输入两个递增排序的链表,合并这两个链表并使新链表中的节点仍然是递增排序的。
示例1:
输入:1->2->4, 1->3->4
输出:1->1->2->3->4->4
/*** Definition for singly-linked list.* public class ListNode {* int val;* ListNode next;* ListNode(int x) { val = x; }* }*/
class Solution {public ListNode mergeTwoLists(ListNode l1, ListNode l2) {}
}
由于初始状态合并链表中无节点,因此循环第一轮时无法将节点添加到合并链表中。
解决方案:初始化一个辅助节点 dum 作为合并链表的伪头节点,将各节点添加至 dum 之后。

算法流程:
1.初始化: 伪头节点 dum ,节点 cur 指向 dum 。
2.循环合并: 当 l1 或 l2 为空时跳出;
当 l1.val < l2.val 时,cur 后继节点指定为 l1,并 l1 向前走一步
当 l1.val >= l2.val 时,cur 后继节点指定为 l2,并 l2 向前走一步
节点cur向前走一步,即 cur = cur.next
3.合并剩余尾部: 跳出时有两种情况,即 l1 为空 或 l2 为空。
若 l1 != null,将 l1 添加至节点cur之后,否则将 l2 添加至cur之后
4.返回值: 合并链表在伪头节点 dum 之后,因此返回 tdum.next 即可

代码如下
class Solution {public ListNode mergeTwoLists(ListNode l1, ListNode l2) {ListNode dum = new ListNode(0), cur = dum;while(l1 != null && l2 != null) {if(l1.val < l2.val) {cur.next = l1;l1 = l1.next;}else {cur.next = l2;l2 = l2.next;}cur = cur.next;}cur.next = l1 != null ? l1 : l2;return dum.next;}
}
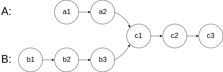
输入两个链表,找出它们的第一个公共节点。
如下面的两个链表:

在节点 c1 开始相交。
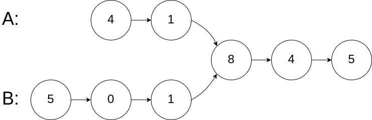
示例 1:

输入:intersectVal = 8, listA = [4,1,8,4,5], listB = [5,0,1,8,4,5], skipA = 2, skipB = 3
输出:Reference of the node with value = 8
输入解释:相交节点的值为 8 (注意,如果两个列表相交则不能为 0)。从各自的表头开始算起,链表 A 为 [4,1,8,4,5],链表 B 为 [5,0,1,8,4,5]。在 A 中,相交节点前有 2 个节点;在 B 中,相交节点前有 3 个节点。
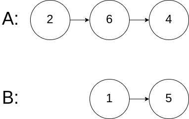
示例 2:

输入:intersectVal = 0, listA = [2,6,4], listB = [1,5], skipA = 3, skipB = 2
输出:null
输入解释:从各自的表头开始算起,链表 A 为 [2,6,4],链表 B 为 [1,5]。由于这两个链表不相交,所以 intersectVal 必须为 0,而 skipA 和 skipB 可以是任意值。
解释:这两个链表不相交,因此返回 null。
/*** Definition for singly-linked list.* public class ListNode {* int val;* ListNode next;* ListNode(int x) {* val = x;* next = null;* }* }*/
class Solution {ListNode getIntersectionNode(ListNode headA, ListNode headB) {}
}

考虑构建两个节点指针 A , B 分别指向两链表头节点 headA , headB ,做如下操作:
指针 A 先遍历完链表 headA ,再开始遍历链表 headB ,当走到 node 时,共走步数为:
a + (b - c)
指针 B 先遍历完链表 headB ,再开始遍历链表 headA ,当走到 node 时,共走步数为:
b + (a - c)
如下式所示,此时指针 A , B 重合,并有两种情况:
a + (b - c) = b + (a - c)
若两链表 有 公共尾部 (即 c>0 ) :指针 A , B 同时指向第一个公共节点 node 。
若两链表 无 公共尾部 (即 c=0 ) :指针 A , B 同时指向 null 。

代码如下
public class Solution {public ListNode getIntersectionNode(ListNode headA, ListNode headB) {ListNode A = headA, B = headB;while (A != B) {A = A != null ? A.next : headB;B = B != null ? B.next : headA;}return A;}
}
下一篇:计算机网络——数据链路层