回归分析(2) 一元回归模型
创始人
2024-05-27 18:43:05

        如上所述,为了易于确定回归函数μ(x)中的未知参数,我们来讨论变量Y与x之间存在着线性相关关系的情形

 散布在某一条直线的周围.于是,我们可以用线性回归方程

 来描述Y与x之间的相关关系,并假设相应的误差(称为随机误差)

 服从正态分布N(0,\sigma^2),其中a,b,\sigma^2 都是不依赖于x的未知参数,参数b 称为回归系数

        对Y作这样的假设, 相当于假设对于x (在某个区间内)的每一个值,都有

 于是对x 与Y的每一组独立试验(或样本)

 也有

 式(5. 8)或式(5.10)称为一元(正态)线性回归模型.若将试验观测值(5.6)代入,则
可获得随机误差\varepsilon _i的一组观测值

 对于一元线性回归模型,需要研究下面几个问题:

(1)根据样本(5. 9)估计参数a,b,\sigma^2,从而建立线性回归模型;

(2)线性相关关系的显著性检验;

(3)利用所获得的线性回归模型对变量Y的取值进行预测.

1.参数a,b 的无偏估计及其分布

对于一元线性回归模型(5. 10),这时的离差平方和(5.4)为

为了使s取得最小值,按最小二乘法,分别求s对a及b的偏导,有

 令这两个偏导数为零,得

 

 整理,得

 或者

 其中

 分别为样本的各种矩,方程组(5. 13) 或方程组(5. 14) 称为正规方程(组).解此正规
方程可得a与b的估计值(分别记作\widehat{a}\widehat{b})

 其中

x_1,x_2,...,x_n的二阶中心矩.

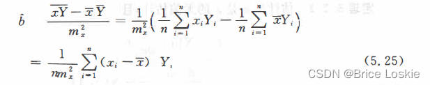
``       与式(5.16)相对应的估计量可表示为

 

 作为正规方程的解,估计量a与b自然应满足正规方程(5. 13)和方程组(5.14),即

 或

 这时残差平方和(即s的最小值)可表示为

 将通过式(5. 16)计算得到的a 与b 的值代入方程(5.7),就可得到Y对x 的(经验)线性回归方程

 和相应的回归值(或拟合值)

 方程(5.22)的图形称为(经验)线性回归直线.

 

 该式表明,经验回归直线过由点集(5.6)构成的散点图的几何中心(\overline{x},\overline{y})

        下面讨论估计量\widehat{b}的分布.由估计量(5.18)的第一式知

所以\widehat{b}是随机变量Y_1,Y_2,..,Y_n的线性组合.再注意到x_i(i = 1,2,...,n)的非随机
性及Y1 ,Y2, …,Y"是独立的正态随机变量,且

 

 则可知\widehat{b}也服从正态分布,且有

 故\widehat{b}是b的无偏估计.同样,我们可算得

 

 这样,我们已经证明并获得了

定理5.2.1 在上述记号下,估计量\widehat{b}是b的无偏估计,且

 其中

 同理可证

是a的无偏估计(见习题5.1,由读者自己证明),并且有下述定理.

定理5.2.2 估计量\widehat{a}是a的无偏估计,且

5.2.2 参数\sigma^2的无偏估计及其分布

        为了获得\sigma^2的无偏估计,我们作离差分解

 

 由式(5. 19)知上式的最后两个和式均为0,故有

 其中右端第一项正是式(5. 21)定义的残差平方和

于是我们得到

 其中右端三项的自由度分别为又由于

 且相互独立,故由定理1. 2. 2可得如下的定理.

 定理5.2.3 在上述记号下, S_E,\overline{Y},\widehat{b}相互独立且

 由于卡方分布的期望是它的自由度,故由式(5. 32)

从而

 因此

 是\sigma^2的无偏估计.在此记号下,定理5.2. 3又可改写成如下形式.

2. 一元线性回归参数的计算

为了计算无偏估计\sigma^2,将

 代入式(5.33),得

 再注意到式(5.18)的第一式,有

 并引进计算器容易获得其值的二阶中心矩的记号

 则有

 式(5.38)中的\sigma^2,\widehat{a},\widehat{b},也可利用表5.1及计算器的统计功能方便地获得.

例题

 

 

相关内容

热门资讯

北京的名胜古迹 北京最著名的景... 北京从元代开始,逐渐走上帝国首都的道路,先是成为大辽朝五大首都之一的南京城,随着金灭辽,金代从海陵王...
苗族的传统节日 贵州苗族节日有... 【岜沙苗族芦笙节】岜沙,苗语叫“分送”,距从江县城7.5公里,是世界上最崇拜树木并以树为神的枪手部落...
怎么样的桃花 桃花近看远看的样... 今年的“三八”妇女节,阳光明媚,踏青赏花正当时。遂与姐妹们共赴十里蓝山,与花海来一场春天的约会。十里...
长白山自助游攻略 吉林长白山游... 昨天介绍了西坡的景点详细请看链接:一个人的旅行,据说能看到长白山天池全凭运气,您的运气如何?今日介绍...
应用未安装解决办法 平板应用未... ---IT小技术,每天Get一个小技能!一、前言描述苹果IPad2居然不能安装怎么办?与此IPad不...
脚上的穴位图 脚面经络图对应的... 人体穴位作用图解大全更清晰直观的标注了各个人体穴位的作用,包括头部穴位图、胸部穴位图、背部穴位图、胳...
猫咪吃了塑料袋怎么办 猫咪误食... 你知道吗?塑料袋放久了会长猫哦!要说猫咪对塑料袋的喜爱程度完完全全可以媲美纸箱家里只要一有塑料袋的响...
世界上最漂亮的人 世界上最漂亮... 此前在某网上,选出了全球265万颜值姣好的女性。从这些数量庞大的女性群体中,人们投票选出了心目中最美...
demo什么意思 demo版本... 618快到了,各位的小金库大概也在准备开闸放水了吧。没有小金库的,也该向老婆撒娇卖萌服个软了,一切只...
苗族的传统节日 贵州苗族节日有... 【岜沙苗族芦笙节】岜沙,苗语叫“分送”,距从江县城7.5公里,是世界上最崇拜树木并以树为神的枪手部落...
怎么样的桃花 桃花近看远看的样... 今年的“三八”妇女节,阳光明媚,踏青赏花正当时。遂与姐妹们共赴十里蓝山,与花海来一场春天的约会。十里...
北京的名胜古迹 北京最著名的景... 北京从元代开始,逐渐走上帝国首都的道路,先是成为大辽朝五大首都之一的南京城,随着金灭辽,金代从海陵王...
长白山自助游攻略 吉林长白山游... 昨天介绍了西坡的景点详细请看链接:一个人的旅行,据说能看到长白山天池全凭运气,您的运气如何?今日介绍...
应用未安装解决办法 平板应用未... ---IT小技术,每天Get一个小技能!一、前言描述苹果IPad2居然不能安装怎么办?与此IPad不...
脚上的穴位图 脚面经络图对应的... 人体穴位作用图解大全更清晰直观的标注了各个人体穴位的作用,包括头部穴位图、胸部穴位图、背部穴位图、胳...
demo什么意思 demo版本... 618快到了,各位的小金库大概也在准备开闸放水了吧。没有小金库的,也该向老婆撒娇卖萌服个软了,一切只...
世界上最漂亮的人 世界上最漂亮... 此前在某网上,选出了全球265万颜值姣好的女性。从这些数量庞大的女性群体中,人们投票选出了心目中最美...
猫咪吃了塑料袋怎么办 猫咪误食... 你知道吗?塑料袋放久了会长猫哦!要说猫咪对塑料袋的喜爱程度完完全全可以媲美纸箱家里只要一有塑料袋的响...