💥💥💥💞💞💞欢迎来到本博客❤️❤️❤️💥💥💥
📝目前更新:🌟🌟🌟电力系统相关知识,期刊论文,算法,机器学习和人工智能学习。
🚀支持:🎁🎁🎁如果觉得博主的文章还不错或者您用得到的话,可以关注一下博主,如果三连收藏支持就更好啦!这就是给予我最大的支持!
📋📋📋本文目录如下:⛳️⛳️⛳️
目录
1 概述
2 TLBO算法
2.1 教阶段
2.2 学阶段
2.3 研究阶段(建议的策略)
2.4. TLSBO的多目标策略
3 实参数问题的TLSBO算法
4 基于 TLSBO算法求解OPF 问题
5 结论
6 Matlab代码实现
在过去的几年中,基于各种进化算法(EA)的基于人口的群体智能一直是需要问题最优解的各个领域的许多研究人员的极大研究兴趣,例如工程系统中各种类型的工程优化问题的最优解。因此,需要各种启发式技术和进化算法来有效和以可接受的方式解决和找到工程优化问题的最佳解决方案。通用优化方法,如粒子群优化 (PSO) 算法 [1],湍流水基优化[2],差分进化 (DE) 算法 [3],人工蜂群 (ABC) [4],基于教学的优化 (TLBO) [5]在文献中提出,这些文献能够在可接受和快速的仿真时间内为许多具有许多非线性特征的工程和现实世界优化问题找到有效且可接受的最优或接近最优解。此外,经典优化方法在求解大多数工程和实际优化时效率不高且不可接受,因为它们仅计算局部最优值 [6].
TLBO是最成功的元启发式优化算法之一,许多研究都集中在通过不同的策略提高其性能上;其中一些包括交互式教学优化器(ITLO),用于VSC-HVDC系统的最佳调整[18],具有动态群策略的TLBO算法[19],自适应惯性权重TLBO [20],改进的TLBO,用于光伏模型的参数提取[21]、混合TLBO和神经网络算法[22],一个混乱的TLBO [23],和动态相反学习增强[24].本文针对TLBO提出了一种提高TLBO性能的新策略,并帮助其从收敛到局部最优。
OPF问题作为电力系统运算中的一个主要问题,已经使用许多经典的优化方法得到解决,例如基于牛顿法,二次规划,内点方法,线性规划和非线性规划[7].但是,这些方法在处理非凸和/或非平滑问题时会遇到困难。此外,它们在解决大规模问题方面速度很慢,并且可能停留在局部最优值中。因此,近年来,自然启发的元启发式元启发优化算法在求解OPF问题方面得到了广泛的应用。本文提出并开发了一种在原始TLBO算法中求解电力系统中不同类型的非线性最优潮流(OPF)问题的高效策略。在解决不同的工程优化问题方面具有良好的可行性和性能[6]如:分布系统状态估计[9],改进的诱变引物设计 [10]、所选铸造工艺的参数优化[8]、空间桁架的设计[11],动态经济排放调度(DEED)[12],能量损失最小化[13]、石油化工行业多层次生产的优化[14]、控制硬盘录像机补偿器[15],灵活的作业车间调度 [16]、PEM燃料电池和太阳能电池模型的参数识别[17]等。
本文的结构:在第2节中,对原始TLBO进行了表述,并介绍了建议的策略。第3节为Matlab仿真代码,其中比较了不同算法下标准实参数测试函数的优化结果。在第4节中,使用TLSBO算法求解电力系统OPF优化问题。最后,在第5节中给出了本文的一些结论。
基于教学的优化算法(TLBO)算法是一种功能强大且高效的优化算法。然而,它很容易陷入局部最优状态。为了提高TLBO的全局优化性能,本文提出了一种改进版TLBO,称为基于教学学习的优化算法(TLSBO)。增强功能是基于向TLBO添加新策略,称为研究策略,其中每个成员使用来自另一个随机选择的个人的信息来改善其位置。然后,TLSBO用于求解不同的标准实参数基准函数以及各种类型的非线性最优潮流(OPF)问题,其结果表明TLSBO与原始TLBO相比,具有更快的收敛速度,最终最优解的更高质量,以及从收敛到局部最优的逃逸能力。
TLBO教学优化算法(Teaching-learning-based optimization, TLBO) 是 Rao 等人模拟班级教学过程中的教师教学和学生学习两个阶段设计出来的算法。它将整个种群充当班级,种群中最优秀的个体充当老师,其他个体充当学生。算法分为教阶段和学阶段。教阶段意
味着班集体向老师学习;学阶段意味着同学之间相互学习。通过这两个阶段的协同进化,从而提升种群的整体水平。
在教阶段,每次迭代中适应度值最好的个体将被选为教师,班级的平均成绩为
,教师在传授知识过程中希望班级的学生能向自己以及班级的平均分靠近。故位置迭代公式如下(1)表示:
其中
为教学因子,反应教师对于班级平均值的影响程度,一般取1 或 2。经过教阶段学习之后的新状态;
为学生学习前原始状态为[0,1]上的随机数。
课堂结束后,该阶段模拟学生之间相互学习的过程。学生为了进一步提高自身的学习水平,与班级中的其他个体进一步交流。学生随机选择学生,比较两个学生的适应度值,用优秀学生的位置减去次优者。以最小值优化问题为例,采取如下方式(2)进行学习:
其中为[0,1]随机数。对比更新前后的结果,保留较优解。
全部的学生(粒子)分为两个阶段训练,直到达到迭代次数。
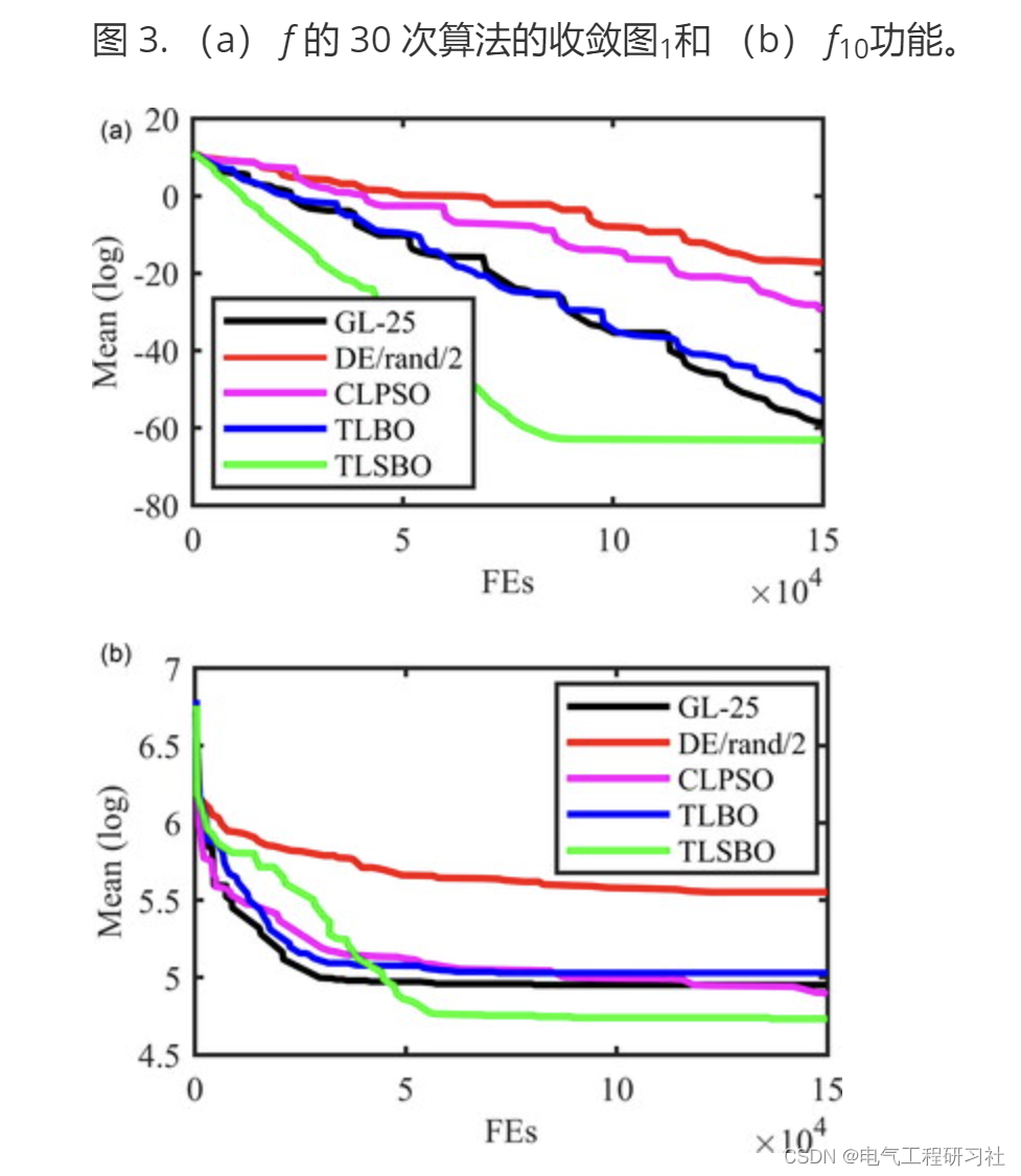
在仿真研究的第一部分中,为了验证TLSBO算法在实参数优化方面的性能,选择了各种类型的实参数函数[27]基于平均值(最佳结果的平均值)、最佳(所有运行中的最佳结果)和 Std(最佳结果的标准偏差),这些结果在附录中进行了总结。在本节中,GL-25的特征包括一般性能,坚固性和精度[28], 德国/兰特/2 [29],(F(比例因子)= 0.45,CR(交叉因子)= 0.7),CLPSO [30],使用12个实参数测试函数比较了原始TLBO和提出的TLSBO算法,这些函数总结在[27].实参数测试函数是多模态、不可分离、可扩展的测试函数,它们具有从局部最小值到全局最小值的非常长、窄且抛物线形的谷值,这使得它们很难求解[27].每个算法对每个实参数测试函数运行 30 次,结果包括均值、最佳、标准值表 1.在这些模拟中,总体大小被视为 N = 30,函数评估的最大值 FE = 150,000,维度 D = 30。在此表中,秩显示算法的平均指数逐级排序的顺序,Nb 是该算法优于其他算法的次数,Nw 是该算法比其他算法差的次数,Mr 是所有函数的算法秩的平均值。结果表明,所提出的TLSBO算法在获得更好的最终解和较少收敛到局部最小值方面超越了原来的TLBO等算法。结果表明,TLSBO算法成功解决了不同的实参数优化问题。f 的 30 次算法运行的收敛图的均值1和 f10测试函数如图 3 所示。


通常,OPF问题的目的是通过最优地调整电力系统控制参数来优化一个或多个目标函数,这些参数受到一些相等和不等式的约束[31,32].在最近的文献中(自2014年以来)用于解决不同OPF问题的一些优化算法的摘要是基于分解的算法[33],进化算法 (EA) [34],改进的多目标ABC算法[35],多蜂巢蜜蜂觅食算法 (MHBFA) [35],修改后的 TLBO [36],改进的自适应 DE [37],混合模糊 PSO 和 Nedler–Mead 算法 (HFPSO-NM) [38], 学习 DE-APSO-PS [39],一种适应的GA,可调节种群规模[40],基于适应性生物地理学的PPO [41],自适应克隆选择算法[42],PSO [43],PSO,EP,GA,GWO和DE [44,45] 回溯搜索优化算法 (BSOA) [46],基于反对派的GSA [47],一个基于半定构编程的模型[48],一种概率多目标算法 [49],改进的 ABC (IABC) [50–53],并行 NSGA-II [54];一种新的正弦-余弦算法 (SCA) [55]、安全栅内点[56],一种改进的引力搜索算法 (EGSA) [57],改进的组搜索优化 (IGSO) [58,59],混沌入侵杂草优化(CIWO)算法[7],改良细菌觅食算法(MBFA)[60],机会约束框架[61],社交蜘蛛优化 (SSO) 算法 [62],修改后的Jaya算法[63],一种改进的DE算法,与有效的约束处理技术集成在一起[64],基于生物地理学的优化 (BBO) [65,66],一种增强强度的帕累托进化方法[67],蝙蝠 [68],联苯联解决方案方法[69,70],一种改进的多目标多元优化 (IMOMVO) 算法 [71],准对立杜鹃搜索 (QOCS) [72],混沌的KHA [73],非主导分拣混合CSA [74],MSA与GSA的混合算法[75],内部搜索算法 (ISA) [76],强制初始化 DE [70],一种准对立改进的Jaya算法[77],萤火虫群优化 (GSO) [78],多目标蚂蚁狮算法 (MALA) [79],改进的碰撞体优化 (ICBO) [80],一种新的混合整数非线性规划模型[81],改进的萤火虫算法[82],一种使用Lévy突变策略的新TLBO [83],具有 MVO 的混合 PSO [84],改进的蝙蝠算法 [85], DSA [86], 杂交 PSOGSA [87], 螺柱 KHA [88],模糊和声搜索 (FHS) [89],自适应 FFA [90],修改后的 MOEA/D [67,91],类电磁算法 (ELA) [92],增强型自适应 DE [93] 和飞蛾群算法 (MSA) [94].
TLBO是一种基于群体的无参数简单优化算法,在不同的工程优化问题上表现出更好、更可接受的性能。在本研究中,通过在原始TLBO上添加新策略(研究策略)来提出TLBO算法的新版本TLSBO。采用TLSBO算法对12个基准实参数函数和各类优化问题进行了优化,并将其结果与以往文献中报道的其他最优结果进行了比较。仿真结果表明,与原来的TLBO算法和之前提出的算法相比,所提出的TLSBO算法具有良好的、高效、稳健的优化性能,在处理各种类型的优化问题时具有更快的收敛性。
通过使用混沌,Levy Flight,多群等概念来改进TLSBO,并将所提出的算法与其他成功的元启发式方法混合,可能是未来研究的主题。
👨🎓博主课外兴趣:中西方哲学,送予读者:
👨💻做科研,涉及到一个深在的思想系统,需要科研者逻辑缜密,踏实认真,但是不能只是努力,很多时候借力比努力更重要,然后还要有仰望星空的创新点和启发点。当哲学课上老师问你什么是科学,什么是电的时候,不要觉得这些问题搞笑,哲学就是追究终极问题,寻找那些不言自明只有小孩子会问的但是你却回答不出来的问题。建议读者按目录次序逐一浏览,免得骤然跌入幽暗的迷宫找不到来时的路,它不足为你揭示全部问题的答案,但若能让人胸中升起一朵朵疑云,也未尝不会酿成晚霞斑斓的别一番景致,万一它居然给你带来了一场精神世界的苦雨,那就借机洗刷一下原来存放在那儿的“真理”上的尘埃吧。
或许,雨过云收,神驰的天地更清朗.......🔎🔎🔎
博客主页:电气辅导帮
上一篇:PyOpenGL安装
下一篇:驱动无模块注入dll