
文章目录
观测量和计算基下的测量
一、观测量
二、计算基下的测量
三、投影测量

量子比特(qubit)不同于经典的比特(bit),一个量子比特|
>可以同时处于|0>和|1>两个状态,可用线性代数中的线性组合(linear combination)来表示为![]()
在量子力学中常称量子比特|
>处于|0>和|1>的叠加态(superpositions),其中
、
都是复数(complex number),两维复向量空间的一组标准正交基(orthonormal basis)|0>和|1>组成一组计算基(computational basis)。
量子比特的信息不能直接获取,而是通过测量来获取量子比特的可观测的信息。可观测量在量子理论中由自伴算子(self-adjoint operators)来表征,自伴的有时也称Hermitian。量子理论中的可观测量与经典力学中的动力学量,如位置、动量和角动量等对应,而系统的其他特征,如质量或电荷,并不在可观测量的类别之中,它是作为参数被引入到系统的哈密顿量(Hamiltonian)。
在量子力学中测量(measure)会导坍塌,即是说测量会影响到原来的量子状态,因此量子状态的全部信息不可能通过一次测量得到。当对量子比特进行测量时,仅能得到该量子比特概率处在|0>态,或概率
处在|1>态。由于所有情况的概率和为1,则有。
当对量子进行测量时,会发生什么变化呢?
假设:量子测量是由测量算子(measurement operators)的集合
来描述,这些算子可以作用在待测量系统的状态空间(state space)上。指标
表示在实验上可能发生的结果。如果测量前的量子系统处在最新状态|
>,那么结果
发生的概率为

并且测量后的系统状态变为

由于所有可能情况的概率和为1,即

因此,测量算子需满足

该方程被称为完备性方程(completeness equation)。
在计算基下单量子比特的测量,单量子比特在计算基下有两个测量算子分别是
。注意到这两个测量算子都是自伴的,即
且

因此
![]()
该测量算子满足完备性方程。
设系统被测量时的状态是
,则测量结果为0的概率为
![]()
对应测量后的状态为

测量结果为1的概率为
![]()
测量后的状态为
量子测量有很多种方式,比如投影测量(projective measurements)、POVM 测量(Positive Operator-Valued Measure)。
为什么要介绍投影测量呢?因为当测量算子具有酉变换性质时,投影测量和一般测量等价。
投影测量由一个可观测量(observable)
来描述,可观测量
是一个待观测系统的状态空间上的自伴算子。可观测量
可以写成谱分解的形式

这里的
为在
的特征值
对应特征空间上的投影。测量的可能结果对应于可观测量
的特征值
。在对状态|
>测量之后,得到结果
的概率为
![]()
若测量后,结果
发生,则量子系统最新的状态为

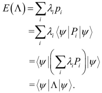
投影测量有一个重要的特征就是很容易计算投影测量的平均值
。

这个公式它能够简化很多计算。观测量
的平均值通常也记作
。因此,观测量
的标准差(standard deviation)满足

标准差是一个刻画典型分散程度的度量。
上一篇:Redis
下一篇:动态规划之01背包问题