在小批量梯度下降中:

令,则:

因此我们要使得参数最优,则
为最优的时候的常数,故学习率要和批量大小成正比。
在Adam算法中:
因此当的时候:
因此可以发现此时梯度消失,因此需要进行偏差偏正
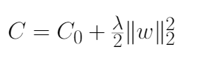
L2正则化:

L2正则化损失函数相对于参数w的偏导数(梯度)

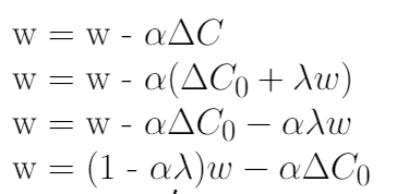
得到损失函数的偏导数结果后,将结果代入梯度下降学习规则中,代入后,打开括号,重新排列,使其等价于在一定假设下的权值衰减方程。

最终重新排列的L2正则化方程和权值衰减方程之间的唯一区别是α(学习率)乘以λ(正则化项)。为了得到两个方程,我们用λ来重新参数化L2正则化方程。

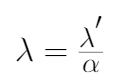
将λ'替换为λ,对L2正则化方程进行重新参数化,将其等价于权值衰减方程,如下式所示。
综上,在标准的随机梯度下降中,权重衰减正则化和l2正则化的效果相同得证。
但这一结论在动量法和Adam算法中不成立。L2正则化梯度更新的方向取决于最近一段时间内梯度的加权平均值。
当与自适应梯度相结合时(动量法和Adam算法),L2正则化导致具有较大历史参数 (和/或) 梯度振幅的权重被正则化的程度小于使用权值衰减时的情况。

这是本学期的最后一次作业,在老师的教导下,经过一个学期的学习,对深度学习有了更深刻的了解,也增强了自己的自学能力和动手能力。本次作业了解了网络优化的几个常用算法,以及为什么在小批量梯度下降中学习率与权重大小成正比等。
16、指数加权平均算法介绍及偏差修正 - Hzzhbest - 博客园【deeplearning.ai笔记第二课】2.1 随机梯度下降,批量梯度下降和小批量梯度下降_adrianna_xy的博客-CSDN博客_在小批量梯度下降中,试分析为什么学习率要和批量大小成正比16、指数加权平均算法介绍及偏差修正 - Hzzhbest - 博客园