本节介绍在数理统计中常用的几个基本分布。为此,先引进分位数定义。
定义1. 2. 1 设X为随机变量,则称满足
![]()
的为X的上侧
分位数,简称为(上侧)分位数.
标准正态分布N (0,1)是构造其他分布的基础,其密度函数为

它的图形关于y轴对称(图1.1).
本书附表3给出了标准正态分布函数的取值情况. 对于数
,通过查表,可求出满足等式

的上侧分位数(显然
),当时,可查得
定理1. 2. 1 设是独立同分布的随机变量,且都服从标准正态分布
,则他们的平方和
(1. 18)
的分布密度是

其中为伽马函数在
处的值.这种分布称为自由度为 n 的
分布,记作
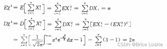
根据定义(1. 18),我们容易求得
分布的期望和方差分别为
![]()
事实上,我们有

利用卷积公式,我们还可以证明
分布具有下面的性质(见习题1. 3).

图1. 2 给出了n= 1,5,15 时x 2分布的密度曲线
上一篇:备忘录模式(Memento)