
目录
1. 删除有序数组中的重复项 ★
2. 二叉树的最小深度 ★★
3. 只出现一次的数字 II ★★
🌟 每日一练刷题专栏
C/C++ 每日一练 专栏
Python 每日一练 专栏
给你一个有序数组 nums ,请你原地删除重复出现的元素,使每个元素 只出现一次 ,返回删除后数组的新长度。
不要使用额外的数组空间,你必须在原地 修改输入数组 并在使用 O(1) 额外空间的条件下完成。
说明:
为什么返回数值是整数,但输出的答案是数组呢?
请注意,输入数组是以「引用」方式传递的,这意味着在函数里修改输入数组对于调用者是可见的。
你可以想象内部操作如下:
// nums 是以“引用”方式传递的。也就是说,不对实参做任何拷贝
int len = removeDuplicates(nums);
// 在函数里修改输入数组对于调用者是可见的。
// 根据你的函数返回的长度, 它会打印出数组中 该长度范围内 的所有元素。
for (int i = 0; i < len; i++)
{print(nums[i]);
}
示例 1:
输入:nums = [1,1,2] 输出:2 //nums = [1,2]解释:函数应该返回新的长度 2 ,并且原数组 nums 的前两个元素被修改为 1, 2 。不需要考虑数组中超出新长度后面的元素。
示例 2:
输入:nums = [0,0,1,1,1,2,2,3,3,4] 输出:5 //nums = [0,1,2,3,4]解释:函数应该返回新的长度 5 , 并且原数组 nums 的前五个元素被修改为 0, 1, 2, 3, 4 。不需要考虑数组中超出新长度后面的元素。
提示:
0 <= nums.length <= 3 * 10^4-10^4 <= nums[i] <= 10^4nums 已按升序排列代码:
class Solution(object):def removeDuplicates(self, nums):if len(nums) == 0:return 0left = 0for i in range(1, len(nums)):if nums[left] == nums[i]:continueelse:left += 1nums[left] = nums[i]return left + 1# %%
s = Solution()
print(s.removeDuplicates(nums = [1,1,2]))
print(s.removeDuplicates(nums = [0,0,1,1,1,2,2,3,3,4]))
输出:
2
5
给定一个二叉树,找出其最小深度。
最小深度是从根节点到最近叶子节点的最短路径上的节点数量。
说明:叶子节点是指没有子节点的节点。
示例 1:
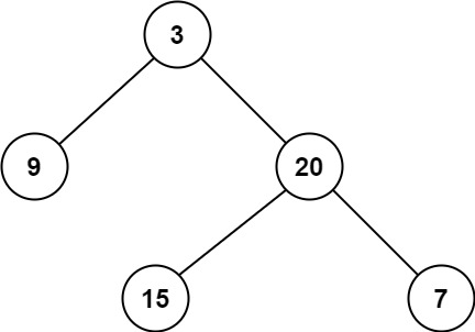
输入:root = [3,9,20,null,null,15,7] 输出:2
示例 2:
输入:root = [2,null,3,null,4,null,5,null,6] 输出:5
提示:
[0, 10^5] 内-1000 <= Node.val <= 1000代码:
class TreeNode:def __init__(self, x):self.val = xself.left = Noneself.right = Noneclass Solution:def minDepth(self, root: TreeNode) -> int:if not root:return 0queue = [root]count = 1while queue:next_queue = []for node in queue:if not node.left and not node.right:return countif node.left:next_queue.append(node.left)if node.right:next_queue.append(node.right)queue = next_queuecount += 1return countdef listToTree(lst: list) -> TreeNode:if not lst:return Noneroot = TreeNode(lst[0])queue = [root]i = 1while i < len(lst):node = queue.pop(0)if lst[i] is not None:node.left = TreeNode(lst[i])queue.append(node.left)i += 1if i < len(lst) and lst[i] is not None:node.right = TreeNode(lst[i])queue.append(node.right)i += 1return rootdef inorderTraversal(root: TreeNode) -> list:if not root:return []res = []res += inorderTraversal(root.left)res.append(root.val)res += inorderTraversal(root.right)return res# %%
s = Solution()
null = Nonenums = [3,9,20,null,null,15,7]
root = listToTree(nums)
print(s.minDepth(root))
print(inorderTraversal(root)) #testnums = [2,null,3,null,4,null,5,null,6]
root = listToTree(nums)
print(s.minDepth(root))
print(inorderTraversal(root)) #test
输出:
2
[9, 3, 15, 20, 7]
5
[2, 3, 4, 5, 6]
给你一个整数数组 nums ,除某个元素仅出现 一次 外,其余每个元素都恰出现 三次 。请你找出并返回那个只出现了一次的元素。
示例 1:
输入:nums = [2,2,3,2] 输出:3
示例 2:
输入:nums = [0,1,0,1,0,1,99] 输出:99
提示:
1 <= nums.length <= 3 * 10^4-2^31 <= nums[i] <= 2^31 - 1nums 中,除某个元素仅出现 一次 外,其余每个元素都恰出现 三次进阶:你的算法应该具有线性时间复杂度。 你可以不使用额外空间来实现吗?
代码:
class Solution(object):def singleNumber(self, nums):""":type nums: List[int]:rtype: int"""res = 0for i in range(32):bitnum = 0bit = 1 << ifor num in nums:if num & bit:bitnum += 1if bitnum / 3 != 0:res ^= bitreturn res# %%
s = Solution()
print(s.singleNumber(nums = [2,2,3,2]))
print(s.singleNumber(nums = [0,1,0,1,0,1,99]))
输出:
3
99
✨ 持续,努力奋斗做强刷题搬运工!
👍 点赞,你的认可是我坚持的动力!
★ 收藏,你的青睐是我努力的方向!
✏️ 评论,你的意见是我进步的财富!
| C/C++ 每日一练 专栏 |
| Python 每日一练 专栏 |
上一篇:vim用法