下班前几分钟,我彻底弄懂了并查集
创始人
2024-05-20 11:33:34

目录

  • 一、并查集的由来
  • 二、代表元法
    • 2.1 初始化
    • 2.2 查询
    • 2.3 合并
    • 2.4 设计理念
  • 三、并查集的应用
    • 3.1 合并集合
    • 3.2 连通块中点的数量
    • 3.3 亲戚
    • 3.4 省份数量
  • References

一、并查集的由来

考虑这样一个场景。

现有 nnn 个元素,编号分别为 1,2,⋯,n1,2,\cdots,n1,2,⋯,n(编号仅用来说明 nnn 个元素互不相同)。初始时,我们给每个元素分配唯一的标识,称为 id,并规定如果两个元素的 id 相同,则它们属于同一集合。在这种定义下,初始时每个元素都单独属于一个集合。简便起见,令每个元素的 id 等于它自身的编号

⚠️ 注意区分编号id 的含义,下文会经常提到这两个概念,不要混淆。

假设 n≤105n\leq 10^5n≤105,我们可以开一个 id 数组用来记录初始时每个元素所属的集合

#include 
#include using namespace std;const int N = 1e5 + 10;int id[N];int main() {int n;cin >> n;iota(id + 1, id + n + 1, 1);for (int i = 1; i <= n; i++) cout << id[i] << ' ';  // 输出元素i所属的集合(即元素i的id)return 0;
}

给定元素 i,j(1≤i,j≤n)i,j\;(1\leq i,j\leq n)i,j(1≤i,j≤n),如何判断两个元素是否属于同一集合呢?很简单,只需要 O(1)O(1)O(1) 的时间:

cout << (id[i] == id[j] ? "Yes" : "No") << endl;

问题来了,如果我们想把元素 iii 所属的集合与元素 jjj 所属的集合进行合并,该如何操作呢?根据 id 数组的定义,我们需要将其中一个集合中的所有元素的 id 赋值成另一个集合的 id,因此只能遍历:

for (int k = 1; k <= n; k++)if (id[k] == id[i] && id[k] != id[j])id[k] = id[j];

然而这种操作的时间复杂度将达到恐怖的 O(n)O(n)O(n),在绝大多数情况下会TLE(例如当查询数量也为 nnn 时,总时间复杂度为 O(n2)O(n^2)O(n2))。

这个时候,并查集这种数据结构就派上用场了,它可以在近乎 O(1)O(1)O(1) 的时间内完成上述两种操作。下面给出并查集的正式定义。

并查集(Union Find)也叫「不相交集合(Disjoint Set)」,顾名思义,它专门用于动态处理不相交集合的「合」与「询」问题。

并查集主要支持以下两种操作:

  • 合并:合并两个元素所属集合;
  • 查询:查询某个元素所属集合。这可以用于判断两个元素是否属于同一集合

二、代表元法

代表元法的主要思想是:把每个集合看成一棵(不一定是二叉树),树中的每一个节点都对应了一个元素,树的根节点称为该集合的代表元。对于树中的每个节点,我们不再存储它的 id,而是存储它父节点的编号。因此这里抛弃 id 数组,取而代之的是 parent 数组(以下简称 p 数组)。p 数组的定义是:p[i] 表示编号i 的节点的父节点的编号。特别地,定义根节点的父节点是其自身(即若 r 是根节点的编号,那么有 p[r] == r 成立)。

没有了 id,我们该如何区分每个集合呢?定义树的根节点的编号为整个树(集合)的 id,于是对于任一元素 x,我们可以「自底向上」追溯到根节点来判断它属于哪个集合:

while (p[x] != x) x = p[x];
cout << x << endl;  // 输出元素x所属集合的id(即根节点的编号)

2.1 初始化

本小节关心的问题是,p 数组如何初始化?

根据代表元法,最初每个元素都是一棵树,树中只有根节点,因此对于任一元素 iii(iii 是编号),都有 p[i]=ip[i] = ip[i]=i 成立。

使用 iota 函数初始化即可:

#include 
#include using namespace std;const int N = 1e5 + 10;int p[N];int main() {int n;cin >> n;iota(p, p + n + 1, 0);  // 注意编号i的范围是1~nreturn 0;
}

2.2 查询

前面提到过,给定元素 x,我们可以使用如下代码来查询该元素所属集合

while (p[x] != x) x = p[x];

但是这种方法的时间复杂度为 O(h)O(h)O(h),其中 hhh 是树的高度。当树为链式结构时,每次查询的时间复杂度均为 O(n)O(n)O(n),因此需要做进一步的优化。

优化方案有两种:「路径压缩」和「按秩合并」。后者的优化效果并不明显,故本文主要讲前者。

从元素 x 不断追溯到根节点会形成一条路径,如果在查询结束后,我们将该路径上的每个节点(除了根节点)都直接连接到根节点上,那么在后续的查询过程中,若查询的是该路径上的点,则时间复杂度将缩减至 O(1)O(1)O(1),如下图所示:

路径压缩的实现十分简洁:

int find(int x) {if (p[x] != x) p[x] = find(p[x]);return p[x];
}

find 函数返回元素 x 所属集合的 id,且在递归执行的过程中实现了路径压缩。这段代码的含义是,如果元素 x 不是根节点,那么就让元素 x 直接指向根节点,最后返回 x 的父节点的编号(即根节点的编号)。该函数是并查集中最为核心的部分,务必熟练掌握。

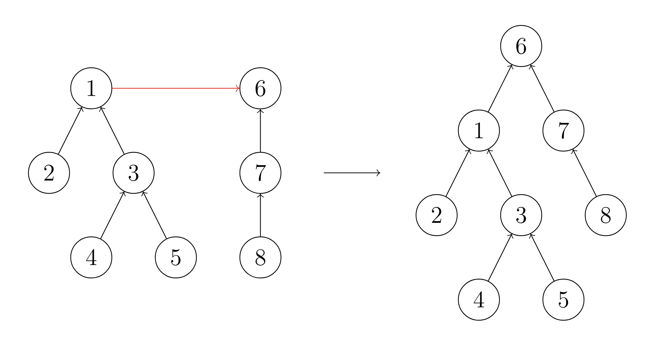
2.3 合并

合并两个集合相当于合并两棵树,我们只需要将其中一棵树的根节点指向另一棵树的根节点就可以了,如下图所示:

只需一行代码即可完成合并:

p[find(a)] = find(b);

2.4 设计理念

以下「三个不重要」概括了「代表元法」的设计理念:

  • 谁作为根节点不重要:根节点与非根节点只是位置不同,并没有附加的含义;
  • 树怎么形成的不重要:合并的时候任何一个集合的根节点指向另一个集合的根节点就可以;
  • 树的形态不重要:理由同「谁作为根节点不重要」。

三、并查集的应用

3.1 合并集合

原题链接:AcWing 836. 合并集合

该题是并查集的模板题,思路就是本文的内容,因此不再赘述,直接给出AC代码:

#include 
#include using namespace std;const int N = 1e5 + 10;int p[N];int find(int x) {if (p[x] != x) p[x] = find(p[x]);return p[x];
}int main() {ios::sync_with_stdio(false), cin.tie(nullptr);int n, m;cin >> n >> m;iota(p, p + n + 1, 0);while (m--) {char op;int a, b;cin >> op >> a >> b;if (op == 'M') p[find(a)] = find(b);else cout << (find(a) == find(b) ? "Yes" : "No") << endl;}return 0;
}

3.2 连通块中点的数量

原题链接:AcWing 837. 连通块中点的数量

不难看出,本题中的「连通块」就是集合,前两个操作我们已经见过,对于第三个操作,我们需要额外维护一个 cnt 数组,其中 cnt[i] 表示编号为 iii 的节点所属集合的点的数量。确切地说,我们只维护每个集合中根节点的 cnt,即只保证根节点的 cnt 是有意义的。

对于操作 Q1,只需判断 find(a) == find(b) 是否成立即可。

对于操作 Q2,因为只保证了根节点的 cnt 是有意义的,所以输出 cnt[find(a)] 而不是 cnt[a]

对于操作 C,在合并元素 a 和元素 b 所属集合时,cnt 数组也需要更新。将 a 所属集合的根节点指向 b 所属集合的根节点的操作为:p[find(a)] = find(b),此时 b 所属集合的大小要加上 a 所属集合的大小:cnt[find(b)] += cnt[find(a)]。需要注意的是,cnt 数组更新必须发生在集合合并之前,此外,如果 ab 属于同一集合,则什么也不用做。

AC代码:

#include 
#include 
#include using namespace std;const int N = 1e5 + 10;int p[N], cnt[N];int find(int x) {if (p[x] != x) p[x] = find(p[x]);return p[x];
}int main() {ios::sync_with_stdio(false), cin.tie(nullptr);int n, m;cin >> n >> m;iota(p, p + n + 1, 0);fill(cnt, cnt + n + 1, 1);  // 最初每个集合只有一个点while (m--) {string op;int a, b;cin >> op;if (op == "C") {cin >> a >> b;if (find(a) != find(b)) {// 以下两句的顺序不能调换cnt[find(b)] += cnt[find(a)];p[find(a)] = find(b);}} else if (op == "Q1") {cin >> a >> b;cout << (find(a) == find(b) ? "Yes" : "No") << endl;} else {cin >> a;cout << cnt[find(a)] << endl;}}return 0;
}

3.3 亲戚

原题链接:洛谷 P1551 亲戚

建立亲戚关系的过程相当于集合的合并,本题比较简单,直接给出AC代码:

#include 
#include using namespace std;const int N = 5e3 + 10;int p[N];int find(int x) {if (p[x] != x) p[x] = find(p[x]);return p[x];
}int main() {ios::sync_with_stdio(false), cin.tie(nullptr);int n, m, q, a, b;cin >> n >> m >> q;  // 注意将原问题中的p改成q,防止与数组p冲突iota(p, p + n + 1, 0);while (m--) {cin >> a >> b;p[find(a)] = find(b);}while (q--) {cin >> a >> b;cout << (find(a) == find(b) ? "Yes" : "No") << endl;}return 0;
}

3.4 省份数量

原题链接:LeetCode 547. 省份数量

根据题意可知,nnn 个城市的编号分别为 0,1,⋯,n−10,1,\cdots,n-10,1,⋯,n−1。如果 isConnected[i][j] = 1 则说明第 iii 个城市和第 jjj 个城市属于同一集合,此时应当合并。又注意到 isConnected 一定是一个对称矩阵,因此只需要遍历上三角部分即可。

合并结束后,我们会得到一棵棵树(一个个省份),于是省份的数量就等于树的数量等于根节点的数量。

class Solution {
public:int p[200];int find(int x) {if (p[x] != x) p[x] = find(p[x]);return p[x];}int findCircleNum(vector> &isConnected) {int n = isConnected.size();iota(p, p + n, 0);for (int i = 0; i < n; i++)for (int j = i + 1; j < n; j++)if (isConnected[i][j] == 1) p[find(i)] = find(j);int cnt = 0;for (int i = 0; i < n; i++)if (p[i] == i) cnt++;return cnt;}
};

References

[1] https://leetcode.cn/leetbook/read/disjoint-set/oviefi/
[2] https://oi-wiki.org/ds/dsu/
[3] https://www.acwing.com/activity/content/punch_the_clock/11/

相关内容

热门资讯

苗族的传统节日 贵州苗族节日有... 【岜沙苗族芦笙节】岜沙,苗语叫“分送”,距从江县城7.5公里,是世界上最崇拜树木并以树为神的枪手部落...
北京的名胜古迹 北京最著名的景... 北京从元代开始,逐渐走上帝国首都的道路,先是成为大辽朝五大首都之一的南京城,随着金灭辽,金代从海陵王...
蓝色爱心是什么意思 女生给男生... 人类是由男女两种性别组成的,两性之间的话题永远都有着最高的热度,而爱心常常用来比喻沐浴在爱情中男女彼...
长白山自助游攻略 吉林长白山游... 昨天介绍了西坡的景点详细请看链接:一个人的旅行,据说能看到长白山天池全凭运气,您的运气如何?今日介绍...
应用未安装解决办法 平板应用未... ---IT小技术,每天Get一个小技能!一、前言描述苹果IPad2居然不能安装怎么办?与此IPad不...
脚上的穴位图 脚面经络图对应的... 人体穴位作用图解大全更清晰直观的标注了各个人体穴位的作用,包括头部穴位图、胸部穴位图、背部穴位图、胳...
demo什么意思 demo版本... 618快到了,各位的小金库大概也在准备开闸放水了吧。没有小金库的,也该向老婆撒娇卖萌服个软了,一切只...
猫咪吃了塑料袋怎么办 猫咪误食... 你知道吗?塑料袋放久了会长猫哦!要说猫咪对塑料袋的喜爱程度完完全全可以媲美纸箱家里只要一有塑料袋的响...
世界上最漂亮的人 世界上最漂亮... 此前在某网上,选出了全球265万颜值姣好的女性。从这些数量庞大的女性群体中,人们投票选出了心目中最美...
苗族的传统节日 贵州苗族节日有... 【岜沙苗族芦笙节】岜沙,苗语叫“分送”,距从江县城7.5公里,是世界上最崇拜树木并以树为神的枪手部落...
北京的名胜古迹 北京最著名的景... 北京从元代开始,逐渐走上帝国首都的道路,先是成为大辽朝五大首都之一的南京城,随着金灭辽,金代从海陵王...
白皮书是什么意思 新疆7个白皮... 国务院新闻办公室今天(21日)发表《新疆的若干历史问题》白皮书。全文如下:新疆的若干历史问题(201...
应用未安装解决办法 平板应用未... ---IT小技术,每天Get一个小技能!一、前言描述苹果IPad2居然不能安装怎么办?与此IPad不...
脚上的穴位图 脚面经络图对应的... 人体穴位作用图解大全更清晰直观的标注了各个人体穴位的作用,包括头部穴位图、胸部穴位图、背部穴位图、胳...
长白山自助游攻略 吉林长白山游... 昨天介绍了西坡的景点详细请看链接:一个人的旅行,据说能看到长白山天池全凭运气,您的运气如何?今日介绍...
demo什么意思 demo版本... 618快到了,各位的小金库大概也在准备开闸放水了吧。没有小金库的,也该向老婆撒娇卖萌服个软了,一切只...
猫咪吃了塑料袋怎么办 猫咪误食... 你知道吗?塑料袋放久了会长猫哦!要说猫咪对塑料袋的喜爱程度完完全全可以媲美纸箱家里只要一有塑料袋的响...
世界上最漂亮的人 世界上最漂亮... 此前在某网上,选出了全球265万颜值姣好的女性。从这些数量庞大的女性群体中,人们投票选出了心目中最美...