自动控制原理1~3章课后练习题
创始人
2024-04-25 05:50:18

 

 

 

1.适合于应用传递函数描述的系统是线性定常系统

2.0型单位反馈系统的开环增益为K,则在 r(t)=1/2*t^2 输入下,系统的稳态误差为 无穷

3.动态系统 0 初始条件是指 t<0 时系统的 输入、输出以及它们的各阶导数为 0

4.若二阶系统处于无阻尼状态,则系统的阻尼比ξ应为 ξ=0

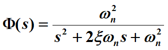
5.在典型二阶系统传递函数:

 ,再串入一个闭环零点,则 超调量减小

6.讨论系统的动态性能时,通常选用的典型输入信号为 单位阶跃函数

7.某I型单位反馈系统,其开环增益为K,则在r(t)=1/2*t输入下,系统的稳态误差 1 / (2*K)

8.典型欠阻尼二阶系统的超调量: \sigma%>5%   ,则其阻尼比的范围为  :0< \xi<0.707

 9.二阶系统的闭环增益加大 对动态性能无影响

10.欠阻尼二阶系统的 \xi , \omega,都与:tp有关

11.典型欠阻尼二阶系统若\omega不变,  \xi变化时:\xi>0.707时,\xi上升,t下降

12.稳态速度误差的正确含义为(A为常值):r(t)=A*t  时,输出位置与输入位置之间的稳态误差;

13.某系统单位斜坡输入时 e=无穷时 ,说明该系统  是0型系统;

14I 型单位反馈系统的闭环增益为  1

15.闭环零点影响系统的  超调量

16.若单位反馈系统的开环传递函数为

 

则其开环增益 K,阻尼比 \xi 和无阻尼自然频率 \omega  分别为:

相关内容

热门资讯

tag是什么意思 tab是什么... 一、B端基础控件的认识控件一词,直译的话可以翻译成 “用来控制的元件”,是我们对 B 端系统进行信息...
苗族的传统节日 贵州苗族节日有... 【岜沙苗族芦笙节】岜沙,苗语叫“分送”,距从江县城7.5公里,是世界上最崇拜树木并以树为神的枪手部落...
北京的名胜古迹 北京最著名的景... 北京从元代开始,逐渐走上帝国首都的道路,先是成为大辽朝五大首都之一的南京城,随着金灭辽,金代从海陵王...
长白山自助游攻略 吉林长白山游... 昨天介绍了西坡的景点详细请看链接:一个人的旅行,据说能看到长白山天池全凭运气,您的运气如何?今日介绍...
世界上最漂亮的人 世界上最漂亮... 此前在某网上,选出了全球265万颜值姣好的女性。从这些数量庞大的女性群体中,人们投票选出了心目中最美...
应用未安装解决办法 平板应用未... ---IT小技术,每天Get一个小技能!一、前言描述苹果IPad2居然不能安装怎么办?与此IPad不...
脚上的穴位图 脚面经络图对应的... 人体穴位作用图解大全更清晰直观的标注了各个人体穴位的作用,包括头部穴位图、胸部穴位图、背部穴位图、胳...
demo什么意思 demo版本... 618快到了,各位的小金库大概也在准备开闸放水了吧。没有小金库的,也该向老婆撒娇卖萌服个软了,一切只...
猫咪吃了塑料袋怎么办 猫咪误食... 你知道吗?塑料袋放久了会长猫哦!要说猫咪对塑料袋的喜爱程度完完全全可以媲美纸箱家里只要一有塑料袋的响...
北京的名胜古迹 北京最著名的景... 北京从元代开始,逐渐走上帝国首都的道路,先是成为大辽朝五大首都之一的南京城,随着金灭辽,金代从海陵王...
苗族的传统节日 贵州苗族节日有... 【岜沙苗族芦笙节】岜沙,苗语叫“分送”,距从江县城7.5公里,是世界上最崇拜树木并以树为神的枪手部落...
世界上最漂亮的人 世界上最漂亮... 此前在某网上,选出了全球265万颜值姣好的女性。从这些数量庞大的女性群体中,人们投票选出了心目中最美...
舌头对应五脏图 舌诊顺口溜 舌诊是非常重要的一门中医技术;更妙的是,舌诊适合普通人学习。因此从今天开始,会给大家简单介绍一些看舌...
长白山自助游攻略 吉林长白山游... 昨天介绍了西坡的景点详细请看链接:一个人的旅行,据说能看到长白山天池全凭运气,您的运气如何?今日介绍...
猫咪吃了塑料袋怎么办 猫咪误食... 你知道吗?塑料袋放久了会长猫哦!要说猫咪对塑料袋的喜爱程度完完全全可以媲美纸箱家里只要一有塑料袋的响...
脚上的穴位图 脚面经络图对应的... 人体穴位作用图解大全更清晰直观的标注了各个人体穴位的作用,包括头部穴位图、胸部穴位图、背部穴位图、胳...
应用未安装解决办法 平板应用未... ---IT小技术,每天Get一个小技能!一、前言描述苹果IPad2居然不能安装怎么办?与此IPad不...
demo什么意思 demo版本... 618快到了,各位的小金库大概也在准备开闸放水了吧。没有小金库的,也该向老婆撒娇卖萌服个软了,一切只...