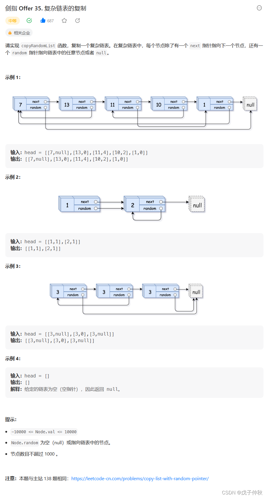
目录
题目:剑指 Offer 35. 复杂链表的复制 - 力扣(Leetcode)
题目的接口:
解题思路:
代码:
过啦!!!
写在最后:

/*
// Definition for a Node.
class Node {
public:int val;Node* next;Node* random;Node(int _val) {val = _val;next = NULL;random = NULL;}
};
*/
class Solution {
public:Node* copyRandomList(Node* head) {}
};
一开始先判断一下链表是否为空,
如果为空,直接返回空就行。
接下来是思路:

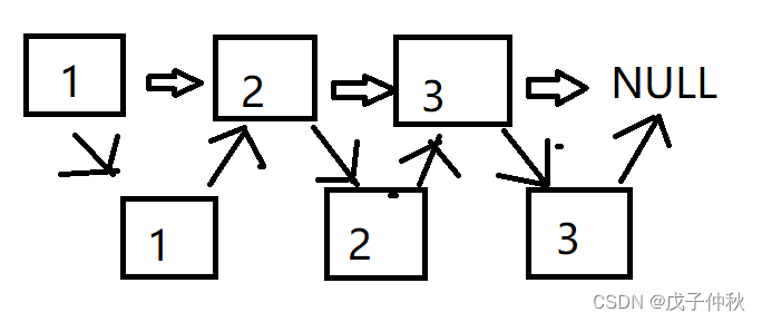
我的思路是通过原链表再复制一个链表:

所以我们的第一步就是循环创建一个链表,

接在原链表上,如上图,
然后,
第二步是将原链表的random指针同样复制到新的链表上,
(改random的图我懒得画了,如果感兴趣可以自己画一画)
最后一步就是将新的链表独立出来,
再让原链表恢复,如下图:

最后再返回新的链表的头结点即可。
代码如下:
/*
// Definition for a Node.
class Node {
public:int val;Node* next;Node* random;Node(int _val) {val = _val;next = NULL;random = NULL;}
};
*/
class Solution {
public:Node* copyRandomList(Node* head) {//判断链表是否为空if(!head){return nullptr;}//复制原链表Node* cur = head;while(cur){//new一个新节点,并初始化valNode* copy = new Node(cur->val);copy->next = cur->next;cur->next = copy;cur = copy->next;}//复制原链表的指针cur = head;while(cur){//如果randam是指向空指针就不用管(因为原本就是空)if(cur->random){cur->next->random = cur->random->next;}cur = cur->next->next;}//将原链表还原,将新链表独立出来Node* newhead = head->next;Node* prev = head;cur = newhead;while(cur->next){//还原原链表prev->next = prev->next->next;prev = prev->next;//独立新链表cur->next = cur->next->next;cur = cur->next;}//新链表的尾prev->next = nullptr;//返回新链表的头return newhead;}
};

以上就是本篇文章的内容了,感谢你的阅读。
如果喜欢本文的话,欢迎点赞和评论,写下你的见解。
如果想和我一起学习编程,不妨点个关注,我们一起学习,一同成长。
之后我还会输出更多高质量内容,欢迎收看。
下一篇:C++常用函数