斯皮尔曼相关(spearman)相关性分析一文详解+python实例代码
创始人
2024-05-14 07:39:31

前言

相关性分析算是很多算法以及建模的基础知识之一了,十分经典。关于许多特征关联关系以及相关趋势都可以利用相关性分析计算表达。其中常见的相关性系数就有三种:person相关系数,spearman相关系数,Kendall's tau-b等级相关系数。各有各自的用法和使用场景。当然关于这以上三种相关系数的计算算法和原理+代码我都会在我专栏里面写齐全。目前关于数学建模的专栏已经将传统的机器学习预测算法、维度算法、时序预测算法和权重算法写的七七八八了,有这个需求兴趣的同学可以去看看。

皮尔逊相关性分析一文详解+python实例代码


一、定义

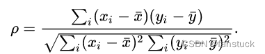
经常用希腊字母ρ表示。 它是衡量两个变量的依赖性的非参数指标。 它利用单调方程评价两个统计变量的相关性。 如果数据中没有重复值, 并且当两个变量完全单调相关时,斯皮尔曼相关系数则为+1或−1。斯皮尔曼相关系数被定义成等级变量之间的皮尔逊相关系数。对于样本容量为n的样本,n个原始数据被转换成等级数据,相关系数ρ为:

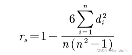
 在实际应用或是具体题目中,变量间的连结是无关紧要的,将观测的两个变量的对应元素相减得到一个差值d,则还可以将上述公式转化为:

 其中,d_iX_{i}Y_{i}之间的等级差。

d_i的计算方式为:

二、斯皮尔曼相关使用场景

斯皮尔曼相关系数的适用条件比皮尔逊相关系数要广,只需两个变量的观测值是成对的等级评定数据,或者是由连续变量观测数据转化得到的等级数据,不论两个变量的总体分布形态、样本容量的大小如何,都可以用斯皮尔曼等级相关系数来进行研究。只要数据满足单调关系(例如线性函数、指数函数、对数函数等)就能够使用。

斯皮尔曼相关系数对于异常值不太敏感,因为它基于排序位次进行计算,实际数值之间的差异大小对于计算结果没有直接影响。

三、斯皮尔曼相关系数(Spearman correlation)计算

和上期文章使用的函数一样,可以使用pandas的函数corr:

DataFrame.corr(method='pearson', min_periods=1,numeric_only=_NoDefault.no_default)

 参数说明:

method:{‘pearson’, ‘kendall’, ‘spearman’} or callable。Method of correlation。

  • pearson : standard correlation coefficient,皮尔逊系数

  • kendall : Kendall Tau correlation coefficient,肯德尔系数

  • spearman :Spearman rank correlation,斯皮尔曼系数

min_periods:int, optional。每对列所需的最小样本数。目前仅适用于Pearson和Spearman相关性。

numeric_only:bool, default True。仅包含浮点、整型或布尔型数据。

实现起来很简单:

rho =df_test.corr(method='spearman')
rho

热力图:

plt.rcParams['font.family'] = ['SimHei']
plt.rcParams['axes.unicode_minus'] = False
sns.heatmap(rho, annot=True)
plt.title('Heat Map', fontsize=18)

 

或者使用scipy的state函数,效果是一样的:

import numpy as np
from scipy import statsstats.spearmanr(data1,data2)

 四、斯皮尔曼相关系数的假设检验

分为两种情况:小样本和大样本

小样本情况(n ≤ 30),直接查临界值表
H0:rs = 0; H1:rs ≠ 0
使用得出的斯皮尔曼相关系数 r 与对应的临界值进行比较。

 大样本情况下,统计量

 H0:rs = 0; H1:rs ≠ 0,计算检验值z*,并求出对应的p值与0.05比较即可。


点关注,防走丢,如有纰漏之处,请留言指教,非常感谢

以上就是本期全部内容。我是fanstuck ,有问题大家随时留言讨论 ,我们下期见

 参阅

数学建模——相关系数(4)——斯皮尔曼相关系数(spearman)

 

相关内容

热门资讯

苗族的传统节日 贵州苗族节日有... 【岜沙苗族芦笙节】岜沙,苗语叫“分送”,距从江县城7.5公里,是世界上最崇拜树木并以树为神的枪手部落...
北京的名胜古迹 北京最著名的景... 北京从元代开始,逐渐走上帝国首都的道路,先是成为大辽朝五大首都之一的南京城,随着金灭辽,金代从海陵王...
手机中病毒怎么办 病毒手机怎么... 手机的工作原理跟电脑是一模一样,手机也分硬件部分和软件部分,软件部分就是指手机的操作系统,手机的操作...
脚上的穴位图 脚面经络图对应的... 人体穴位作用图解大全更清晰直观的标注了各个人体穴位的作用,包括头部穴位图、胸部穴位图、背部穴位图、胳...
长白山自助游攻略 吉林长白山游... 昨天介绍了西坡的景点详细请看链接:一个人的旅行,据说能看到长白山天池全凭运气,您的运气如何?今日介绍...
应用未安装解决办法 平板应用未... ---IT小技术,每天Get一个小技能!一、前言描述苹果IPad2居然不能安装怎么办?与此IPad不...
世界上最漂亮的人 世界上最漂亮... 此前在某网上,选出了全球265万颜值姣好的女性。从这些数量庞大的女性群体中,人们投票选出了心目中最美...
猫咪吃了塑料袋怎么办 猫咪误食... 你知道吗?塑料袋放久了会长猫哦!要说猫咪对塑料袋的喜爱程度完完全全可以媲美纸箱家里只要一有塑料袋的响...
demo什么意思 demo版本... 618快到了,各位的小金库大概也在准备开闸放水了吧。没有小金库的,也该向老婆撒娇卖萌服个软了,一切只...
苗族的传统节日 贵州苗族节日有... 【岜沙苗族芦笙节】岜沙,苗语叫“分送”,距从江县城7.5公里,是世界上最崇拜树木并以树为神的枪手部落...
北京的名胜古迹 北京最著名的景... 北京从元代开始,逐渐走上帝国首都的道路,先是成为大辽朝五大首都之一的南京城,随着金灭辽,金代从海陵王...
耳机怎么煲机 1000左右耳机... 对于耳机用户来说,不管是有线还是无线蓝牙耳机,尤其是对音质比较有追求的朋友们,总会涉及到一个词——煲...
应用未安装解决办法 平板应用未... ---IT小技术,每天Get一个小技能!一、前言描述苹果IPad2居然不能安装怎么办?与此IPad不...
长白山自助游攻略 吉林长白山游... 昨天介绍了西坡的景点详细请看链接:一个人的旅行,据说能看到长白山天池全凭运气,您的运气如何?今日介绍...
猫咪吃了塑料袋怎么办 猫咪误食... 你知道吗?塑料袋放久了会长猫哦!要说猫咪对塑料袋的喜爱程度完完全全可以媲美纸箱家里只要一有塑料袋的响...
脚上的穴位图 脚面经络图对应的... 人体穴位作用图解大全更清晰直观的标注了各个人体穴位的作用,包括头部穴位图、胸部穴位图、背部穴位图、胳...
世界上最漂亮的人 世界上最漂亮... 此前在某网上,选出了全球265万颜值姣好的女性。从这些数量庞大的女性群体中,人们投票选出了心目中最美...
demo什么意思 demo版本... 618快到了,各位的小金库大概也在准备开闸放水了吧。没有小金库的,也该向老婆撒娇卖萌服个软了,一切只...