目录
0 写在前面
1 电动车
1.1 电动车(EV)
1.2 电动汽车充电
1.3 智能充电和车联网(V2G)
1.4 V2G 应用
1.5 可再生能源可用性
1.6 基于价格的收费
2 电动车智能充电
2.1 智能充电
2.2 实时电价
2.3 智能充电模式——算例1
2.4 洞见
2.5 智能充电模式——算例2
2.6 报摊问题——算例3
2.7 需求量与概率——算例4
3 Matlab代码实现

电力系统强大的CVX学习(Matlab&Python)
I 降低维护成本
I 降低税收
I 更便宜的燃料(电)
I 政府补贴
I典型电池容量:30kWh−100kWh
I车载充电器:1.9–22 kW
I直流非车载充电器:50–350 kW
I充电级别
I级别1:0–10 kW
I级别2:10–50 kW
I级别3:50–350 kW 23/64
对电力系统的影响:

I 使用电动汽车电池通过双向 EV 充电器将电力回馈到电网
I 优势:可再生能源的存储、减少高峰需求、辅助服务等
I 挑战:优化控制、双向充电器、电池退化、标准化、监管框架、 ETC
I 本地负载平衡
I 根据负载调整充电时间/功率
I 优先平衡多个充电点
I 可再生能源利用
I 基于价格的充电/放电
I 调峰
I 电网备份


I 你有一辆 EV,可以在家充电。
I 电价是实时电价(RTP)。
I 你需要 20kW 来为你的电动汽车充电。
I 充电器的额定功率为 2kW。
假设电动汽车可以在一天中的任何时间充电。我现在,你需要确定什么时间充电,以尽量减少一天的电费


其中
是价格,
是充电功率。
运行结果:

智能充电?
我是不是太激进了?
电池退化成本如何?
我到家、离开和开车的时间怎么样?
我的充电状态?
我有多辆车?
我的方便和隐私?
电力系统可靠性?
面对这些问题,我们进入下一个算例,约束条件那些充分考虑。

还差一个约束:
机器学习:数据拟合:

损失函数定义为:

电力高峰需求预测:

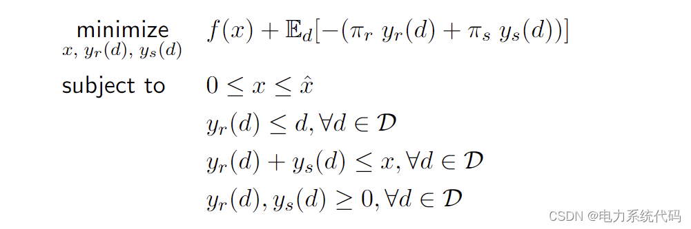
I一家公司生产冬装。
I 公司必须在知道确切需求 d 之前,在冬季前 3 个月承诺具体的生产数量 x。
I 在看到需求 d 后,公司决定以正常价格 πr 出售的数量 yr,以及以残值/折扣价 πs 出售的数量 ys。
I 这称为不确定性下的决策,因为决策 x 是在不确定性需求 d 下做出的。
两阶段随机规划
I决策变量:生产量x
I观望决策:常规价格量yr,折扣价格量ys
I目标:最小化生产成本和预期未来成本

组合两个阶段:

假设需求 d 是具有 S 个场景 (d1,...,ds) 的离散随机变量,每个场景 di 具有概率 pi。
相应地,每个情景 di 的销售量有
和
。

举例:
(1)假设有3个场景,d1 = 10,概率为1/4; d2 = 30,概率为 5/12; d3 = 50,概率为 1/3.
(2)生产外套的单位成本:c = 5,正常价格:πr = 10,折扣价:πs = 3。
(3) 生产能力:
结果:


优化问题实际上是如何解决的?
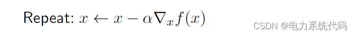
(1)无约束问题
设置导数(一维)或梯度(高维)
![]()
那么如何求∇xf(x) = 0
I 直接解决方案:分析计算
梯度下降:
![]()
牛顿法:
![]()
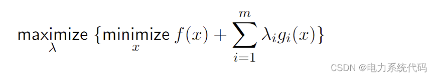
(2)约束优化
障碍法:通过无约束优化的近似问题:

当 t → 0 时,这接近原始问题:
最大化拉格朗日对偶问题

(3)举例
I 如果很难定义场景怎么办?如果我们的分布不是离散的怎么办?
I 在大多数一般条件下采样就足够了.


电动车智能充电模式及电力高峰需求预测