
欢迎交流学习~~
LeetCode & Python 系列:
🏆 Python | Leetcode刷题日寄Part01
🔎 Python | Leetcode刷题日寄Part02
💝 Python | Leetcode刷题日寄Part03
✈️ Python | Leetcode刷题日寄Part04
题目描述:
给定一个二叉树的根节点 root ,返回 它的 中序 遍历 。
示例:

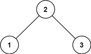
输入:root = [1,null,2,3]
输出:[1,3,2]
题解:
# 递归
# Definition for a binary tree node.
# class TreeNode:
# def __init__(self, val=0, left=None, right=None):
# self.val = val
# self.left = left
# self.right = right
class Solution:def inorderTraversal(self, root: Optional[TreeNode]) -> List[int]:if not root:return []return self.inorderTraversal(root.left) + [root.val] + self.inorderTraversal(root.right)
题目描述:
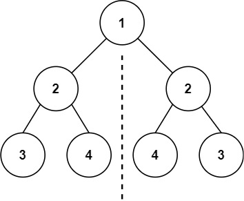
给你一个二叉树的根节点 root , 检查它是否轴对称。
示例:

输入:root = [1,2,2,3,4,4,3]
输出:true
题解:
# 递归
class Solution:def isSymmetric(self, root: TreeNode) -> bool:if not root:return Truereturn self.compare(root.left, root.right)def compare(self, left, right):# 首先排除空节点的情况if left == None and right != None: return Falseelif left != None and right == None: return Falseelif left == None and right == None: return True# 排除了空节点,再排除数值不相同的情况elif left.val != right.val: return False# 此时就是:左右节点都不为空,且数值相同的情况# 此时才做递归,做下一层的判断# 左子树:左、 右子树:右outside = self.compare(left.left, right.right)# 左子树:右、 右子树:左inside = self.compare(left.right, right.left)# 左子树:中、 右子树:中 (逻辑处理)isSame = outside and inside return isSame
题目描述:
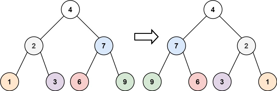
给你一棵二叉树的根节点 root ,翻转这棵二叉树,并返回其根节点。
示例:

输入:root = [4,2,7,1,3,6,9]
输出:[4,7,2,9,6,3,1]
题解:
# 递归
# Definition for a binary tree node.
# class TreeNode:
# def __init__(self, val=0, left=None, right=None):
# self.val = val
# self.left = left
# self.right = right
class Solution:def invertTree(self, root: Optional[TreeNode]) -> Optional[TreeNode]:if not root: return roottemp = root.leftroot.left = self.invertTree(root.right)root.right = self.invertTree(temp)return root
题目描述:
给你一个二叉树的根节点 root ,判断其是否是一个有效的二叉搜索树。
有效 二叉搜索树定义如下:
示例:

输入:root = [2,1,3]
输出:true
题解:
# 递归
# Definition for a binary tree node.
# class TreeNode:
# def __init__(self, val=0, left=None, right=None):
# self.val = val
# self.left = left
# self.right = right
class Solution:def isValidBST(self, root: TreeNode) -> bool:self.pre = Nonedef isBST(root):if not root:return Trueif not isBST(root.left):return Falseif self.pre and self.pre.val >= root.val:return Falseself.pre = root#print(root.val)return isBST(root.right)return isBST(root)
题目描述:
给你一个由 1(陆地)和 0(水)组成的的二维网格,请你计算网格中岛屿的数量。
岛屿总是被水包围,并且每座岛屿只能由水平方向和/或竖直方向上相邻的陆地连接形成。
此外,你可以假设该网格的四条边均被水包围。
示例:
输入:
grid = [["1","1","1","1","0"],["1","1","0","1","0"],["1","1","0","0","0"],["0","0","0","0","0"]
]
输出:1
题解:
# 递归,dfs
class Solution:def dfs(self, grid, r, c):grid[r][c] = 0nr, nc = len(grid), len(grid[0])for x, y in [(r - 1, c), (r + 1, c), (r, c - 1), (r, c + 1)]:if 0 <= x < nr and 0 <= y < nc and grid[x][y] == "1":self.dfs(grid, x, y)def numIslands(self, grid: List[List[str]]) -> int:nr = len(grid)if nr == 0:return 0nc = len(grid[0])num_islands = 0for r in range(nr):for c in range(nc):if grid[r][c] == "1":num_islands += 1self.dfs(grid, r, c)return num_islands
题目描述:
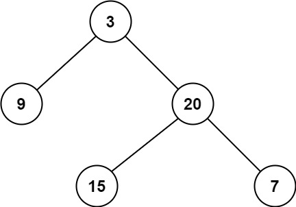
给定一个二叉树,找出其最小深度。
最小深度是从根节点到最近叶子节点的最短路径上的节点数量。
说明:叶子节点是指没有子节点的节点。
示例:

输入:root = [3,9,20,null,null,15,7]
输出:2
题解:
# 递归,dfs
# Definition for a binary tree node.
# class TreeNode:
# def __init__(self, val=0, left=None, right=None):
# self.val = val
# self.left = left
# self.right = right
class Solution:def minDepth(self, root: TreeNode) -> int:if not root:return 0if not root.left and not root.right:return 1min_depth = 10**9if root.left:min_depth = min(self.minDepth(root.left), min_depth)if root.right:min_depth = min(self.minDepth(root.right), min_depth)return min_depth + 1
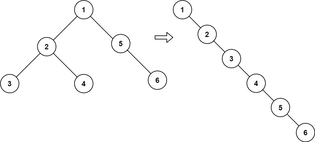
题目描述:
给你二叉树的根结点 root ,请你将它展开为一个单链表:
展开后的单链表应该同样使用 TreeNode ,其中 right 子指针指向链表中下一个结点,而左子指针始终为 null 。
展开后的单链表应该与二叉树 先序遍历 顺序相同。
示例:

输入:root = [1,2,5,3,4,null,6]
输出:[1,null,2,null,3,null,4,null,5,null,6]
题解:
# Definition for a binary tree node.
# class TreeNode:
# def __init__(self, val=0, left=None, right=None):
# self.val = val
# self.left = left
# self.right = rightclass Solution:def flatten(self, root):while root:if root.left: # 左子树存在的话才进行操作sub_left = root.leftwhile sub_left.right: # 左子树的右子树找到最深sub_left = sub_left.rightsub_left.right = root.right # 将root的右子树挂到左子树的右子树的最深root.right = root.left # 将root的左子树挂到右子树root.left = None # 将root左子树清空root = root.right # 继续下一个节点的操作
题目描述:
给你二叉树的根节点 root ,返回它节点值的 前序 遍历。
示例:

输入:root = [1,null,2,3]
输出:[1,2,3]
题解:
# 递归
# Definition for a binary tree node.
# class TreeNode:
# def __init__(self, val=0, left=None, right=None):
# self.val = val
# self.left = left
# self.right = right
class Solution:def preorderTraversal(self, root: Optional[TreeNode]) -> List[int]:if not root:return []return [root.val] + self.preorderTraversal(root.left) + self.preorderTraversal(root.right)
题目描述:
给你两棵二叉树的根节点 p 和 q,编写一个函数来检验这两棵树是否相同。
如果两个树在结构上相同,并且节点具有相同的值,则认为它们是相同的。
示例:

输入:p = [1,2,3], q = [1,2,3]
输出:true
题解:
# 递归
# Definition for a binary tree node.
# class TreeNode:
# def __init__(self, val=0, left=None, right=None):
# self.val = val
# self.left = left
# self.right = right
class Solution:def isSameTree(self, p: TreeNode, q: TreeNode) -> bool:if not p and not q: return Trueelif not p or not q: return Falseelif p.val != q.val: return Falsereturn self.isSameTree(p.left, q.left) and self.isSameTree(p.right, q.right)
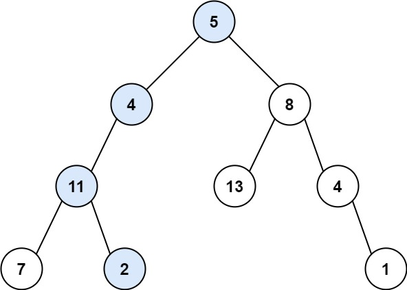
题目描述:
给你二叉树的根节点 root 和一个表示目标和的整数 targetSum 。判断该树中是否存在 根节点到叶子节点 的路径,这条路径上所有节点值相加等于目标和 targetSum 。如果存在,返回 true ;否则,返回 false 。
叶子节点 是指没有子节点的节点。
示例:

输入:root = [5,4,8,11,null,13,4,7,2,null,null,null,1], targetSum = 22
输出:true
解释:等于目标和的根节点到叶节点路径如上图所示。
题解:
# 递归
# Definition for a binary tree node.
# class TreeNode:
# def __init__(self, val=0, left=None, right=None):
# self.val = val
# self.left = left
# self.right = right
class Solution:def hasPathSum(self, root: Optional[TreeNode], targetSum: int) -> bool:# 如果树为空,返回 Falseif root == None:return False# 如果当前节点为叶子节点,且叶子节点的值等于减去该路径之前节点的值,返回 Trueif root.left == None and root.right == None and root.val == targetSum:return True# 递归左子树leftPath = self.hasPathSum(root.left, targetSum - root.val)# 递归右子树rightPath = self.hasPathSum(root.right, targetSum - root.val)return leftPath or rightPath