向量的点乘(dot)是一个标量积,也叫向量的内积、数量积。
有向量a b
a=(a1,a2,a3,...,an)
b=(b1,b2,b3,...,bn);
那么向量a(dot)b=a1b1+a2b2+a3b3+....+anbn
从上面我们能可以看出,点乘得到的结果只是一个数值
注意:点乘的基础是两个向量有相同的维度
几何意义:一个向量在另外一个向量上的投影,也可以计算出两个向量之间夹角

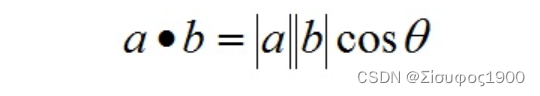
余弦定理:


因此:

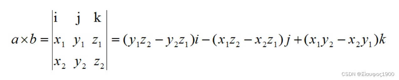
向量的叉乘是一个向量积,我们也经常称之为向量叉乘积或者外积
在空间中有两个向量: a=(x1,y1,z1) , b=(x2,y2,z2), a 与 b之间夹角为 θ。
从代数角度计算:
a×b=(y1z2−z1y2,z1x2−x1z2,x1y2−y1x2)

其中i=(1,0,0),j=(0,1,0),k=(0,0,1);
在三维几何中,向量a和向量b的叉乘结果是一个向量,更为熟知的叫法是法向量,该向量垂直于a和b向量构成的平面。


a×b=|a||b|sinθ
1、a×b=-b×a
2、a×a=0
3、a×(b×c)=a×b+a×c
下一篇:我应该是懂居家办公的吧?