量子计算(八):观测量和计算基下的测量
创始人
2024-05-28 21:23:05

文章目录

观测量和计算基下的测量

一、观测量

二、计算基下的测量

三、投影测量


观测量和计算基下的测量

一、观测量

量子比特(qubit)不同于经典的比特(bit),一个量子比特|\psi>可以同时处于|0>和|1>两个状态,可用线性代数中的线性组合(linear combination)来表示为

在量子力学中常称量子比特|\psi>处于|0>和|1>的叠加态(superpositions),其中\alpha\beta都是复数(complex number),两维复向量空间的一组标准正交基(orthonormal basis)|0>和|1>组成一组计算基(computational basis)。

量子比特的信息不能直接获取,而是通过测量来获取量子比特的可观测的信息。可观测量在量子理论中由自伴算子(self-adjoint operators)来表征,自伴的有时也称Hermitian。量子理论中的可观测量与经典力学中的动力学量,如位置、动量和角动量等对应,而系统的其他特征,如质量或电荷,并不在可观测量的类别之中,它是作为参数被引入到系统的哈密顿量(Hamiltonian)。

在量子力学中测量(measure)会导坍塌,即是说测量会影响到原来的量子状态,因此量子状态的全部信息不可能通过一次测量得到。当对量子比特进行测量时,仅能得到该量子比特概率\left | \alpha \right |^{2}处在|0>态,或概率\left | \beta \right |^{2}处在|1>态。由于所有情况的概率和为1,则有\left | \alpha \right |^{2} + \left | \beta \right |^{2} = 1

当对量子进行测量时,会发生什么变化呢?

假设:量子测量是由测量算子(measurement operators)的集合\left \{ M_{i} \right \}来描述,这些算子可以作用在待测量系统的状态空间(state space)上。指标(index)^{i}表示在实验上可能发生的结果。如果测量前的量子系统处在最新状态|\psi>,那么结果​​​​​​​发生的概率为

 并且测量后的系统状态变为

由于所有可能情况的概率和为1,即

 因此,测量算子需满足

 

该方程被称为完备性方程(completeness equation)。

二、计算基下的测量

在计算基下单量子比特的测量,单量子比特在计算基下有两个测量算子分别是。注意到这两个测量算子都是自伴的,即

 

因此

该测量算子满足完备性方程。

设系统被测量时的状态是,则测量结果为0的概率为

对应测量后的状态为

测量结果为1的概率为

测量后的状态为

 

量子测量有很多种方式,比如投影测量(projective measurements)、POVM 测量(Positive Operator-Valued Measure)。

三、投影测量

为什么要介绍投影测量呢?因为当测量算子具有酉变换性质时,投影测量和一般测量等价。

投影测量由一个可观测量(observable)\Lambda来描述,可观测量\Lambda是一个待观测系统的状态空间上的自伴算子。可观测量\Lambda可以写成谱分解的形式

这里的P_{i}为在\Lambda的特征值\lambda _{i}对应特征空间上的投影。测量的可能结果对应于可观测量\Lambda的特征值\lambda _{i}。在对状态|\psi>测量之后,得到结果的概率为

若测量后,结果发生,则量子系统最新的状态为 

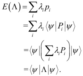
投影测量有一个重要的特征就是很容易计算投影测量的平均值E(\Lambda )

这个公式它能够简化很多计算。观测量\Lambda的平均值通常也记作。因此,观测量\Lambda的标准差(standard deviation)\Delta (\Lambda )满足

标准差是一个刻画典型分散程度的度量。


  • 📢博客主页:https://lansonli.blog.csdn.net
  • 📢欢迎点赞 👍 收藏 ⭐留言 📝 如有错误敬请指正!
  • 📢本文由 Lansonli 原创,首发于 CSDN博客🙉
  • 📢停下休息的时候不要忘了别人还在奔跑,希望大家抓紧时间学习,全力奔赴更美好的生活✨

相关内容

热门资讯

长白山自助游攻略 吉林长白山游... 昨天介绍了西坡的景点详细请看链接:一个人的旅行,据说能看到长白山天池全凭运气,您的运气如何?今日介绍...
世界上最漂亮的人 世界上最漂亮... 此前在某网上,选出了全球265万颜值姣好的女性。从这些数量庞大的女性群体中,人们投票选出了心目中最美...
脚上的穴位图 脚面经络图对应的... 人体穴位作用图解大全更清晰直观的标注了各个人体穴位的作用,包括头部穴位图、胸部穴位图、背部穴位图、胳...
demo什么意思 demo版本... 618快到了,各位的小金库大概也在准备开闸放水了吧。没有小金库的,也该向老婆撒娇卖萌服个软了,一切只...
猫咪吃了塑料袋怎么办 猫咪误食... 你知道吗?塑料袋放久了会长猫哦!要说猫咪对塑料袋的喜爱程度完完全全可以媲美纸箱家里只要一有塑料袋的响...
苗族的传统节日 贵州苗族节日有... 【岜沙苗族芦笙节】岜沙,苗语叫“分送”,距从江县城7.5公里,是世界上最崇拜树木并以树为神的枪手部落...
北京的名胜古迹 北京最著名的景... 北京从元代开始,逐渐走上帝国首都的道路,先是成为大辽朝五大首都之一的南京城,随着金灭辽,金代从海陵王...
怎么样的桃花 桃花近看远看的样... 今年的“三八”妇女节,阳光明媚,踏青赏花正当时。遂与姐妹们共赴十里蓝山,与花海来一场春天的约会。十里...
应用未安装解决办法 平板应用未... ---IT小技术,每天Get一个小技能!一、前言描述苹果IPad2居然不能安装怎么办?与此IPad不...
长白山自助游攻略 吉林长白山游... 昨天介绍了西坡的景点详细请看链接:一个人的旅行,据说能看到长白山天池全凭运气,您的运气如何?今日介绍...
世界上最漂亮的人 世界上最漂亮... 此前在某网上,选出了全球265万颜值姣好的女性。从这些数量庞大的女性群体中,人们投票选出了心目中最美...
猫咪吃了塑料袋怎么办 猫咪误食... 你知道吗?塑料袋放久了会长猫哦!要说猫咪对塑料袋的喜爱程度完完全全可以媲美纸箱家里只要一有塑料袋的响...
脚上的穴位图 脚面经络图对应的... 人体穴位作用图解大全更清晰直观的标注了各个人体穴位的作用,包括头部穴位图、胸部穴位图、背部穴位图、胳...
demo什么意思 demo版本... 618快到了,各位的小金库大概也在准备开闸放水了吧。没有小金库的,也该向老婆撒娇卖萌服个软了,一切只...
苗族的传统节日 贵州苗族节日有... 【岜沙苗族芦笙节】岜沙,苗语叫“分送”,距从江县城7.5公里,是世界上最崇拜树木并以树为神的枪手部落...
北京的名胜古迹 北京最著名的景... 北京从元代开始,逐渐走上帝国首都的道路,先是成为大辽朝五大首都之一的南京城,随着金灭辽,金代从海陵王...
怎么样的桃花 桃花近看远看的样... 今年的“三八”妇女节,阳光明媚,踏青赏花正当时。遂与姐妹们共赴十里蓝山,与花海来一场春天的约会。十里...
应用未安装解决办法 平板应用未... ---IT小技术,每天Get一个小技能!一、前言描述苹果IPad2居然不能安装怎么办?与此IPad不...
长白山自助游攻略 吉林长白山游... 昨天介绍了西坡的景点详细请看链接:一个人的旅行,据说能看到长白山天池全凭运气,您的运气如何?今日介绍...