自用笔记整理复习。
内容来自2023周洋鑫冲刺班。
加油ヾ(◍°∇°◍)ノ゙
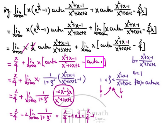
【加项减项】



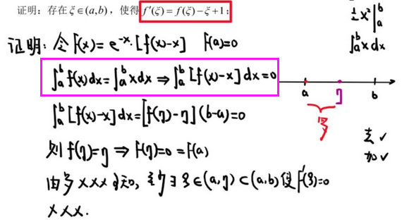
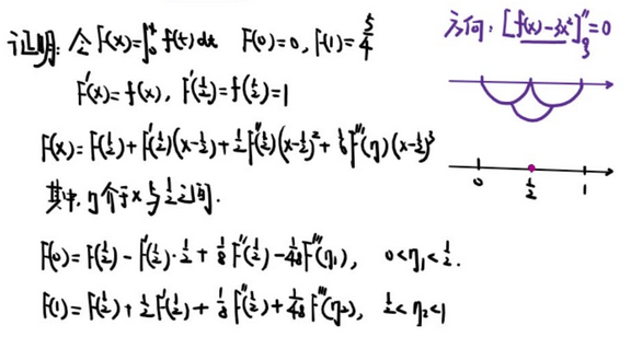
【分母与面积同阶】—— 走二重积分中值定理





学思想 —— 别忘了可以洛必达

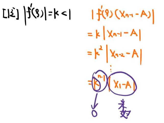
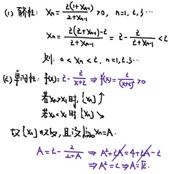
【压缩映射原理】
高数 | 【数列】递推型数列 与 极限_西皮呦的博客-CSDN博客

【注意 凑不成可爱因子 考虑放缩】


学思想 —— 【连续不行 定积分不行 单调有界不行 只剩夹逼 学 放缩】

【数列积分极限、利用 泰勒公式 —— 放缩】

【比较简单】

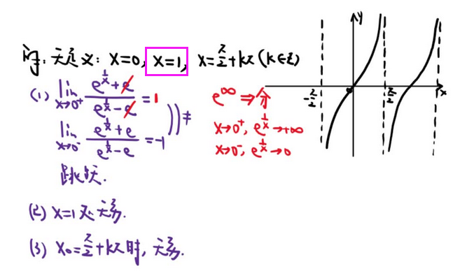
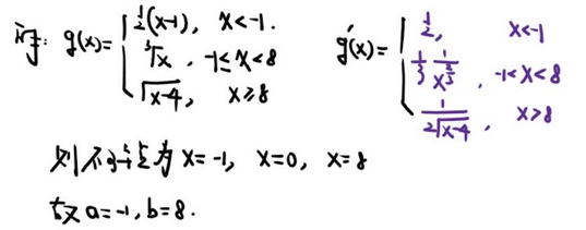
【分母不为0、无定义点、分段函数分段点】



高数 | 导数极限定理、分段点求导能不能用公式?导数和导数的极限?_西皮呦的博客-CSDN博客_导数极限定理
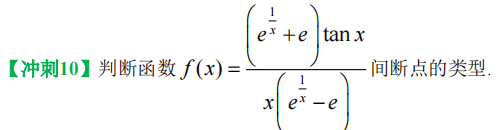
【抽象函数极限】






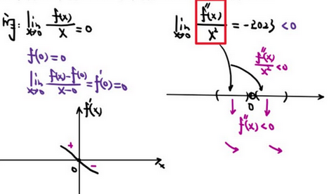
【注!二阶导不知道是否连续,不能推出 该点二阶导为0】
【解析】B —— 不取拐点 二阶导不知道是否连续,不能推出 该点二阶导为0


【再看一下思路就行 感觉很简单。】



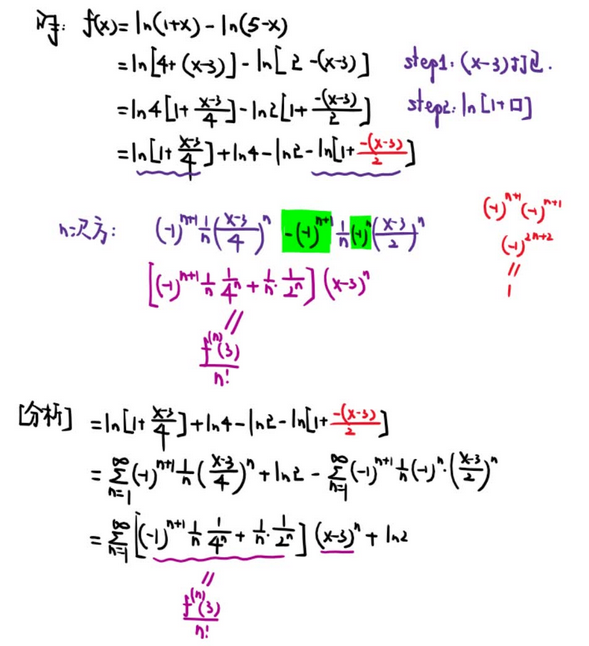
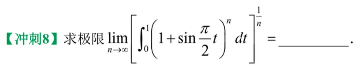
【思维方式 —— 注意取对数的使用】


泰勒公式:
第一种形式:皮亚诺余项 —— 展开到几阶,几阶存在
第二种形式:拉格朗日余项 —— n阶导数,在区间内有定义

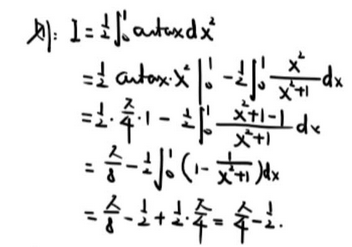
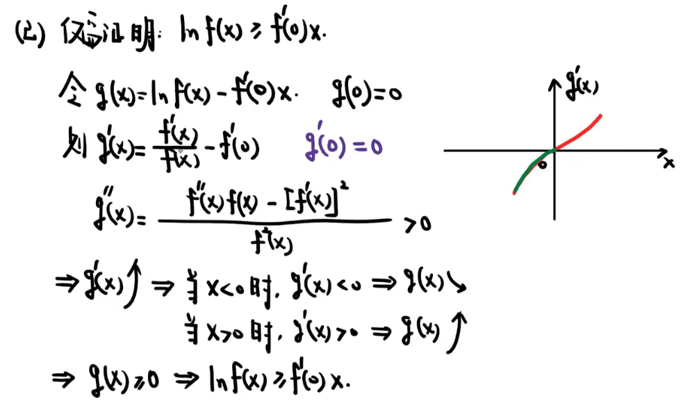
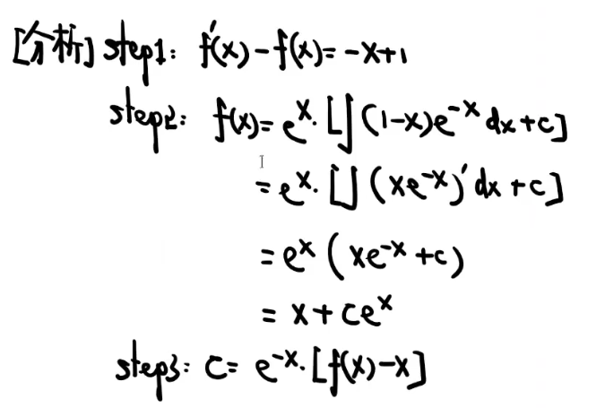
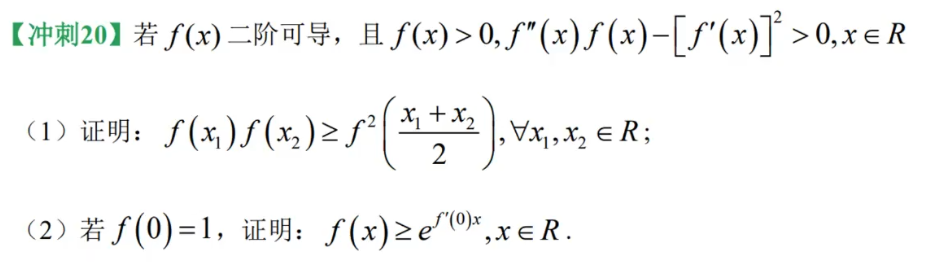
【构造函数 一阶线性】




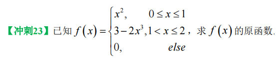
【分段函数不定积分 注意连续调整常数 注意 f 为0 处 分段】


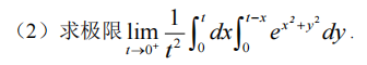
【积不出来 用 牛犇爸】



上一篇:蓝桥杯嵌入式AD采样解析
下一篇:企业级nginx使用