Lecture3:神经网络与反向传播
创始人
2024-05-02 07:39:58

目录

1.计算图

2.反向传播与计算图

2.1 第一个例子

2.2 第二个例子--sigmoid

2.3 第三个例子--MAX门 

2.4 第四和例子--对于向量的梯度 

3.神经网络 

4.常见矩阵求导公式 

4.1 标量对向量求导

4.2  二次型对向量求导


1.计算图

        在实践中我们想要推导和使用解析梯度,但是同时用数值梯度来检查我们的实现结果以确保我们的推导是正确的。

        这篇博客将讲述如何计算任意复杂函数的解析梯度,需要利用到一个叫做计算图的框架。大体上来说,计算图就是我们用这类图表示任意函数,其中图的节点表示我们要执行的每一步计算,如下图的线性分类器:

         一旦我们能用计算图表示一个函数,那么就能用反向传播技术递归地调用链式法则计算图中每个变量的梯度。

2.反向传播与计算图

2.1 第一个例子

        我们要找到函数输出对应任一变量的梯度。

        第一步就是用计算图表示我们的整个函数,如上图中网络结构。

        第二步是计算这个网络的前向传播,如上图中的绿色节点的值。

        这里我们给每个中间变量一个名字:

q=x+y \ \ ,\frac{\partial q}{\partial x}=1,\frac{\partial q}{\partial y}=1

f=qz \ \ ,\frac{\partial f}{\partial q}=z,\frac{\partial f}{\partial z}=q

        我们待求的变量是:\frac{\partial f}{\partial x},\frac{\partial f}{\partial y},\frac{\partial f}{\partial z}

        我们可以用链式法则求:\frac{\partial f}{\partial x}= \frac{\partial f}{\partial q}\frac{\partial q}{\partial x}=-4*1=-4,其他两项也可以这么求。

         具体说来,在一个节点中,我们做了以下的事情:

        ①前向传播:根据输入x,y计算输出z

        ②根据它的表达式z=f(x,y)来计算它的本地梯度\frac{\partial z}{\partial x},\frac{\partial z}{\partial y}

        ③根据上层反向传播下来的对于此节点的梯度\frac{\partial L}{\partial z}反向传播给上层节点\frac{\partial L}{\partial x},\frac{\partial L}{\partial y}

2.2 第二个例子--sigmoid

f(w,x)=\frac{1}{1+e^{-(w_{0}x_{0}+w_{1}x_{1}+w_{2})}}

 前向传播:

反向传播:

        因此,只要知道本地梯度与上层梯度,那么就能完成反向传播。

        我们也可以将一些节点组合在一起形成更复杂的节点,如下:

         这么做的前提是能写出它的本地梯度才行,在这里我们定义了sigmoid函数:

\sigma (x)=\frac{1}{1+e^{-x}}

         它的本地梯度为:

\frac{d\sigma (x)}{dx}=(1-\sigma (x))\sigma (x)

        通过这种方法我们还是可以完成反向传播。

2.3 第三个例子--MAX门 

         那么max门的梯度如何计算?在卷积神经网络的池化层中,最大池化卷积中的max梯度如何计算?

        如上图,假设max门的上游梯度为2.0,那么这个本地梯度会是怎样的呢?

        我们规定,其中一个变量将会得到刚传递回来的梯度完整值,另外一个变量会得到0。我们可以把这个想象成一个梯度路由器,加法节点回传相同的梯度给进来的两个分支,max门将获取梯度并且将其路由到它其中一个分支。因为只有最大值对应的值才会影响到后面。

2.4 第四和例子--对于向量的梯度 

         这里和前面没有什么区别,只是x,y,z变成了向量的形式。

        这时整个计算流程还是一样的,唯一的区别在于我们刚才的梯度变成了雅克比矩阵。所以现在是一个包含了每个变量里各元素导数的矩阵,比如z在每个x方向的导数。

        那么对于上面这个例子来说,雅可比矩阵的维度是多少呢?4096*4096。

        但在实际运算时多数情况下不需要计算这么大的雅克比矩阵,只需要算一个对角矩阵即可。
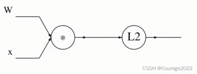
        我们举个具体的例子:

f=(x,W)=||w\cdot x||^2=\sum_{i=1}^{n}(W\cdot x)_{i}^{2} \ \ \ x\epsilon \mathbb{R}^n,W\epsilon \mathbb{R}^{n\times n}

         类似如下:(我们实例化了这个例子)

q = W \cdot x = \begin{bmatrix} 0.1 & 0.5\\ -0.3 & 0.8 \end{bmatrix} \begin{bmatrix} 0.2\\ 0.4 \end{bmatrix}

f(q) = ||q||^2 = q_{1}^{2}+ q_{2}^{2}+ ...+ q_{n}^{2}

          它的计算图如下:

         和之前一样,首先将计算图写下来,如上。先将Wx相乘,再计算L_2范数输出。

         现在我们来计算反向传播:

         先计算q方向上的梯度:q是一个二维向量,我们想要做到事情是找到q的每个元素是怎样影响f最终的值的,我们可以发现f在特定q_i中方向上的梯度是二倍的q_i,即:

\frac{\partial f}{\partial q_i}=2q_i

        如果写成向量的形式: 

\frac{\partial f}{\partial q} = \begin{bmatrix} 0.44\\ 0.52 \end{bmatrix}

         我们再来计算关于W的梯度是什么:我们采用和之前相同的方法,使用链式法则,我们希望计算关于Wq的本地梯度,我们观察一下对每个q的影响,q的每个元素对应W的每个元素,这就是雅可比矩阵,那什么是导数呢?或者说q的第一个元素的梯度是什么?我们的第一个元素对应W_{11}所以q_1对应W_{11}么?

         我们通过矩阵论的知识知道:

\frac{\partial q_K}{\partial W_{i,j}}= 1_{k=i}x_j

         由此:

\frac{\partial f}{\partial W_{i,j}}= \sum_{k}^{}\frac{\partial f}{\partial q_{k}}\frac{\partial q_{k}}{\partial W_{i,j}}=\sum_{k}^{}(2q_{k})(1_{k=i}x_j) =2q_ix_j

        同理:

\frac{\partial f}{\partial x_{i}}= \sum_{k}^{}\frac{\partial f}{\partial q_{k}}\frac{\partial q_{k}}{\partial x_{i}}=2q_kW_{k,i}

         最后的结果如下:

         我们看一个偏导数门的运行,我们运行前向传播,输入x,y输出z。反向传播输入dz逆向梯度希望输出的是\frac{ \partial L}{\partial x},\frac{ \partial L}{\partial y}的梯度继续传递下去,我们需要注意的是我们需要缓存前向传播的数值,因为我们需要利用它取计算反向传播。因此在前向计算中我们需要缓存x,y这些值,在反向计算使用链式法则将上游梯度的值使用其他分支的值对它进行量化并保持计算\frac{ \partial L}{\partial x},\frac{ \partial L}{\partial y}

3.神经网络 

        在我机器学习的专栏说过,这里不再赘述。

        在这里放一个激活函数的预览图:

4.常见矩阵求导公式 

4.1 标量对向量求导

已知:

f(x)=A^T\cdot x=\sum_{i=1}^{n}a_ix_i,A=[a_1,a_2,...,a_n],x=[x_1,x_2,...,x_n],求\frac{df(x)}{dx}

\frac{df(x)}{dx}=\begin{bmatrix} \frac{\partial f(x)}{\partial x_{1}}\\ \frac{\partial f(x)}{\partial x_{2}} \\ \frac{\partial f(x)}{\partial x_{3}} \\ ... \\ \frac{\partial f(x)}{\partial x_{n}} \end{bmatrix}=\begin{bmatrix} a_1\\ a_2 \\ a_3 \\ ... \\ a_n \end{bmatrix}

因此:

\frac{dA^Tx}{dx}=\frac{dx^TA}{dx}=A

4.2  二次型对向量求导

已知:f(x)=x^TAx=\sum_{i=1}^{n}\sum_{j=1}^{n}a_{ij}x_{i}x_{j},x\epsilon \mathbb{R}^n,A\epsilon \mathbb{R}^{n\times n},求\frac{df(x)}{dx}

\frac{df(x)}{dx}=\begin{bmatrix} \frac{\partial f(x)}{\partial x_{1}}\\ \frac{\partial f(x)}{\partial x_{2}} \\ \frac{\partial f(x)}{\partial x_{3}} \\ ... \\ \frac{\partial f(x)}{\partial x_{n}} \end{bmatrix} =\begin{bmatrix} \sum_{j=1}^{n}a_{1j}x_{j}+\sum_{i=1}^{n}a_{i1}x_{i}\\ \sum_{j=2}^{n}a_{1j}x_{j}+\sum_{i=1}^{n}a_{i2}x_{i} \\ \sum_{j=3}^{n}a_{1j}x_{j}+\sum_{i=1}^{n}a_{i3}x_{i} \\ ... \\ \sum_{j=n}^{n}a_{1j}x_{j}+\sum_{i=1}^{n}a_{in}x_{i} \end{bmatrix}

因此:

\frac{df(x)}{dx} = Ax + A^Tx

相关内容

热门资讯

苗族的传统节日 贵州苗族节日有... 【岜沙苗族芦笙节】岜沙,苗语叫“分送”,距从江县城7.5公里,是世界上最崇拜树木并以树为神的枪手部落...
北京的名胜古迹 北京最著名的景... 北京从元代开始,逐渐走上帝国首都的道路,先是成为大辽朝五大首都之一的南京城,随着金灭辽,金代从海陵王...
篮球运球基本功 篮球运球动作要... 篮球是初中男生们最为喜爱的体育项目之一,甚至部分学生的篮球水平很高,但是平时打球多,并不意味着就一定...
demo什么意思 demo版本... 618快到了,各位的小金库大概也在准备开闸放水了吧。没有小金库的,也该向老婆撒娇卖萌服个软了,一切只...
应用未安装解决办法 平板应用未... ---IT小技术,每天Get一个小技能!一、前言描述苹果IPad2居然不能安装怎么办?与此IPad不...
长白山自助游攻略 吉林长白山游... 昨天介绍了西坡的景点详细请看链接:一个人的旅行,据说能看到长白山天池全凭运气,您的运气如何?今日介绍...
脚上的穴位图 脚面经络图对应的... 人体穴位作用图解大全更清晰直观的标注了各个人体穴位的作用,包括头部穴位图、胸部穴位图、背部穴位图、胳...
世界上最漂亮的人 世界上最漂亮... 此前在某网上,选出了全球265万颜值姣好的女性。从这些数量庞大的女性群体中,人们投票选出了心目中最美...
猫咪吃了塑料袋怎么办 猫咪误食... 你知道吗?塑料袋放久了会长猫哦!要说猫咪对塑料袋的喜爱程度完完全全可以媲美纸箱家里只要一有塑料袋的响...
北京的名胜古迹 北京最著名的景... 北京从元代开始,逐渐走上帝国首都的道路,先是成为大辽朝五大首都之一的南京城,随着金灭辽,金代从海陵王...
回归分析结果怎么看 spss回... 性研究领域,无论是现况调查、病例对照研究、还是队列研究,经常遇到分类的健康结局,包括二分类(如:生存...
苗族的传统节日 贵州苗族节日有... 【岜沙苗族芦笙节】岜沙,苗语叫“分送”,距从江县城7.5公里,是世界上最崇拜树木并以树为神的枪手部落...
长白山自助游攻略 吉林长白山游... 昨天介绍了西坡的景点详细请看链接:一个人的旅行,据说能看到长白山天池全凭运气,您的运气如何?今日介绍...
应用未安装解决办法 平板应用未... ---IT小技术,每天Get一个小技能!一、前言描述苹果IPad2居然不能安装怎么办?与此IPad不...
脚上的穴位图 脚面经络图对应的... 人体穴位作用图解大全更清晰直观的标注了各个人体穴位的作用,包括头部穴位图、胸部穴位图、背部穴位图、胳...
世界上最漂亮的人 世界上最漂亮... 此前在某网上,选出了全球265万颜值姣好的女性。从这些数量庞大的女性群体中,人们投票选出了心目中最美...
demo什么意思 demo版本... 618快到了,各位的小金库大概也在准备开闸放水了吧。没有小金库的,也该向老婆撒娇卖萌服个软了,一切只...
猫咪吃了塑料袋怎么办 猫咪误食... 你知道吗?塑料袋放久了会长猫哦!要说猫咪对塑料袋的喜爱程度完完全全可以媲美纸箱家里只要一有塑料袋的响...