【蓝桥杯】简单数论4——丢番图方程
创始人
2024-05-28 08:42:05

1、二元线性丢番图方程

方程ax +by = c被称为二元线性丢番图方程,其中a、b、c是已知整数,x、y是变量,问是否有整数解
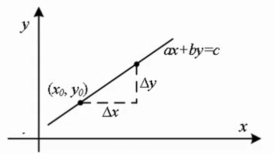
ax + by= c实际上是二维x-y平面上的一条直线,这条直线上如果有整数坐标点,方程就有解,如果没有整数坐标点,就无解。

 如果存在一个解,就有无穷多个解。

1.1有解的判断条件和通解的形式

定理:设a,b是整数gcd(a, b)=d。如果d不能整除c,那么方程ax + by=c没有整数解,如果d能整除c,那么存在无穷多个整数解。

解释:令a=da',b= db';有ax+by = d(a' x +b'y)=c;如果x、y、a'、b'都是整数,那么c必须是d =gcd(a, b)的倍数,才有整数解

如果(x_0,y_0)是方程的一个特解,所有的解(通解)可的形式x=x_0 +(b/d)n,y= y_0 - (a/d)n,其中n是任意整数。

 

说明: x值按b/d递增,y值按- a/d递增。设(x_0,y_0)是一个格点(格点是指x、y坐标均为整数的点),移动到直线上另一个点(x_0+\Delta x,y_0+\Delta y),有a\Delta x+b\Delta y=0。△x和Ay必须是整数,(x_0+\Delta x,y_0+\Delta y)才是另一个格点。  

\Delta x最小是多少?因为a/d与b/d互素,只有\Delta x = b/d,\Delta y =- a/d时,\Delta x\Delta y才是整数,并满足a\Delta x +b\Delta y = 0。 

定理概况为: ax + by= c有解的充分必要条件d = gcd(a, b)能整除c

例:
(1)方程18x + 3y = 7没有整数解,因为gcd(18,3) = 3,3不能整除7;

(2)方程25x + 15y = 70存在无穷个解,因为gcd(25,15)= 5且5整除70,一个特解是x_0=4,y_0 = -2,通解是x=4 + 3n,y = -2- 5n

1.2例题一:线段上的格点数量

【题目描述】在二维平面上,给定两个格点p_1=(x_1,y_1)p_2=(x_2,y_2),问线段p_1p_2上除了p_1,p_2外还有几个格点?设x_1< x_2

【思路】
首先利用p_1,p_2把线段表示为方程ax + by = c的形式,它肯定有整数解。
然后在线段范围内,根据x的通解的表达式x = x_0+ (b/d)n,当x_1<x<x_2时,求出n的取值情况有多少个,这就是线段内的格点数量。

计算步骤:

(1)、用p_1(x_1,y_1)p_2(x_2,y_2)表示线段,线段表示为:

(y_2-y_1)x + (x_1-x_2)y = y_2x_1-y_1x_2

(2)、对照ax + by = c,得:
a = y_2-y_1, b = x1_-x_2,c = y_2x_1-y_1x_2

d = gcd(a,b) = gcd(\left | y_2-y_1 \right |,\left |x1-x2 \right |)

(3)、对照通解公式x = x_0+ (b/d)nn,令特解是x,代入限制条件x_1<x<x_2,有:
x_1< x+((x_1-x_2)/d)n < x2

当-d < n< 0时满足上面的表达式,此时n有d-1种取值,即线段内有d-1个格点。

2、方程的特解与扩展欧几里得算法

求解方程ax + by = c的关键是找到一个特解
根据定理的描述,解和求GCD有关;
求特解用到了欧几里得求GCD的思路,称为扩展欧几里得算法

2.1扩展欧几里得算法

方程ax + by = gcd(a, b),根据定理,它有整数解
定理:设a, b是整数且gcd(a, b)=d。如果d不能整除c,那么方程ax + by=c没有整数解,如果d能整除c,那么存在无穷多个整数解。
扩展欧几里得算法求一个特解(x_0,y_0)的代码:

def exgcd(a,b):if b == 0:return 1, 0x,y = exgcd(b,a % b)return y, x - a // b * y    # 返回特解xo,yo
a,b = map (int,input ().split())#   试试6x+15y=3
x,y = exgcd (a,b)#计算得到特解
print(x, y)

2.2扩展欧几里得算法与方程ax+by=c的特解

用扩展欧几里得算法得到ax +by =ged(a,b)的一个特解后,再利用它求方程ax +by= c的一个特解。步骤如下:
(1)判断方程ax +by = c是否有整数解,即gcd(a,b)能整除c。记d= gcd(a,b)。
(2)用扩展欧几里得算法求ax + by = d的一个特解x_0,y_0
(3)在ax_0 + by_0= d两边同时乘以c/d,得: ax_0c/d + by_0c/d=c(目的是构造c,这样和ax + by= d就能消掉c)

(4)对照ax +by =c,得到它的一个解(x_0',y_0')是:x_0'= x_0c/d,y_0'= y_0c/d

(5)方程ax + by = c的通解x=x_0'+ (b/d)n,y =y_0' - (a/d)n

 

相关内容

热门资讯

北京的名胜古迹 北京最著名的景... 北京从元代开始,逐渐走上帝国首都的道路,先是成为大辽朝五大首都之一的南京城,随着金灭辽,金代从海陵王...
苗族的传统节日 贵州苗族节日有... 【岜沙苗族芦笙节】岜沙,苗语叫“分送”,距从江县城7.5公里,是世界上最崇拜树木并以树为神的枪手部落...
怎么样的桃花 桃花近看远看的样... 今年的“三八”妇女节,阳光明媚,踏青赏花正当时。遂与姐妹们共赴十里蓝山,与花海来一场春天的约会。十里...
长白山自助游攻略 吉林长白山游... 昨天介绍了西坡的景点详细请看链接:一个人的旅行,据说能看到长白山天池全凭运气,您的运气如何?今日介绍...
应用未安装解决办法 平板应用未... ---IT小技术,每天Get一个小技能!一、前言描述苹果IPad2居然不能安装怎么办?与此IPad不...
脚上的穴位图 脚面经络图对应的... 人体穴位作用图解大全更清晰直观的标注了各个人体穴位的作用,包括头部穴位图、胸部穴位图、背部穴位图、胳...
猫咪吃了塑料袋怎么办 猫咪误食... 你知道吗?塑料袋放久了会长猫哦!要说猫咪对塑料袋的喜爱程度完完全全可以媲美纸箱家里只要一有塑料袋的响...
世界上最漂亮的人 世界上最漂亮... 此前在某网上,选出了全球265万颜值姣好的女性。从这些数量庞大的女性群体中,人们投票选出了心目中最美...
demo什么意思 demo版本... 618快到了,各位的小金库大概也在准备开闸放水了吧。没有小金库的,也该向老婆撒娇卖萌服个软了,一切只...
苗族的传统节日 贵州苗族节日有... 【岜沙苗族芦笙节】岜沙,苗语叫“分送”,距从江县城7.5公里,是世界上最崇拜树木并以树为神的枪手部落...
怎么样的桃花 桃花近看远看的样... 今年的“三八”妇女节,阳光明媚,踏青赏花正当时。遂与姐妹们共赴十里蓝山,与花海来一场春天的约会。十里...
北京的名胜古迹 北京最著名的景... 北京从元代开始,逐渐走上帝国首都的道路,先是成为大辽朝五大首都之一的南京城,随着金灭辽,金代从海陵王...
长白山自助游攻略 吉林长白山游... 昨天介绍了西坡的景点详细请看链接:一个人的旅行,据说能看到长白山天池全凭运气,您的运气如何?今日介绍...
应用未安装解决办法 平板应用未... ---IT小技术,每天Get一个小技能!一、前言描述苹果IPad2居然不能安装怎么办?与此IPad不...
脚上的穴位图 脚面经络图对应的... 人体穴位作用图解大全更清晰直观的标注了各个人体穴位的作用,包括头部穴位图、胸部穴位图、背部穴位图、胳...
demo什么意思 demo版本... 618快到了,各位的小金库大概也在准备开闸放水了吧。没有小金库的,也该向老婆撒娇卖萌服个软了,一切只...
世界上最漂亮的人 世界上最漂亮... 此前在某网上,选出了全球265万颜值姣好的女性。从这些数量庞大的女性群体中,人们投票选出了心目中最美...
猫咪吃了塑料袋怎么办 猫咪误食... 你知道吗?塑料袋放久了会长猫哦!要说猫咪对塑料袋的喜爱程度完完全全可以媲美纸箱家里只要一有塑料袋的响...