
目录
1. 正则表达式匹配 ★★★
2. 寻找旋转排序数组中的最小值 II ★★★
3. 删除排序链表中的重复元素 II ★★
给你一个字符串 s 和一个字符规律 p,请你来实现一个支持 '.' 和 '*' 的正则表达式匹配。
'.' 匹配任意单个字符'*' 匹配零个或多个前面的那一个元素所谓匹配,是要涵盖 整个 字符串 s的,而不是部分字符串。
示例 1:
输入:s = "aa" p = "a" 输出:false 解释:"a" 无法匹配 "aa" 整个字符串。
示例 2:
输入:s = "aa" p = "a*" 输出:true 解释:因为 '*' 代表可以匹配零个或多个前面的那一个元素, 在这里前面的元素就是 'a'。因此,字符串 "aa" 可被视为 'a' 重复了一次。
示例 3:
输入:s = "ab" p = ".*" 输出:true 解释:".*" 表示可匹配零个或多个('*')任意字符('.')。
示例 4:
输入:s = "aab" p = "c*a*b" 输出:true 解释:因为 '*' 表示零个或多个,这里 'c' 为 0 个, 'a' 被重复一次。因此可以匹配字符串 "aab"。
示例 5:
输入:s = "mississippi" p = "mis*is*p*." 输出:false
提示:
0 <= s.length <= 200 <= p.length <= 30s 可能为空,且只包含从 a-z 的小写字母。p 可能为空,且只包含从 a-z 的小写字母,以及字符 . 和 *。* 时,前面都匹配到有效的字符代码:
class Solution:def isMatch(self, s: str, p: str) -> bool:if len(p) == 0:return len(s) == 0head_match = len(s) > 0 and (s[0] == p[0] or p[0] == '.')if len(p) > 1 and p[1] == '*':if head_match and self.isMatch(s[1:], p):return Truereturn self.isMatch(s, p[2:])else:if not head_match:return Falsereturn self.isMatch(s[1:], p[1:])if __name__ == '__main__':sol = Solution()s = "aa"; p = "a"print(sol.isMatch(s,p))s = "aa"; p = "a*"print(sol.isMatch(s,p))s = "ab"; p = ".*"print(sol.isMatch(s,p))s = "aab"; p = "c*a*b"print(sol.isMatch(s,p))s = "mississippi"; p = "mis*is*p*."print(sol.isMatch(s,p))
输出:
False
True
True
True
False
已知一个长度为 n 的数组,预先按照升序排列,经由 1 到 n 次 旋转 后,得到输入数组。例如,原数组 nums = [0,1,4,4,5,6,7] 在变化后可能得到:
4 次,则可以得到 [4,5,6,7,0,1,4]7 次,则可以得到 [0,1,4,4,5,6,7]注意,数组 [a[0], a[1], a[2], ..., a[n-1]] 旋转一次 的结果为数组 [a[n-1], a[0], a[1], a[2], ..., a[n-2]] 。
给你一个可能存在 重复 元素值的数组 nums ,它原来是一个升序排列的数组,并按上述情形进行了多次旋转。请你找出并返回数组中的 最小元素 。
示例 1:
输入:nums = [1,3,5] 输出:1
示例 2:
输入:nums = [2,2,2,0,1] 输出:0
提示:
n == nums.length1 <= n <= 5000-5000 <= nums[i] <= 5000nums 原来是一个升序排序的数组,并进行了 1 至 n 次旋转进阶:
代码:
class Solution:def findMin(self, nums: list) -> int:left = 0right = len(nums) - 1while left < right:mid = left + (right - left) // 2if nums[mid] > nums[right]:left = mid + 1elif nums[mid] == nums[right]:right -= 1else:right = midreturn nums[left]if __name__ == '__main__':s = Solution()nums = [1,3,5]print(s.findMin(nums))nums = [2,2,2,6,1]print(s.findMin(nums))
输出:
1
0
存在一个按升序排列的链表,给你这个链表的头节点 head ,请你删除链表中所有存在数字重复情况的节点,只保留原始链表中 没有重复出现 的数字。
返回同样按升序排列的结果链表。
示例 1:

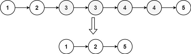
输入:head = [1,2,3,3,4,4,5] 输出:[1,2,5]
示例 2:

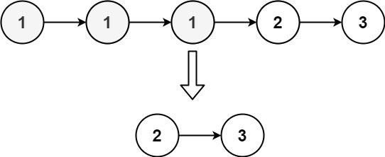
输入:head = [1,1,1,2,3] 输出:[2,3]
提示:
[0, 300] 内-100 <= Node.val <= 100代码:
class ListNode(object):def __init__(self, x):self.val = xself.next = None
class LinkList:def __init__(self):self.head=Nonedef initList(self, data):self.head = ListNode(data[0])r=self.headp = self.headfor i in data[1:]:node = ListNode(i)p.next = nodep = p.nextreturn rdef convert_list(self,head):ret = []if head == None:returnnode = headwhile node != None:ret.append(node.val)node = node.nextreturn ret
class Solution(object):def deleteDuplicates(self, head):""":type head: ListNode:rtype: ListNode"""newnodehead = Nonenewnode = Nonenode = headwhile node:lastval = node.valif node.next and node.next.val == lastval:while node and node.val == lastval:node=node.nextcontinueif not newnodehead:newnode=ListNode(node.val)newnodehead=newnodeelse:newnode.next=ListNode(node.val)newnode=newnode.nextnode = node.nextreturn newnodeheadif __name__ == '__main__':s = Solution()l = LinkList()list1 = [1,2,3,3,4,4,5]l1 = l.initList(list1)print(l.convert_list(s.deleteDuplicates(l1)))list2 = [1,1,1,2,3]l2 = l.initList(list2)print(l.convert_list(s.deleteDuplicates(l2)))
输出:
[1, 2, 5]
[2, 3]
✨ 持续,努力奋斗做强刷题搬运工!
👍 点赞,你的认可是我坚持的动力!
★ 收藏,你的青睐是我努力的方向!
✏️ 评论,你的意见是我进步的财富!
![]() | C/C++ 每日一练 专栏 |
![]() | Python 每日一练 专栏 |