随机过程 X(t) 是从 {s1(t),s2(t)s_1(t), s_2(t)s1(t),s2(t)} 中随机抽取。
E[X(t)]=mX(t)E[X(t)]=m_X(t)E[X(t)]=mX(t) 是随时间变换的函数。即在t1时刻,s1(t1)的值∗X(t)=s1(t)的概率+s2(t1)的值∗X(t)=s2(t)的概率s_1(t_1)的值*X(t)=s_1(t)的概率+s_2(t_1)的值*X(t)=s_2(t)的概率s1(t1)的值∗X(t)=s1(t)的概率+s2(t1)的值∗X(t)=s2(t)的概率.
对于任意随机过程𝑋(𝑡),令X~(t)=𝑋(t)−mX(t)\widetilde{X}(t) = 𝑋(t)−m_X(t)X(t)=X(t)−mX(t)。则X~(t)\widetilde{X}(t)X(t)是一个均值为0的新随机过程。
时间平均:函数的平均高度。
统计平均:随机事物按随机抽取中出现的机会加权平均。
对于两个随机过程:X(t) Y(t),取两个时间点 t1,t2t_1, t_2t1,t2

再对R求时间t的平均,就是平均自相关函数。
如果乘积的数学期望可以拆成两个信号的各自数学期望的乘积,那么这两个随机信号不相关。
E[X(t)]=mXE[X(t)]=m_XE[X(t)]=mX 与t没关系。
比如cos(t+θ),θ∈[0,2π]cos(t+\theta), \theta\in[0, 2\pi]cos(t+θ),θ∈[0,2π],这个求平均就是0~2pi上求积分再除以2pi,不管t等于什么cos都转了一圈,积分必为0.
广义遍历过程:
遍历过程:对时间t做平均和对\theta做平均得到的mx和自相关函数R都一样。
因为随机过程的平均自相关函数是所有样本算数平均的自相关函数对t求平均,随机过程的平均功率谱密度是所有样本算数平均的功率谱密度对t求平均
而平稳过程的自相关函数和功率谱密度本来就和t没有关系,所以平均就是原来的。
之前我们知道,功率信号的功率谱密度是在一个周期内求频域的平方。
随机过程的多个信号我们假设都是功率信号,那么随机过程的功率谱密度就是这些信号的功率谱密度求平均。
很巧的是,平均功率谱密度和对t求平均的平均自相关函数之间是傅里叶变换关系。
x(t)和y(t)不光自己各自平稳,他俩的互相关函数也是平稳的,和t没关系。
回顾一下概率论中:两个事件不相关:E[XY]=E[X]E[Y]
两个事件独立:P(XY)=P(X)P(Y)
独立一定不相关,不相关不一定独立。
两个随机过程不相关,同一个时刻一定不相关;但是反过来不一定.
=0:不相关
=1: Y=KX, K>0
=-1: Y=KX, K<0
ρ=0\rho=0ρ=0 也就是相关函数=0。
平稳过程x(t)通过h(t)系统,之前我们可知:
Y(t)=∫−∞+∞X(t−u)h(u)duY(t)=\int_{-\infty}^{+\infty}X(t-u)h(u)duY(t)=∫−∞+∞X(t−u)h(u)du
然后对两边求均值,右边x(t)均值和t无关,所以y(t)均值也和t无关,也是平稳过程。
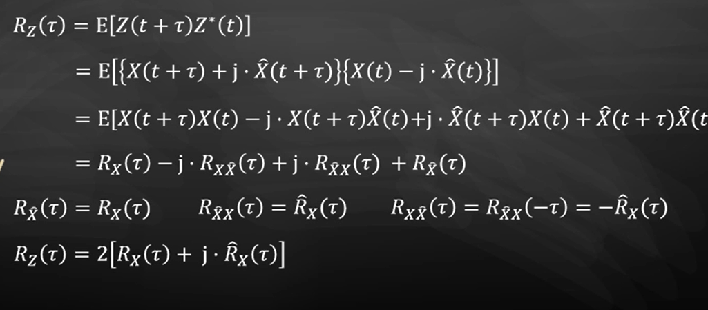
如果发生的是希尔伯特变换,自相关函数和功率谱密度是不会被改变的。
X^(t)和X(t)\hat{X}(t)和X(t)X^(t)和X(t)的相关函数是Rx(tau)的希尔伯特变换
[外链图片转存失败,源站可能有防盗链机制,建议将图片保存下来直接上传(img-NcHbNGcd-1667563484571)(C:/Users/Lenovo/AppData/Roaming/Typora/typora-user-images/image-20221103210719192.png)]
自相关函数:RZ(t1,t2)=E[Z(t1)Z∗(t2)]R_Z(t_1,t_2)=E[Z(t_1)Z^*(t_2)]RZ(t1,t2)=E[Z(t1)Z∗(t2)]
互相关函数:RZ1Z2(t1,t2)=E[Z1(t1)Z2∗(t2)]R_{Z_1Z_2}(t_1,t_2)=E[Z_1(t_1)Z_2^*(t_2)]RZ1Z2(t1,t2)=E[Z1(t1)Z2∗(t2)]


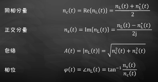
零均值带通复包络是零均值平稳过程

X_L(t) 的实部虚部两个分量X_c X_s 都是零均值 联合平稳的。





平稳序列:相关函数和n无关。
平稳联合序列:各自是平稳序列,互相关函数和n无关。
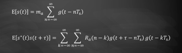
循环平稳序列:

等式右边是周期函数,Ts为周期。
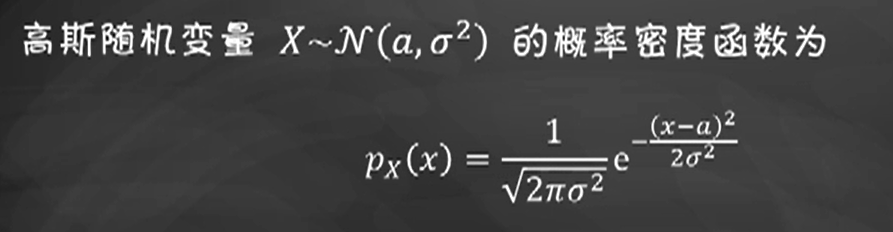
均值:a
方差:σ2\sigma^2σ2
Q函数:XXX~N(0,1)N(0,1)N(0,1) >x部分的概率,即∫x+∞12πe−t22dt\int_{x}^{+\infty}\frac{1}{\sqrt{2\pi}}e^{-\frac{t^2}{2}}dt∫x+∞2π1e−2t2dt
erfc:XXX~N(0,1/2)N(0,1/2)N(0,1/2) |X|>x 部分的概率,即∫x+∞1πe−t2dt+∫−∞x1πe−t2dt\int_{x}^{+\infty}\frac{1}{\sqrt{\pi}}e^{-t^2}dt+\int^{x}_{-\infty}\frac{1}{\sqrt{\pi}}e^{-t^2}dt∫x+∞π1e−t2dt+∫−∞xπ1e−t2dt
应用:

高斯过程x(t)乘一个确定的信号m(t)也是高斯过程




ZZZ~N(0,N02Eg)N(0,\frac{N_0}{2}E_g)N(0,2N0Eg)
若fai正交,则相关函数=0,说明他们互相独立。
Z(t)的共轭相关函数RZZ∗(t)=0R_{ZZ^*}(t)=0RZZ∗(t)=0




n_L(t)本身是一个复平稳过程,即nc ns 联合平稳。


