
文章目录
常见逻辑门以及含义
一、Hadamard(H)门
二、Pauli-X 门
三、Pauli-Y 门
四、Pauli-Z 门
五、旋转门(rotation operators)
1、RX(θ)门
2、RY(θ)门
3、RZ(θ)门
六、多量子比特逻辑门
七、CNOT 门
八、CR 门
九、iSWAP 门

Hadamard门是一种可将基态变为叠加态的量子逻辑门,有时简称为H门。Hadamard门作用在单比特上,它将基态|0〉变成
,将基态|1〉变成
。
Hadamard门矩阵形式为

其在线路上显示如下图所示:

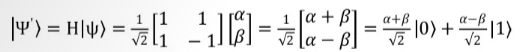
假设,H门作用在任意量子态|ψ〉= α|0〉+ β|1〉上面,得到新的量子态为:

Pauli-X门作用在单量子比特上,它是经典计算机NOT门的量子等价,将量子态进行翻转,量子态变化方式为:

Pauli-X门矩阵形式为泡利矩阵
,即:

Pauli-X门矩阵又称NOT门;其在线路上显示如下图所示:

假设,NOT门作用在任意量子态|ψ〉= α|0〉+ β|1〉上面,得到新的量子态为:
![]()
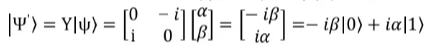
Pauli-Y门作用在单量子比特上,作用效果为绕Bloch球Y轴旋转角度π,Pauli-Y门的矩阵形式为泡利矩阵,即:
![]()
其在线路上显示如下图所示:

假设,Pauli-Y门作用在任意量子态|ψ〉= α|0〉+ β|1〉上面,得到新的量子态为:
![]()
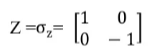
Pauli-Z门作用在单量子比特上,作用效果是绕Bloch球Z轴旋转角度,Pauli-Z门矩阵形式为泡利矩阵
,即:

其在线路上显示如下图所示:

假设,Pauli-Z门作用在任意量子态|ψ〉= α|0〉+ β|1〉上面,得到新的量子态为:
![]()
分别用不同的泡利矩阵作为生成元是构成RX,RY,RZ的方法。
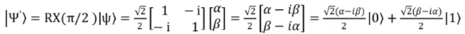
RX门由Pauli-X矩阵作为生成元生成,其矩阵形式为

其在线路上显示如下图所示:

假设,RX(π/2)门作用在任意量子态|ψ〉= α|0〉+ β|1〉上面,得到新的量子态为:
![]()
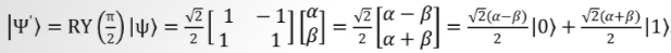
RY门由Pauli-Y矩阵作为生成元生成,其矩阵形式为

其在线路上显示如下图所示:

假设,RY(π/2)门作用在任意量子态|ψ〉= α|0〉+ β|1〉上面,得到新的量子态为:
![]()
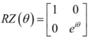
RZ又称相位转化门(phase-shift gate),其由Z门为生成元生成,矩阵形式为

上式还可以写为

由于矩阵

只差一个整体相位(global phases),只考虑单门的话,两个矩阵做成的量子逻辑门是等价的,即有时RZ门的矩阵形式写作

RZ量子逻辑门作用在基态上的效果为

由于全局相位没有物理意义,并没有对计算基|0〉和|1〉做任何的改变,而是在原来的态上绕Z轴逆时针旋转角。
其在线路上显示如下图所示:

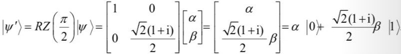
假设,RZ(π/2)门作用在任意量子态|ψ〉= α|0〉+ β|1〉上面,得到新的量子态为:

RX,RY,RZ意味着将量子态在布洛赫球上分别绕着X,Y,Z轴旋转θ角度,所以RX,RY能带来概率幅的变化,而RZ只有相位的变化。那么,共同使用这三种操作能使量子态在整个布洛赫球上自由移动。
不论是在经典计算还是量子计算中,两量子比特门无疑是建立量子比特之间联系的最重要桥梁。不同于经典计算中的与或非门及它们的组合,量子逻辑门要求所有的逻辑操作必须是酉变换,所以输入和输出的比特数量是相等的。
在描述两量子比特门之前,必须要将之前对于单量子比特的表示方式扩展一下。联立两个量子比特或者两个以上的量子比特时,就用到复合系统中量子态演化的假设。
对于一个n量子比特
,n量子比特系统的计算基就有单位正交失量组成,借助于经典比特的进位方式对量子比特进行标记,从左到右依次是二进制中的从高位到低位,也就是说
中为高位,
为低位。
比如对于一个2量子比特的系统,其计算基分别记做

在基态|1〉中,左侧的0对应的位为高位,1对应的位为低位。
在介绍2比特量子逻辑门时,会使用如下图的图标:

每根线表示一个量子比特演化的路线,这和单比特门中的横线是类似的,不一样的是这两根线有位次之分,从上到下依次分别表示从低位到高位的量子比特演化的路线。这个图标横跨两个量子比特,它代表将一个两比特门作用在这两个量子比特上,这个图标代表的是CNOT门。
控制非门(Control-NOT),通常用CNOT进行表示,是一种普遍使用的两量子比特门。
若低位为控制比特,那么它具有如下的矩阵形式:

对应的CNOT门在线路中显示如下图:

含实点的路线对应的量子比特称为控制比特(control qubit),含+号的路线对应的量子比特为目标比特(target qubit)。
假设,CNOT门作用分别作用在基态|ψ〉= |00〉、|01〉、|10〉、|11〉上面,得到新的量子态为:

由于低位比特为控制比特,高位比特为目标比特,所以当低位比特位置对应为1时,高位比特就会被取反;当低位比特位置为0时,不对高位比特做任何操作。
若高位比特为控制比特,那么它具有如下的矩阵形式:

CNOT门在线路中显示如下图:

假设,高位为控制比特,CNOT门分别作用在基态|ψ〉= |00〉、|01〉、|10〉、|11〉上,那么,可以计算四个两量子比特的计算基经CNOT门的演化结果如下图所示:

从上例可以看出CNOT门的含义是当控制比特为|0〉态时,目标比特不发生改变;当控制比特为|1〉态时,对目标比特执行X门(量子非门)操作。要注意的是控制比特和目标比特的地位是不能交换的。
控制相位门(Controlled phase gate)和控制非门类似,通常记为CR(CPhase),其矩阵形式如下

CPhase门在线路中显示如下图:

在CPhase门的图标中,含实点的路线对应的量子比特称为控制比特(control gubit),含CR字母的路线对应的量子比特为目标比特(target qubit)。
当控制比特为|0〉态时,目标比特不发生改变;当控制比特为|1〉态时,对目标比特执行相转变门(phase-shift gate),其特殊的是,控制相位门里交换控制比特和目标比特的角色,矩阵形式不会发生任何改变。
iSWAP门的主要作用是交换两个比特的状态,并且赋予其π/2相位;经典电路中也有SWAP门,但是iSWAP是量子计算中特有的。iSWAP门在某些体系中是较容易实现的两比特逻辑门,它是由
作为生成元生成,需要将矩阵
对角化,iSWAP的矩阵表示如下:

iSWAP门在线路中显示如下图:

通常会用一个完整的翻转,即θ=π/2的情况来指代iSWAP。当角度为iSWAP的一半时,即θ=π/4,称之为√iSWAP。对于iSWAP门而言,两个比特之间地位是对等的,不存在控制和受控的关系。
上一篇:NNDL 作业12:第七章课后题
下一篇:MySQL——进阶