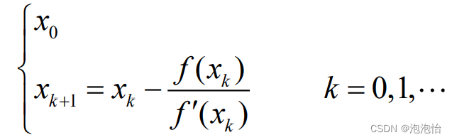
一、牛顿法
1.实质:牛顿法实质上是一种线性方法,其基本思想是将非线性方程f(x)=0逐步归结为某种线性方程来解。
2.牛顿法公式:
已知方程f(x)=0有近似解xk,假设
,将f(x)在点xk泰勒展开,有
则方程f(x)=0可近似表示为:
,根为:
则迭代法:

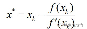
3.牛顿法几何意义:
方程发f(x)=0的根
可解释为曲线y=f(x)与x轴的交点横坐标,如图:

例题:
![]()

牛顿法的优点是收敛快,缺点是计算量大且计算求导困难,并且只有初始近似x0在x*的附近才能保证收敛,若x0不合适可能不收敛。
二、牛顿法改进
1.简化牛顿法迭代公式:
2.几何意义:用斜率
的平方弦与x轴的交点,做
的近似。
3.牛顿下山法:
(1)基本思想:将牛顿法前后两次迭代结果
进行加权平均,作为新的
,并且保证
,其中 为下山因子, ,选择 时, 从 开始,逐次将 减半进行试算,直到 满足 为止。
(2)公式:![]()
![]()
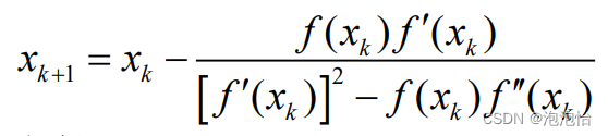
三、重根情形
设
,且
,则称
是方程的m重根,则![]()
牛顿法:
其中
则
,因
则
,则牛顿法线性收敛。
(1)改进一:
取
其中m为几个重根,则
则迭代法
至少二阶收敛。
(2)改进二:
若
是
的m重根,则
是 的m-1重根。 令
,则
是
的单根,对
用牛顿法至少有二阶收敛性。 迭代公式如下:

例题:
结果:
上一篇:有趣的一对。