打卡第23天,这一章节二叉树最后一天,难度渐渐上来了。
- 669.修剪二叉搜索树
- 108.将有序数组转换为二叉搜索树
- 538.把二叉搜索树转换为累加树
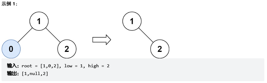
给你二叉搜索树的根节点
root,同时给定最小边界low和最大边界high。通过修剪二叉搜索树,使得所有节点的值在[low, high]中。修剪树 不应该 改变保留在树中的元素的相对结构 (即,如果没有被移除,原有的父代子代关系都应当保留)。 可以证明,存在 唯一的答案 。
所以结果应当返回修剪好的二叉搜索树的新的根节点。注意,根节点可能会根据给定的边界发生改变。


class Solution {
public:TreeNode* trimBST(TreeNode* root, int low, int high) {if(root == NULL) return NULL;root->left = trimBST(root->left, low, high); // 左root->right = trimBST(root->right, low, high); // 右// 中 if(root->val < low) {return root->right;}else if(root->val > high) {return root->left;}return root;}
};
class Solution {
public:TreeNode* trimBST(TreeNode* root, int low, int high) {if (root == nullptr) return nullptr;if (root->val < low) return trimBST(root->right, low, high);if (root->val > high) return trimBST(root->left, low, high);root->left = trimBST(root->left, low, high);root->right = trimBST(root->right, low, high);return root;}
};
因为二叉搜索树的有序性,不需要使用栈模拟递归的过程。
在剪枝的时候,可以分为三步:
class Solution {
public:TreeNode* trimBST(TreeNode* root, int L, int R) {if (!root) return nullptr;// 处理头结点,让root移动到[L, R] 范围内,注意是左闭右闭while (root != nullptr && (root->val < L || root->val > R)) {if (root->val < L) root = root->right; // 小于L往右走else root = root->left; // 大于R往左走}TreeNode *cur = root;// 此时root已经在[L, R] 范围内,处理左孩子元素小于L的情况while (cur != nullptr) {while (cur->left && cur->left->val < L) {cur->left = cur->left->right;}cur = cur->left;}cur = root;// 此时root已经在[L, R] 范围内,处理右孩子大于R的情况while (cur != nullptr) {while (cur->right && cur->right->val > R) {cur->right = cur->right->left;}cur = cur->right;}return root;}
};
给你一个整数数组
nums,其中元素已经按 升序 排列,请你将其转换为一棵 高度平衡 二叉搜索树。
高度平衡 二叉树是一棵满足「每个节点的左右两个子树的高度差的绝对值不超过 1 」的二叉树。


class Solution {
public:TreeNode* traversal(vector& nums, int low, int hight) {if(low > hight) return NULL; //递归出口int mid = (low + hight + 1) / 2; //每次取中点TreeNode *cur = new TreeNode(nums[mid]); //构建根节点cur->left = traversal(nums, low, mid - 1); //中点左区间为左子树cur->right = traversal(nums, mid + 1, hight); //中点右区间为右子树return cur;}TreeNode* sortedArrayToBST(vector& nums) {return traversal(nums, 0, nums.size() - 1);}
};
根据数组构建二叉树,本质就是寻找分割点,分割点作为当前节点,然后递归左区间和右区间。
本题构建平衡二叉树,分割点就是数组中间位置的节点,所以每次取中点
class Solution {
private:TreeNode* traversal(vector& nums, int left, int right) {if (left > right) return nullptr;int mid = left + ((right - left) / 2);TreeNode* root = new TreeNode(nums[mid]);root->left = traversal(nums, left, mid - 1);root->right = traversal(nums, mid + 1, right);return root;}
public:TreeNode* sortedArrayToBST(vector& nums) {TreeNode* root = traversal(nums, 0, nums.size() - 1);return root;}
};
注意:在调用traversal的时候传入的left和right为什么是0和nums.size() - 1,因为定义的区间为左闭右闭。
迭代法可以通过三个队列来模拟,一个队列放遍历的节点,一个队列放左区间下标,一个队列放右区间下标。
模拟的就是不断分割的过程。
class Solution {
public:TreeNode* sortedArrayToBST(vector& nums) {if (nums.size() == 0) return nullptr;TreeNode* root = new TreeNode(0); // 初始根节点queue nodeQue; // 放遍历的节点queue leftQue; // 保存左区间下标queue rightQue; // 保存右区间下标nodeQue.push(root); // 根节点入队列leftQue.push(0); // 0为左区间下标初始位置rightQue.push(nums.size() - 1); // nums.size() - 1为右区间下标初始位置while (!nodeQue.empty()) {TreeNode* curNode = nodeQue.front();nodeQue.pop();int left = leftQue.front(); leftQue.pop();int right = rightQue.front(); rightQue.pop();int mid = left + ((right - left) / 2);curNode->val = nums[mid]; // 将mid对应的元素给中间节点if (left <= mid - 1) { // 处理左区间curNode->left = new TreeNode(0);nodeQue.push(curNode->left);leftQue.push(left);rightQue.push(mid - 1);}if (right >= mid + 1) { // 处理右区间curNode->right = new TreeNode(0);nodeQue.push(curNode->right);leftQue.push(mid + 1);rightQue.push(right);}}return root;}
};
给出二叉 搜索 树的根节点,该树的节点值各不相同,请你将其转换为累加树(Greater Sum Tree),使每个节点
node的新值等于原树中大于或等于node.val的值之和。
提醒一下,二叉搜索树满足下列约束条件:
节点的左子树仅包含键 小于 节点键的节点。
节点的右子树仅包含键 大于 节点键的节点。
左右子树也必须是二叉搜索树。


右中左遍历,二叉搜索树的规则,中序遍历从小到大,本体要求,每个结点的值等原来结点大于等于该结点的总和,右中左遍历,满足从大到小遍历。
class Solution {
private:int pre = 0; // 记录前一个节点的数值void traversal(TreeNode* cur) { // 右中左遍历if (cur == NULL) return;traversal(cur->right);cur->val += pre;pre = cur->val;traversal(cur->left);}
public:TreeNode* convertBST(TreeNode* root) {pre = 0;traversal(root);return root;}
};
模拟(右中左)中序遍历
class Solution {
private:int pre; // 记录前一个节点的数值void traversal(TreeNode* root) {stack st;TreeNode* cur = root;while (cur != NULL || !st.empty()) {if (cur != NULL) {st.push(cur);cur = cur->right; // 右} else {cur = st.top(); // 中st.pop();cur->val += pre;pre = cur->val;cur = cur->left; // 左}}}
public:TreeNode* convertBST(TreeNode* root) {pre = 0;traversal(root);return root;}
};