
前面的文章介绍了很多分类算法,分类的目标变量是标称型数据,而本文将会对连续型的数据做出预测。主要讲解简单的线性回归和局部加权线性回归,并通过预测鲍鱼年龄的实例进行实战演练。
回归的目的是预测数值型的目标值。最直接的办法是依据输入写出一个目标值的计算公式。假如你想预测小姐姐男友汽车的功率,可能会这么计算:
HorsePower = 0.0015 * annualSalary - 0.99 * hoursListeningToPublicRadio
写成中文就是:
小姐姐男友汽车的功率 = 0.0015 * 小姐姐男友年薪 - 0.99 * 收听公共广播的时间
这就是所谓的回归方程(regression equation),其中的0.0015和-0.99称为回归系数(regression weights),求这些回归系数的过程就是回归。一旦有了这些回归系数,再给定输入,做预测就非常容易了。具体的做法是用回归系数乘以输入值,再将结果全部加在一起,就得到了预测值。
说到回归,一般都是指线性回归(linear regression),所以本文里的回归和线性回归代表同一个意思。线性回归意味着可以将输入项分别乘以一些常量,再将结果加起来得到输出。需要说明的是,存在另一种成为非线性回归的回归模型,该模型不认同上面的做法,比如认为输出可能是输入的乘积。这样,上面的功率计算公式也可以写做:
HorsePower = 0.0015 * annualSalary / hoursListeningToPublicRadio
这就是一个非线性回归的例子,本文对此不做深入讨论。
应该怎么从一大堆数据里求出回归方程呢?假定输入数据存放在矩阵X中,结果存放在向量y中:

而回归系数存放在向量w中:

那么对于给定的数据x1,即矩阵X的第一列数据,预测结果u1将会通过如下公式给出:

现在的问题是,手里有数据矩阵X和对应的标签向量y,怎么才能找到w呢?一个常用的方法就是找出使误差最小的w。这里的误差是指预测u值和真实y值之间的差值,使用该误差的简单累加将使得正差值和负差值相互抵消,所以我们采用平方误差。
平方误差和可以写做:

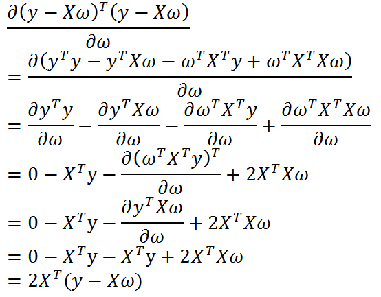
用矩阵表示还可以写做:

为啥能这么变化,记住一个前提:若x为向量,则默认x为列向量,x^T为行向量。将上述提到的数据矩阵X和标签向量y带进去,就知道为何这么变化了。
在继续推导之前,我们要先明确一个目的:找到w,使平方误差和最小。因为我们认为平方误差和越小,说明线性回归拟合效果越好。
现在,我们用矩阵表示的平方误差和对w进行求导:

如果对于矩阵求不熟悉的,可以移步这里:点击查看
令上述公式等于0,得到:

w上方的小标记表示,这是当前可以估计出的w的最优解。从现有数据上估计出的w可能并不是数据中的真实w值,所以这里使用了一个"帽"符号来表示它仅是w的一个最佳估计。
值得注意的是,上述公式中包含逆矩阵,也就是说,这个方程只在逆矩阵存在的时候使用,也即是这个矩阵是一个方阵,并且其行列式不为0。
述的最佳w求解是统计学中的常见问题,除了矩阵方法外还有很多其他方法可以解决。通过调用NumPy库里的矩阵方法,我们可以仅使用几行代码就完成所需功能。该方法也称作OLS, 意思是“普通小二乘法”(ordinary least squares)。
我们先看下数据集,数据下载地址:数据集下载

第一列都为1.0,即x0。第二列为x1,即x轴数据。第三列为x2,即y轴数据。首先绘制下数据,看下数据分布。编写代码如下:
# -*- coding:utf-8 -*-
import matplotlib.pyplot as plt
import numpy as npdef loadDataSet(fileName):"""函数说明:加载数据Parameters:fileName - 文件名Returns:xArr - x数据集yArr - y数据集Modify:2023-01-08"""numFeat = len(open(fileName).readline().split('\t')) - 1xArr = []yArr = []fr = open(fileName)for line in fr.readlines():lineArr = []curLine = line.strip().split('\t')for i in range(numFeat):lineArr.append(float(curLine[i]))xArr.append(lineArr)yArr.append(float(curLine[-1]))return xArr, yArrdef plotDataSet():"""函数说明:绘制数据集Parameters:无Returns:无Modify:2023-01-08"""xArr, yArr = loadDataSet('ex0.txt') # 加载数据集n = len(xArr) # 数据个数xcord = []ycord = [] # 样本点for i in range(n):xcord.append(xArr[i][1])ycord.append(yArr[i]) # 样本点fig = plt.figure()ax = fig.add_subplot(111) # 添加subplotax.scatter(xcord, ycord, s=20, c='blue', alpha=.5) # 绘制样本点plt.title('DataSet') # 绘制titleplt.xlabel('X')plt.show()if __name__ == '__main__':plotDataSet()运行代码如下:

通过可视化数据,我们可以看到数据的分布情况。接下来,让我们根据上文中推导的回归系数计算方法,求出回归系数向量,并根据回归系数向量绘制回归曲线,编写代码如下:
# -*- coding:utf-8 -*-
import matplotlib.pyplot as plt
import numpy as npdef loadDataSet(fileName):"""函数说明:加载数据Parameters:fileName - 文件名Returns:xArr - x数据集yArr - y数据集Modify:2023-01-08"""numFeat = len(open(fileName).readline().split('\t')) - 1xArr = [];yArr = []fr = open(fileName)for line in fr.readlines():lineArr = []curLine = line.strip().split('\t')for i in range(numFeat):lineArr.append(float(curLine[i]))xArr.append(lineArr)yArr.append(float(curLine[-1]))return xArr, yArrdef standRegres(xArr, yArr):"""函数说明:计算回归系数wParameters:xArr - x数据集yArr - y数据集Returns:ws - 回归系数Modify:2023-01-08"""xMat = np.mat(xArr);yMat = np.mat(yArr).TxTx = xMat.T * xMat # 根据文中推导的公示计算回归系数if np.linalg.det(xTx) == 0.0:print("矩阵为奇异矩阵,不能求逆")returnws = xTx.I * (xMat.T * yMat)return wsdef plotRegression():"""函数说明:绘制回归曲线和数据点Parameters:无Returns:无Modify:2023-01-08"""xArr, yArr = loadDataSet('ex0.txt') # 加载数据集ws = standRegres(xArr, yArr) # 计算回归系数xMat = np.mat(xArr) # 创建xMat矩阵yMat = np.mat(yArr) # 创建yMat矩阵xCopy = xMat.copy() # 深拷贝xMat矩阵xCopy.sort(0) # 排序yHat = xCopy * ws # 计算对应的y值fig = plt.figure()ax = fig.add_subplot(111) # 添加subplotax.plot(xCopy[:, 1], yHat, c='red') # 绘制回归曲线ax.scatter(xMat[:, 1].flatten().A[0], yMat.flatten().A[0], s=20, c='blue', alpha=.5) # 绘制样本点plt.title('DataSet') # 绘制titleplt.xlabel('X')plt.show()if __name__ == '__main__':plotRegression()运行代码如下:

如何判断拟合曲线的拟合效果的如何呢?当然,我们可以根据自己的经验进行观察,除此之外,我们还可以使用corrcoef方法,来比较预测值和真实值的相关性。编写代码如下:
# -*- coding:utf-8 -*-
import numpy as npdef loadDataSet(fileName):"""函数说明:加载数据Parameters:fileName - 文件名Returns:xArr - x数据集yArr - y数据集Modify:2023-01-08"""numFeat = len(open(fileName).readline().split('\t')) - 1xArr = [];yArr = []fr = open(fileName)for line in fr.readlines():lineArr = []curLine = line.strip().split('\t')for i in range(numFeat):lineArr.append(float(curLine[i]))xArr.append(lineArr)yArr.append(float(curLine[-1]))return xArr, yArrdef standRegres(xArr, yArr):"""函数说明:计算回归系数wParameters:xArr - x数据集yArr - y数据集Returns:ws - 回归系数Modify:2023-01-08"""xMat = np.mat(xArr);yMat = np.mat(yArr).TxTx = xMat.T * xMat # 根据文中推导的公示计算回归系数if np.linalg.det(xTx) == 0.0:print("矩阵为奇异矩阵,不能求逆")returnws = xTx.I * (xMat.T * yMat)return wsif __name__ == '__main__':xArr, yArr = loadDataSet('ex0.txt') # 加载数据集ws = standRegres(xArr, yArr) # 计算回归系数xMat = np.mat(xArr) # 创建xMat矩阵yMat = np.mat(yArr) # 创建yMat矩阵yHat = xMat * wsprint(np.corrcoef(yHat.T, yMat))运行结果如下:

可以看到,对角线上的数据是1.0,因为yMat和自己的匹配是完美的,而YHat和yMat的相关系数为0.98。
最佳拟合直线方法将数据视为直线进行建模,具有十分不错的表现。数据当中似乎还存在其他的潜在模式。那么如何才能利用这些模式呢?我们可以根据数据来局部调整预测,下面就会介绍这种方法。
线性回归的一个问题是有可能出现欠拟合现象,因为它求的是具有小均方误差的无偏估 计。显而易见,如果模型欠拟合将不能取得好的预测效果。所以有些方法允许在估计中引入一 些偏差,从而降低预测的均方误差。
其中的一个方法是局部加权线性回归(Locally Weighted Linear Regression,LWLR)。在该方法中,我们给待预测点附近的每个点赋予一定的权重。与kNN一样,这种算法每次预测均需要事先选取出对应的数据子集。该算法解除回归系数W的形式如下:

其中W是一个矩阵,这个公式跟我们上面推导的公式的区别就在于W,它用来给每个店赋予权重。
LWLR使用"核"(与支持向量机中的核类似)来对附近的点赋予更高的权重。核的类型可以自由选择,最常用的核就是高斯核,高斯核对应的权重如下:

这样我们就可以根据上述公式,编写局部加权线性回归,我们通过改变k的值,可以调节回归效果,编写代码如下:
# -*- coding:utf-8 -*-
from matplotlib.font_manager import FontProperties
import matplotlib.pyplot as plt
import numpy as npdef loadDataSet(fileName):"""函数说明:加载数据Parameters:fileName - 文件名Returns:xArr - x数据集yArr - y数据集Modify:2023-01-08"""numFeat = len(open(fileName).readline().split('\t')) - 1xArr = []; yArr = []fr = open(fileName)for line in fr.readlines():lineArr =[]curLine = line.strip().split('\t')for i in range(numFeat):lineArr.append(float(curLine[i]))xArr.append(lineArr)yArr.append(float(curLine[-1]))return xArr, yArrdef standRegres(xArr,yArr):"""函数说明:计算回归系数wParameters:xArr - x数据集yArr - y数据集Returns:ws - 回归系数Modify:2023-01-08"""xMat = np.mat(xArr); yMat = np.mat(yArr).TxTx = xMat.T * xMat #根据文中推导的公示计算回归系数if np.linalg.det(xTx) == 0.0:print("矩阵为奇异矩阵,不能求逆")returnws = xTx.I * (xMat.T*yMat)return wsdef plotDataSet():"""函数说明:绘制数据集Parameters:无Returns:无Modify:2023-01-08"""xArr, yArr = loadDataSet('ex0.txt') #加载数据集n = len(xArr) #数据个数xcord = []; ycord = [] #样本点for i in range(n): xcord.append(xArr[i][1]); ycord.append(yArr[i]) #样本点fig = plt.figure()ax = fig.add_subplot(111) #添加subplotax.scatter(xcord, ycord, s = 20, c = 'blue',alpha = .5) #绘制样本点plt.title('DataSet') #绘制titleplt.xlabel('X')plt.show()def plotRegression():"""函数说明:绘制回归曲线和数据点Parameters:无Returns:无Modify:2023-01-08"""xArr, yArr = loadDataSet('ex0.txt') #加载数据集ws = standRegres(xArr, yArr) #计算回归系数xMat = np.mat(xArr) #创建xMat矩阵yMat = np.mat(yArr) #创建yMat矩阵xCopy = xMat.copy() #深拷贝xMat矩阵xCopy.sort(0) #排序yHat = xCopy * ws #计算对应的y值fig = plt.figure()ax = fig.add_subplot(111) #添加subplotax.plot(xCopy[:, 1], yHat, c = 'red') #绘制回归曲线ax.scatter(xMat[:,1].flatten().A[0], yMat.flatten().A[0], s = 20, c = 'blue',alpha = .5) #绘制样本点plt.title('DataSet') #绘制titleplt.xlabel('X')plt.show()def plotlwlrRegression():"""函数说明:绘制多条局部加权回归曲线Parameters:无Returns:无Modify:2023-01-08"""font = FontProperties(fname=r"c:\windows\fonts\simsun.ttc", size=14)xArr, yArr = loadDataSet('ex0.txt') #加载数据集yHat_1 = lwlrTest(xArr, xArr, yArr, 1.0) #根据局部加权线性回归计算yHatyHat_2 = lwlrTest(xArr, xArr, yArr, 0.01) #根据局部加权线性回归计算yHatyHat_3 = lwlrTest(xArr, xArr, yArr, 0.003) #根据局部加权线性回归计算yHatxMat = np.mat(xArr) #创建xMat矩阵yMat = np.mat(yArr) #创建yMat矩阵srtInd = xMat[:, 1].argsort(0) #排序,返回索引值xSort = xMat[srtInd][:,0,:]fig, axs = plt.subplots(nrows=3, ncols=1,sharex=False, sharey=False, figsize=(10,8)) axs[0].plot(xSort[:, 1], yHat_1[srtInd], c = 'red') #绘制回归曲线axs[1].plot(xSort[:, 1], yHat_2[srtInd], c = 'red') #绘制回归曲线axs[2].plot(xSort[:, 1], yHat_3[srtInd], c = 'red') #绘制回归曲线axs[0].scatter(xMat[:,1].flatten().A[0], yMat.flatten().A[0], s = 20, c = 'blue', alpha = .5) #绘制样本点axs[1].scatter(xMat[:,1].flatten().A[0], yMat.flatten().A[0], s = 20, c = 'blue', alpha = .5) #绘制样本点axs[2].scatter(xMat[:,1].flatten().A[0], yMat.flatten().A[0], s = 20, c = 'blue', alpha = .5) #绘制样本点#设置标题,x轴label,y轴labelaxs0_title_text = axs[0].set_title(u'局部加权回归曲线,k=1.0',fontproperties='SimHei',fontsize=20)axs1_title_text = axs[1].set_title(u'局部加权回归曲线,k=0.01',fontproperties='SimHei',fontsize=20)axs2_title_text = axs[2].set_title(u'局部加权回归曲线,k=0.003',fontproperties='SimHei',fontsize=20)plt.setp(axs0_title_text, size=8, weight='bold', color='red') plt.setp(axs1_title_text, size=8, weight='bold', color='red') plt.setp(axs2_title_text, size=8, weight='bold', color='red') plt.xlabel('X')plt.show()def lwlr(testPoint, xArr, yArr, k = 1.0):"""函数说明:使用局部加权线性回归计算回归系数wParameters:testPoint - 测试样本点xArr - x数据集yArr - y数据集k - 高斯核的k,自定义参数Returns:ws - 回归系数Modify:2023-01-08"""xMat = np.mat(xArr); yMat = np.mat(yArr).Tm = np.shape(xMat)[0]weights = np.mat(np.eye((m))) #创建权重对角矩阵for j in range(m): #遍历数据集计算每个样本的权重diffMat = testPoint - xMat[j, :] weights[j, j] = np.exp(diffMat * diffMat.T/(-2.0 * k**2))xTx = xMat.T * (weights * xMat) if np.linalg.det(xTx) == 0.0:print("矩阵为奇异矩阵,不能求逆")returnws = xTx.I * (xMat.T * (weights * yMat)) #计算回归系数return testPoint * wsdef lwlrTest(testArr, xArr, yArr, k=1.0): """函数说明:局部加权线性回归测试Parameters:testArr - 测试数据集xArr - x数据集yArr - y数据集k - 高斯核的k,自定义参数Returns:ws - 回归系数Modify:2023-01-08"""m = np.shape(testArr)[0] #计算测试数据集大小yHat = np.zeros(m) for i in range(m): #对每个样本点进行预测yHat[i] = lwlr(testArr[i],xArr,yArr,k)return yHatif __name__ == '__main__':plotlwlrRegression()运行结果如下:

可以看到,当k越小,拟合效果越好。但是当k过小,会出现过拟合的情况,例如k等于0.003的时候。
接下来,我们将回归用于真是数据。在abalone.txt文件中记录了鲍鱼(一种水生物→__→)的年龄,这个数据来自UCI数据集合的数据。鲍鱼年龄可以从鲍鱼壳的层数推算得到。
数据集下载地址:数据集下载
数据集的数据如下:

可以看到,数据集是多维的,所以我们很难画出它的分布情况。每个维度数据的代表的含义没有给出,不过没有关系,我们只要知道最后一列的数据是y值就可以了,最后一列代表的是鲍鱼的真实年龄,前面几列的数据是一些鲍鱼的特征,例如鲍鱼壳的层数等。我们不做数据清理,直接用上所有特征,测试下我们的局部加权回归。
新建abalone.py文件,添加rssError函数,用于评价最后回归结果。编写代码如下:
# -*- coding:utf-8 -*-
from matplotlib.font_manager import FontProperties
import matplotlib.pyplot as plt
import numpy as npdef loadDataSet(fileName):"""函数说明:加载数据Parameters:fileName - 文件名Returns:xArr - x数据集yArr - y数据集Modify:2023-01-08"""numFeat = len(open(fileName).readline().split('\t')) - 1xArr = []; yArr = []fr = open(fileName)for line in fr.readlines():lineArr =[]curLine = line.strip().split('\t')for i in range(numFeat):lineArr.append(float(curLine[i]))xArr.append(lineArr)yArr.append(float(curLine[-1]))return xArr, yArrdef lwlr(testPoint, xArr, yArr, k = 1.0):"""函数说明:使用局部加权线性回归计算回归系数wParameters:testPoint - 测试样本点xArr - x数据集yArr - y数据集k - 高斯核的k,自定义参数Returns:ws - 回归系数Modify:2023-01-08"""xMat = np.mat(xArr); yMat = np.mat(yArr).Tm = np.shape(xMat)[0]weights = np.mat(np.eye((m))) #创建权重对角矩阵for j in range(m): #遍历数据集计算每个样本的权重diffMat = testPoint - xMat[j, :] weights[j, j] = np.exp(diffMat * diffMat.T/(-2.0 * k**2))xTx = xMat.T * (weights * xMat) if np.linalg.det(xTx) == 0.0:print("矩阵为奇异矩阵,不能求逆")returnws = xTx.I * (xMat.T * (weights * yMat)) #计算回归系数return testPoint * wsdef lwlrTest(testArr, xArr, yArr, k=1.0): """函数说明:局部加权线性回归测试Parameters:testArr - 测试数据集,测试集xArr - x数据集,训练集yArr - y数据集,训练集k - 高斯核的k,自定义参数Returns:ws - 回归系数Modify:2023-01-08"""m = np.shape(testArr)[0] #计算测试数据集大小yHat = np.zeros(m) for i in range(m): #对每个样本点进行预测yHat[i] = lwlr(testArr[i],xArr,yArr,k)return yHatdef standRegres(xArr,yArr):"""函数说明:计算回归系数wParameters:xArr - x数据集yArr - y数据集Returns:ws - 回归系数Modify:2023-01-08"""xMat = np.mat(xArr); yMat = np.mat(yArr).TxTx = xMat.T * xMat #根据文中推导的公示计算回归系数if np.linalg.det(xTx) == 0.0:print("矩阵为奇异矩阵,不能求逆")returnws = xTx.I * (xMat.T*yMat)return wsdef rssError(yArr, yHatArr):"""误差大小评价函数Parameters:yArr - 真实数据yHatArr - 预测数据Returns:误差大小"""return ((yArr - yHatArr) **2).sum()if __name__ == '__main__':abX, abY = loadDataSet('abalone.txt')print('训练集与测试集相同:局部加权线性回归,核k的大小对预测的影响:')yHat01 = lwlrTest(abX[0:99], abX[0:99], abY[0:99], 0.1)yHat1 = lwlrTest(abX[0:99], abX[0:99], abY[0:99], 1)yHat10 = lwlrTest(abX[0:99], abX[0:99], abY[0:99], 10)print('k=0.1时,误差大小为:',rssError(abY[0:99], yHat01.T))print('k=1 时,误差大小为:',rssError(abY[0:99], yHat1.T))print('k=10 时,误差大小为:',rssError(abY[0:99], yHat10.T))print('')print('训练集与测试集不同:局部加权线性回归,核k的大小是越小越好吗?更换数据集,测试结果如下:')yHat01 = lwlrTest(abX[100:199], abX[0:99], abY[0:99], 0.1)yHat1 = lwlrTest(abX[100:199], abX[0:99], abY[0:99], 1)yHat10 = lwlrTest(abX[100:199], abX[0:99], abY[0:99], 10)print('k=0.1时,误差大小为:',rssError(abY[100:199], yHat01.T))print('k=1 时,误差大小为:',rssError(abY[100:199], yHat1.T))print('k=10 时,误差大小为:',rssError(abY[100:199], yHat10.T))print('')print('训练集与测试集不同:简单的线性归回与k=1时的局部加权线性回归对比:')print('k=1时,误差大小为:', rssError(abY[100:199], yHat1.T))ws = standRegres(abX[0:99], abY[0:99])yHat = np.mat(abX[100:199]) * wsprint('简单的线性回归误差大小:', rssError(abY[100:199], yHat.T.A))运行结果如下:

可以看到,当k=0.1时,训练集误差小,但是应用于新的数据集之后,误差反而变大了。这就是经常说道的过拟合现象。我们训练的模型,我们要保证测试集准确率高,这样训练出的模型才可以应用于新的数据,也就是要加强模型的普适性。可以看到,当k=1时,局部加权线性回归和简单的线性回归得到的效果差不多。这也表明一点,必须在未知数据上比较效果才能选取到最佳模型。那么最佳的核大小是10吗?或许是,但如果想得到更好的效果,应该用10个不同的样本集做10次测试来比较结果。
本示例展示了如何使用局部加权线性回归来构建模型,可以得到比普通线性回归更好的效果。局部加权线性回归的问题在于,每次必须在整个数据集上运行。也就是说为了做出预测,必须保存所有的训练数据。
本文主要介绍了简单的线性回归和局部加权线性回归。
训练的模型要在测试集比较它们的效果,而不是在训练集上。
在局部加权线性回归中,过小的核可能导致过拟合现象,即训练集表现良好,测试集表现就渣渣了。
下篇文章将继续讲解回归,会介绍另一种提高预测精度的方法。
如有问题,请留言。如有错误,还望指正,谢谢!
参考资料:
[1] 机器学习实战第八章内容
https://cuijiahua.com/blog/2017/11/ml_11_regression_1.html
上一篇:2022美亚个人赛复盘