【✨十五天搞定电工基础】一阶电路的暂态分析
创始人
2024-04-29 13:21:03
  • 本章要求

1. 了解电阻元件、电感元件与电容元件的特征;

2. 理解电路的暂态和稳态、零输入响应、零状态响应、全响应的概念,以及时间常数的物          理意义;

3. 掌握换路定则及初始值的求法;

4. 掌握一阶线性电路分析的三要素法。

目录

一、一阶电路和换路定律 

1、一阶电路

2、换路定律

 二、一阶RC电路的响应

1、RC电路的零状态响应 

2.   RC电路的零输入响应 

 3、RC电路的全响应 

三、一阶电路的三要素分析法

四、一阶RL电路的响应

 1、RL电路的零状态响应

2、RL电路的零输入响应 

3、RL电路的全响应

五、课后习题

1、概念问题

2、 一阶电路常见考题


一、一阶电路和换路定律 

1、一阶电路

只含有一个储能元件(电感或电容)或可等效为一个储能元件的线性电路,且其微分方程都是一阶常系数线性微分方程。常见的一阶电路有RC电路和RL电路。

2、换路定律

首先来分析电路中产生暂态过程的原因:

电阻电路不存在暂态过程 (R耗能元件)

 所以电容电路存在暂态过程(C储能元件)

同理,电容电路存在暂态过程(L储能元件)

  • 产生暂态过程的必要条件:

   (1) 电路中含有储能元件 (内因)

   (2) 电路发生换路 (外因)

  • 产生暂态过程的原因:

    由于物体所具有的能量不能跃变而造成,在换路瞬间储能元件的能量也不能跃变

  • 练习

 

 首先关于结论1和结论3的理论依据:

W_{c}=\frac{1}2{}Cu_{C}^{2}

W_{L}=\frac{1}{2}Li_{L}^{2}

 关于结论2,在0-的那一瞬间,因为没有储能,u_{C}=0,所以电容看作短路,i_{L}=0,所以电感看作开路。

关于结论3,在处理电路问题时,大概率会与上一章里面的支路电流法或者结点电压法相结合起来考查,这里需要注意的是,在选择支路电流法的时候,为了方便计算,尽量不要将电流源划在电路里面。

 二、一阶RC电路的响应

  • 求解方法

   1. 经典法:  根据激励(电源电压或电流),通过求解 电路的微分方程得出电路的响应(电压和         电流)。

   2. 三要素法

1、RC电路的零状态响应 

  • 零状态响应

    储能元件的初始能量为零,仅由电源激励所产生的电路的响应。

  • 实质

    RC电路的充电过程

 

2.   RC电路的零输入响应 

  • 零输入响应

    无电源激励, 输入信号为零, 仅由电容元件的 初始储能所产生的电路的响应

  • 实质

    RC电路的放电过程

 3、RC电路的全响应 

  • 全响应

    电源激励、储能元件的初始能量均不为零时,电路中的响应

 

三、一阶电路的三要素分析法

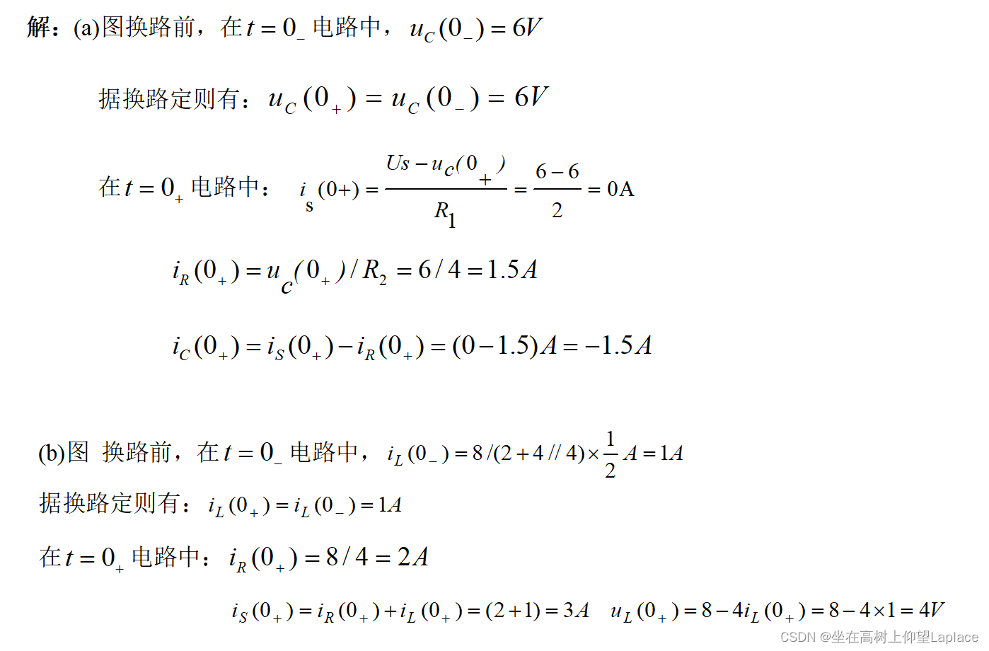
  •  练习

 

四、一阶RL电路的响应

 1、RL电路的零状态响应

 注意这两个公式:

u_{L}=L\frac{di}{dt}=\frac{d\psi }{dt}(\psi =Li)

i_{C}=C\frac{du}{dt}=\frac{dq}{dt}(q=Cu)

2、RL电路的零输入响应 

 

3、RL电路的全响应

 

 

  •  练习

五、课后习题

1、概念问题

2、 一阶电路常见考题


 


 

 

 

相关内容

热门资讯

苗族的传统节日 贵州苗族节日有... 【岜沙苗族芦笙节】岜沙,苗语叫“分送”,距从江县城7.5公里,是世界上最崇拜树木并以树为神的枪手部落...
北京的名胜古迹 北京最著名的景... 北京从元代开始,逐渐走上帝国首都的道路,先是成为大辽朝五大首都之一的南京城,随着金灭辽,金代从海陵王...
如何吸引顾客 怎样吸引顾客加入... 如何激活群的顾客活跃度,是商家在运营过程中绕不开的事情。当新用户来到商家的私域流量群时,商家一般会采...
应用未安装解决办法 平板应用未... ---IT小技术,每天Get一个小技能!一、前言描述苹果IPad2居然不能安装怎么办?与此IPad不...
长白山自助游攻略 吉林长白山游... 昨天介绍了西坡的景点详细请看链接:一个人的旅行,据说能看到长白山天池全凭运气,您的运气如何?今日介绍...
脚上的穴位图 脚面经络图对应的... 人体穴位作用图解大全更清晰直观的标注了各个人体穴位的作用,包括头部穴位图、胸部穴位图、背部穴位图、胳...
demo什么意思 demo版本... 618快到了,各位的小金库大概也在准备开闸放水了吧。没有小金库的,也该向老婆撒娇卖萌服个软了,一切只...
猫咪吃了塑料袋怎么办 猫咪误食... 你知道吗?塑料袋放久了会长猫哦!要说猫咪对塑料袋的喜爱程度完完全全可以媲美纸箱家里只要一有塑料袋的响...
世界上最漂亮的人 世界上最漂亮... 此前在某网上,选出了全球265万颜值姣好的女性。从这些数量庞大的女性群体中,人们投票选出了心目中最美...
苗族的传统节日 贵州苗族节日有... 【岜沙苗族芦笙节】岜沙,苗语叫“分送”,距从江县城7.5公里,是世界上最崇拜树木并以树为神的枪手部落...
北京的名胜古迹 北京最著名的景... 北京从元代开始,逐渐走上帝国首都的道路,先是成为大辽朝五大首都之一的南京城,随着金灭辽,金代从海陵王...
长白山自助游攻略 吉林长白山游... 昨天介绍了西坡的景点详细请看链接:一个人的旅行,据说能看到长白山天池全凭运气,您的运气如何?今日介绍...
地铁怎么买票 乘坐地铁如何买票 目前,上海轨道交通全网络运营里程已增至831公里,线路增至20条,与此同时,轨道交通的支付方式也日益...
猫咪吃了塑料袋怎么办 猫咪误食... 你知道吗?塑料袋放久了会长猫哦!要说猫咪对塑料袋的喜爱程度完完全全可以媲美纸箱家里只要一有塑料袋的响...
应用未安装解决办法 平板应用未... ---IT小技术,每天Get一个小技能!一、前言描述苹果IPad2居然不能安装怎么办?与此IPad不...
脚上的穴位图 脚面经络图对应的... 人体穴位作用图解大全更清晰直观的标注了各个人体穴位的作用,包括头部穴位图、胸部穴位图、背部穴位图、胳...
世界上最漂亮的人 世界上最漂亮... 此前在某网上,选出了全球265万颜值姣好的女性。从这些数量庞大的女性群体中,人们投票选出了心目中最美...
demo什么意思 demo版本... 618快到了,各位的小金库大概也在准备开闸放水了吧。没有小金库的,也该向老婆撒娇卖萌服个软了,一切只...