目录
题目:剑指 Offer 36. 二叉搜索树与双向链表 - 力扣(Leetcode)
题目的接口:
解题思路:
代码:
过啦!!!
写在最后:

/*
// Definition for a Node.
class Node {
public:int val;Node* left;Node* right;Node() {}Node(int _val) {val = _val;left = NULL;right = NULL;}Node(int _val, Node* _left, Node* _right) {val = _val;left = _left;right = _right;}
};
*/
class Solution {
public:Node* treeToDoublyList(Node* root) {}
};
这道题,我的想法就是:
中序遍历这一棵二叉搜索树,
然后让他的头指向尾,尾指向头,
递归让每个节点都做一遍,就形成双向链表。
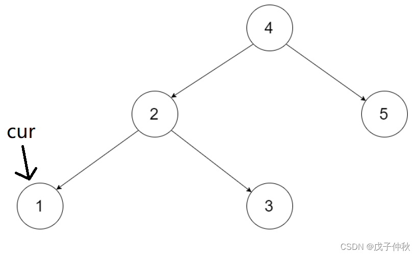
首先中序遍历找到第一个节点cur:

更新头节点,然后让他指向尾节点,
等找到尾节点时,让尾节点再指向头节点:

然后继续找下一个头节点与尾节点互指:

以此类推,
直到中序遍历完整棵二叉搜索树,
最后,再将最开始的头节点head指向最后的尾节点,
最后的尾节点再指向head,
再返回双向链表的头head即可。
/*
// Definition for a Node.
class Node {
public:int val;Node* left;Node* right;Node() {}Node(int _val) {val = _val;left = NULL;right = NULL;}Node(int _val, Node* _left, Node* _right) {val = _val;left = _left;right = _right;}
};
*/
class Solution {
public:Node* treeToDoublyList(Node* root) {//判断树是否为空if(root == nullptr){return nullptr;}//中序遍历dfs(root);//头节点指向尾head->left = pre;//尾节点指向头pre->right = head;return head;}
private://创建头尾节点指针Node* head, *pre;//中序遍历实现void dfs(Node* cur){//遍历到底了,返回上一级if(cur == nullptr){return;}//递归左子树dfs(cur->left);//之后每一次到这里,让尾节点指向头节点if(pre != nullptr){pre->right = cur;}else//第一次到这里的时候,让头指针指向cur(中序遍历第一个节点){head = cur;}//让头节点指向尾节点cur->left = pre;//更新尾节点pre = cur;//递归右子树dfs(cur->right);}
};

以上就是本篇文章的内容了,感谢你的阅读。
如果喜欢本文的话,欢迎点赞和评论,写下你的见解。
如果想和我一起学习编程,不妨点个关注,我们一起学习,一同成长。
之后我还会输出更多高质量内容,欢迎收看。
上一篇:计算机网络:IPv6