


在光照射下 ,电子从金属表面逸出的现象,叫光电效应. 逸出的电子,叫光电子
经典理论:
- 光电流值与入射光强成正比
- 截止频率(红限)v0
对某种金属来说,只有入射光的频率大于某一频率0时,电子才会从金属表面逸出.截止频率与材料有关,与光强无关- 遏止电势差:使光电流降为零所外加的反向电势差称为遏止电势差U0,对不同的金属,U0的量值不同
- 瞬时性

康普顿在观察X射线被物质散射时,发现散射线中含有波长发生了变化的成分——散射束中除了有与入射束波长 λ0 相同的射线,还有波长 λ > λ0 的射线
入射光子与散射物质中束缚微弱的电子弹性碰撞时,一部分能量传给电子,散射光子能量减少,频率下降、波长变大
光子与原子中束缚很紧的电子发生碰撞,近似与整个原子发生弹性碰撞时,能量不会显著减小,所以散射束中出现与入射光波长相同的射线
微观粒子的相互作用也遵守能量守恒和动量守恒定律














天狼星的温度大约是 11 000C.试由维恩位移定律计算其辐射峰值的波长

用辐射高温计测得炼钢炉口的辐射出射度为22.8 w·cm-2,试求炉内温度

钾的截止频率为4.62x10Hz今以波长为435.8nm的光照射求钾放出的光电子的初速度

注意 W 是hv0
入射光的频率要用光速除以波长




这个题的辐射角,我也没有搞得很清楚




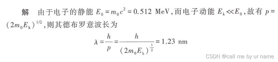
应该不会考的吧,还要知道电子的静能


没搜到过程,但就是用德布罗意公式即可



