
1.适合于应用传递函数描述的系统是线性定常系统
2.某0型单位反馈系统的开环增益为K,则在 r(t)=1/2*t^2 输入下,系统的稳态误差为 无穷
3.动态系统 0 初始条件是指 t<0 时系统的 输入、输出以及它们的各阶导数为 0
4.若二阶系统处于无阻尼状态,则系统的阻尼比ξ应为 ξ=0
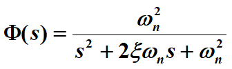
5.在典型二阶系统传递函数:

中,再串入一个闭环零点,则 超调量减小
6.讨论系统的动态性能时,通常选用的典型输入信号为 单位阶跃函数
7.某I型单位反馈系统,其开环增益为K,则在r(t)=1/2*t输入下,系统的稳态误差 1 / (2*K)
8.典型欠阻尼二阶系统的超调量: %>5% ,则其阻尼比的范围为 :0<
<0.707
9.二阶系统的闭环增益加大 对动态性能无影响
10.欠阻尼二阶系统的
, ,都与:tp有关
11.典型欠阻尼二阶系统若不变,
变化时:当
>0.707时,
上升,t下降
12.稳态速度误差的正确含义为(A为常值):r(t)=A*t 时,输出位置与输入位置之间的稳态误差;
13.某系统单位斜坡输入时 e=无穷时 ,说明该系统 是0型系统;
14.I 型单位反馈系统的闭环增益为 1;
15.闭环零点影响系统的 超调量
16.若单位反馈系统的开环传递函数为
则其开环增益 K,阻尼比
和无阻尼自然频率 分别为:
