
✨博客主页: 心荣~
✨系列专栏:【Java实现数据结构】
✨一句短话: 难在坚持,贵在坚持,成在坚持!
如果有一个关键码的集合K = {k0,k1, k2,…,kn-1},把它的所有元素按完全二叉树的顺序存储方式存储 在一 个一维数组中,并满足:Ki <= K2i+1 且 Ki<= K2i+2 (Ki >= K2i+1 且 Ki >= K2i+2) i = 0,1,2…,则称为 小堆(或大堆)。将根节点最大的堆叫做最大堆或大根堆,根节点最小的堆叫做最小堆或小根堆。
堆的性质:

从堆的概念可知,堆是一棵完全二叉树,因此可以层序的规则采用顺序的方式来高效存储,
注意:对于非完全二叉树,则不适合使用顺序方式进行存储,因为为了能够还原二叉树,空间中必须要存储空节点,就会导致空间利用率比较低。
假设i为节点在数组中的下标,则有:
【向下调整】
首先我们需要知道堆的特点, 堆的堆顶的元素大于 (或小于) 子堆的元素大小,堆的本质就是一棵完全二叉树,堆采用顺序存储的方式来实现, 所以根据这些特点可以总结出堆的创建过程。
设最后一棵子树根结点所对应数组下标为parent,其左子树根结点为child,堆大小为len,根据二叉树的性质,下标会满足child = 2 ∗ parent + 1 ; parent = (child − 1 ) / 2 ;
最后一个结点下标为len−1,其父结点下标为(len−2) / 2 ; 也就是说 , 最后一棵子树根结点的下标为(len−2) / 2
对于向下调整中,以创建大根堆为例,如果一棵子树右结点存在且大于左结点的值,则child++保证child指向的是左右结点中较大的那一个

下面给出的是堆的基本成员属性,
public class MyHeap {public int[] elem;public int usedSize;//记录有效元素个数public static final int DEFAULT_SIZE = 10;//默认容量public MyHeap() {elem = new int[DEFAULT_SIZE];}//初始化数组public void initElem(int[] array) {for (int i = 0; i < array.length; i++) {this.elem[i] = array[i];usedSize++;}}
}
代码实现创建大根堆,
//调整数组元素,创建大根堆public void createHeap() {//从最后一个双亲节点开始向下调整for (int parent = (this.usedSize-1-1)/2; parent >= 0; parent--) {//向下调整shiftDown(parent, this.usedSize);}}/*** 向下调整* @param parent 每棵树的根节点位置* @param len 用来判断每棵子树调整的结束时机, 位置不能大于len*/public void shiftDown(int parent, int len) {//计算左孩子位置int child = parent*2+1;//要判断左孩子是否存在while(child < len) {//确定右孩子是否存在,确定最大值if (child + 1 < len && elem[child] < elem[child+1]) {child++;}//走到这里child指向的一定是左右孩子中较大的if(elem[parent] < elem[child]) {int tmp = elem[parent];elem[parent] = elem[child];elem[child] = tmp;parent = child;child = 2*parent+1;}else {break;}}}
【建堆的时间复杂度】
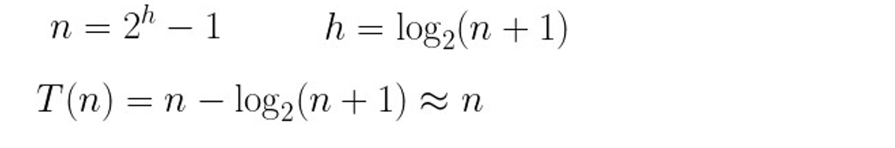
建堆的过程是自下而上的,堆的本质就是一棵完全二叉树,不妨设该二叉树的高度为h,堆元素个数为n,建堆时需要对所有高度大于1的子树进行调整,最坏情况下该堆是一个满堆,设该堆所处层次为x(从1开始),则第x层次的子树需要调整h-x次,有2 ^ (h-1)个结点,由于只调整高度大于1的子树,因此x的范围为[1,h−1]
调整的次数为T(n):

我们发现T(n)为等比数列和减去h再加上1,等比数列求和公式为Sn=a1(1−qn)/(1−q)
T(n)=2∗(1−2h−1)/(−1)−h+1
T(n)=2 ^ h−h−1

所以,建堆的时间复杂度为O(N)。
按照如下步骤完成元素入堆:
下面是对向上调整的说明:
在数组最后一个位置放入一个元素后,以大根堆为例, 这个元素所在的子树就可能不满足大根堆的条件了, 所以需要对该结点进行向上调整,让这棵子树再次满足大根堆, 如果做出了调整, 就需要一直先向上调整, 直至满足条件 ; 所谓向上调整就是比较 调整结点与父亲结点 值的大小,如果该结点值比较大,则与父亲结点交换值,否则不需调整,该堆已经满足大根堆条件,因为交换后不知道上面的子树是否为大根堆,所以需要对交换路径上所有的结点进行相同的向上调整,直到调整完堆顶,过程中出现父亲结点比较大则结束调整; 同样的如果是小根堆,思路是一样的, 只需要把把 调整结点与父亲结点 的比较方式改变一下即可.
下面的实现代码以大根堆为例:
public void offer(int val) {//判断空间是不是满了if(isFull()) {elem = Arrays.copyOf(elem, 2*elem.length);}elem[usedSize] = val;usedSize++;//向上调整shiftUp(usedSize-1);}public boolean isFull() {return usedSize == elem.length;}public void shiftUp(int child) {int parent = (child-1)/2;while(child > 0) {if (elem[parent] < elem[child]) {int tmp = elem[parent];elem[parent] = elem[child];elem[child] = tmp;child = parent;parent = (child-1)/2;}else{break;}}}
注意:出堆的元素一定是堆顶元素
按照如下步骤完成元素出堆:
下面的实现代码以大根堆为例:
//堆的删除public int pop() {if(isEmpty()) {throw new EmptyHeapException("当前堆为空");}int tmp = elem[0];elem[0] = elem[usedSize-1];elem[usedSize-1] = tmp;usedSize--;shiftDown(0, usedSize);return tmp;}
//判断堆是否为空public boolean isEmpty() {return usedSize == 0;}//获取堆中元素public int peek() {if(isEmpty()) {throw new EmptyHeapException();}return elem[0];}//清空public void clear() {usedSize = 0;}public int size() {return usedSize;}
在优先级队列中,元素被赋予优先级。当访问元素时,具有最高优先级的元素最先删除。优先队列具有最高级先出 (first in, largest out)的行为特征,通常采用堆数据结构来实现; 比如说一个优先队列是由小根堆实现的,则该队列优先最小的元素出队,反之,优先队列由大根堆实现,则该队列优先最大的元素出队。

关于PriorityQueue的使用要注意:
集合框架中的PriorityQueue底层使用堆结构,因此其内部的元素必须要能够比较大小,PriorityQueue采用了:
Comparble和Comparator两种方式。
// JDK中PriorityQueue的实现:public class PriorityQueue extends AbstractQueueimplements java.io.Serializable {// ...// 默认容量private static final int DEFAULT_INITIAL_CAPACITY = 11;// 内部定义的比较器对象,用来接收用户实例化PriorityQueue对象时提供的比较器对象private final Comparator super E> comparator;// 用户如果没有提供比较器对象,使用默认的内部比较,将comparator置为nullpublic PriorityQueue() {this(DEFAULT_INITIAL_CAPACITY, null);}// 如果用户提供了比较器,采用用户提供的比较器进行比较public PriorityQueue(int initialCapacity, Comparator super E> comparator) {// Note: This restriction of at least one is not actually needed,// but continues for 1.5 compatibilityif (initialCapacity < 1)throw new IllegalArgumentException();this.queue = new Object[initialCapacity];this.comparator = comparator;}// ...// 向上调整:// 如果用户没有提供比较器对象,采用Comparable进行比较// 否则使用用户提供的比较器对象进行比较private void siftUp(int k, E x) {if (comparator != null)siftUpUsingComparator(k, x);elsesiftUpComparable(k, x);}// 使用Comparable@SuppressWarnings("unchecked")private void siftUpComparable(int k, E x) {Comparable super E> key = (Comparable super E>) x;while (k > 0) {int parent = (k - 1) >>> 1;Object e = queue[parent];if (key.compareTo((E) e) >= 0)break;queue[k] = e;k = parent;}queue[k] = key;}// 使用用户提供的比较器对象进行比较@SuppressWarnings("unchecked")private void siftUpUsingComparator(int k, E x) {while (k > 0) {int parent = (k - 1) >>> 1;Object e = queue[parent];if (comparator.compare(x, (E) e) >= 0)break;queue[k] = e;k = parent;}queue[k] = x;}}
下面的代码是定义一个的自定义类型, 要将自定义类型入堆, 自定义类型必须实现Comparble接口; 将第一个元素入堆时不涉及比较, 当第二个元素入堆就会涉及比较了;
class Person implements Comparable{int age;String name;public Person(int age, String name) {this.age = age;this.name = name;}@Overridepublic int compareTo(Person o) {return this.age - o.age;}@Overridepublic String toString() {return "Person{" +"age=" + age +", name='" + name + '\'' +'}';}
}
public class Test {public static void main(String[] args) {PriorityQueue priorityQueue = new PriorityQueue<>();priorityQueue.offer(new Person(18,"张三"));priorityQueue.offer(new Person(20,"李四"));}
}
| 构造器 | 功能介绍 |
|---|---|
| PriorityQueue() | 创建一个空的优先级队列,默认容量是11 |
| PriorityQueue(int initialCapacity) | 创建一个初始容量为initialCapacity的优先级队列,注意: initialCapacity不能小于1,否则会抛IllegalArgumentException异 常 |
| PriorityQueue(Collection< ? extends E > c) | 用一个集合来创建优先级队列 |
观察这三个构造方法的源码, 其实在底层是又调用了含有两个参数的构造方法public PriorityQueue(int initialCapacity**,** Comparator super E> comparator), 除了设置容量的参数外, 另一个参数是一个比较器, 在调用时设置为了null;




构造示例:
static void TestPriorityQueue(){// 创建一个空的优先级队列,底层默认容量是11PriorityQueue q1 = new PriorityQueue<>();// 创建一个空的优先级队列,底层的容量为initialCapacityPriorityQueue q2 = new PriorityQueue<>(100);ArrayList list = new ArrayList<>();list.add(4);list.add(3);list.add(2);list.add(1);// 用ArrayList对象来构造一个优先级队列的对象// q3中已经包含了三个元素PriorityQueue q3 = new PriorityQueue<>(list);System.out.println(q3.size());System.out.println(q3.peek());}
注意:默认情况下,PriorityQueue队列是小堆,如果需要大堆需要用户提供比较器
public static void main(String[] args) {PriorityQueue priorityQueue1 = new PriorityQueue<>(new IntCmp());priorityQueue1.offer(1);priorityQueue1.offer(2);priorityQueue1.offer(3);System.out.println(priorityQueue1);//使用隐藏内部类创建基于大根堆的优先队列PriorityQueue priorityQueue2 = new PriorityQueue<>(new Comparator() {@Overridepublic int compare(Integer o1, Integer o2) {return o2 - o1;}});priorityQueue2.offer(1);priorityQueue2.offer(2);priorityQueue2.offer(3);System.out.println(priorityQueue1);//使用lambda表达式创建基于大根堆的优先队列PriorityQueue priorityQueue3 = new PriorityQueue<>((x, y) -> y-x);priorityQueue3.offer(1);priorityQueue3.offer(2);priorityQueue3.offer(3);System.out.println(priorityQueue1);}
| 方法名 | 功能介绍 |
|---|---|
| boolean offer(E e) | 插入元素e,插入成功返回true,如果e对象为空,抛出NullPointerException异常,时 间复杂度 O(logN),注意:空间不够时候会进行扩容 |
| E peek() | 获取优先级最高的元素,如果优先级队列为空,返回null |
| E poll() | 移除优先级最高的元素并返回,如果优先级队列为空,返回null |
| int size() | 获取有效元素的个数 |
| void clear() | 清空 |
| boolean isEmpty() | 检测优先级队列是否为空,空返回true |
static void TestPriorityQueue2(){int[] arr = {4,1,9,2,8,0,7,3,6,5};// 一般在创建优先级队列对象时,如果知道元素个数,建议就直接将底层容量给好// 否则在插入时需要不够时要去扩容// 扩容机制:开辟更大的空间,拷贝元素,这样效率会比较低PriorityQueue q = new PriorityQueue<>(arr.length);for (int e: arr) {q.offer(e);}System.out.println(q.size()); // 打印优先级队列中有效元素个数System.out.println(q.peek()); // 获取优先级最高的元素// 从优先级队列中删除两个元素之和,再次获取优先级最高的元素q.poll();q.poll();System.out.println(q.size()); // 打印优先级队列中有效元素个数System.out.println(q.peek()); // 获取优先级最高的元素q.offer(0);System.out.println(q.peek()); // 获取优先级最高的元素// 将优先级队列中的有效元素删除掉,检测其是否为空q.clear();if(q.isEmpty()){System.out.println("优先级队列已经为空!!!");}else{System.out.println("优先级队列不为空");}}
以下是JDK 1.8中,PriorityQueue的扩容方式:
private static final int MAX_ARRAY_SIZE = Integer.MAX_VALUE - 8;private void grow(int minCapacity) {int oldCapacity = queue.length;// Double size if small; else grow by 50%int newCapacity = oldCapacity + ((oldCapacity < 64) ?(oldCapacity + 2) :(oldCapacity >> 1));// overflow-conscious codeif (newCapacity - MAX_ARRAY_SIZE > 0)newCapacity = hugeCapacity(minCapacity);queue = Arrays.copyOf(queue, newCapacity);}private static int hugeCapacity(int minCapacity) {if (minCapacity < 0) // overflowthrow new OutOfMemoryError();return (minCapacity > MAX_ARRAY_SIZE) ?Integer.MAX_VALUE :MAX_ARRAY_SIZE;}
TOP-K问题:即求数据集合中前K个最大的元素或者最小的元素,一般情况下数据量都比较大。
比如:专业前10名、世界500强、富豪榜、游戏中前100的活跃玩家等。
要处理这个问题, 我们能想到的最简单的方式就是排序, 但是如果数据量非常大的话, 就不推荐使用排序了, 因为我们只要拿到几个元素, 数据量很大时使用排序效率就比较低了;
使用堆,如求的是前k个最大的元素,可以创建一个基于大根堆的优先级队列,把所有数据入堆,所有元素都入堆之后再出堆k个元素,这k个元素就是前k个最大的元素。
上面的两种思路有一个缺陷就是, 如果数据量非常大的话, 效率就会很低下; Top-k问题标准解决思路如下:
求的是前k个最大元素, 如果比所建小根堆的堆顶元素大, 则替换堆顶元素
求的是前k个最小元素, 如果比所建大根堆的堆顶元素大, 则替换堆顶元素
将剩余N-K个元素依次与堆顶元素比完之后,堆中剩余的K个元素就是所求的前K个最小或者最大的元素。
时间复杂度分析
向上调整建堆的时间复杂度:


[思路2时间复杂度分析]:
要将N个元素都放入到堆中, 每次入堆都需要向上调整(N*logN);
堆建好后, 将k个元素出堆, 每次出堆都需要向下调整(K*logN)
所以时间复杂度为O(NlogN+KlogN)
[思路3时间复杂度分析]:
建立大小为k的大/小根堆(K*logK)
遍历剩下的N-K个元素每个都和堆顶比较, 最坏的情况下, 每次都需要去调整((N-K)*logK)
所以时间复杂度为O( K*logK+(N-K)logK ) = O(NlogK)
在线OJ:面试题 17.14. 最小K个数
设计一个算法,找出数组中最小的k个数。以任意顺序返回这k个数均可。
示例:
输入: arr = [1,3,5,7,2,4,6,8], k = 4
输出: [1,2,3,4]
提示:
class Solution {//方法三: 建立一个大小为k的大根堆public int[] smallestK(int[] arr, int k) {if(arr == null || k <= 0) {return new int[0];}PriorityQueue maxHeap = new PriorityQueue<>(new Comparator(){@Overridepublic int compare(Integer o1, Integer o2) {return o2.compareTo(o1);}});for (int i = 0; i < k; i++) {maxHeap.offer(arr[i]);}for (int i = k; i < arr.length; i++) {if(arr[i] < maxHeap.peek()) {maxHeap.poll();maxHeap.offer(arr[i]);}}int[] tmp = new int[k];for (int i = 0; i < k; i++) {tmp[i] = maxHeap.poll();}return tmp;}//方法二: 将数据全部入堆/*public int[] smallestK(int[] arr, int k) {PriorityQueue heap = new PriorityQueue<>();for (int i = 0; i < arr.length; i++) {heap.offer(arr[i]);}int[] tmp = new int[k];for (int i = 0; i < k; i++) {tmp[i] = heap.poll();}return tmp;}*///方法一: 排序/*public int[] smallestK(int[] arr, int k) {Arrays.sort(arr);int[] tmp = new int[k];for(int i = 0; i < k; i++) {tmp[i] = arr[i];}return tmp;}*/
}
上一篇:我妈给的答案
下一篇:当萝莉遇到一个假叔叔时,