本人刚学OpenGL不久且自学,文中定有代码、术语等错误,欢迎指正
我写的项目地址:https://github.com/liujianjie/LearnOpenGLProject
前面几节使用的光照都来自于空间中的一个点
即把光源当做一个点
但现实世界中,我们有很多种类的光照,每种的表现都不同。
投光物
将光投射(Cast)到物体的光源叫做投光物
小结
我做个小总结,与前面几节把光源当做一个点的区别
平行光
与一个点做光源不一样
点光源需要位置
平行光需要方向
所以在实现计算光源对片段的漫反射、镜面光影响,要得到光源的方向方式会不一样
点光源
与一个点做光源一样需要位置
在实现计算光源对片段的漫反射、镜面光影响,要得到光源的方向方式会一样
点光源会衰减,前面的点光不会
聚光灯
与一个点做光源一样需要位置
在实现计算光源对片段的漫反射、镜面光影响,要得到光源的方向方式会一样
聚光灯照射一个特点方向的范围,前面的点光没有范围且四周散射
这里需要定义平行光的方向向下,才符合太阳的光照照射(指向)方向,所以计算漫反射和镜面光强度的时候需要取反得到光源的方向向量。
简介
当我们使用一个假设光源处于无限远处的模型时,它就被称为定向光,因为它的所有光线都有着相同的方向,它与光源的位置是没有关系的。
图示

计算漫反射和镜面光分量时光源的方向

特点
因为所有的光线都是平行的,所以物体与光源的相对位置是不重要的,因为对场景中每一个物体光的方向都是一致的。
例子
定义一个光线方向向量而不是位置向量来模拟一个定向光。
这个光线方向是从光源指向像素点的方向,若要模仿太阳光从上往下照射,各个分量值应该为负的
cpp
lightingShader.setVec3("light.direction", -0.2f, -1.0f, -0.3f);// 太阳光向下
glsl
#version 330 core
out vec4 FragColor;in vec3 Normal;
in vec3 FragPos;
in vec2 TexCoords;// 纹理坐标uniform vec3 viewPos;struct Material {sampler2D diffuse; // 纹理单元sampler2D specular;// 镜面光照颜色分量从纹理采样float shininess;
};
uniform Material material;// 光照强度
struct Light {// vec3 position; // 使用平行光就不再需要位置了vec3 direction; // 从光源出发到全局的方向vec3 ambient;vec3 diffuse;vec3 specular;
};uniform Light light;
void main()
{// 取负变为光源的方向向量,用在计算漫反射和镜面光分量时vec3 lightDir = normalize(-light.direction);// 环境光光照分量float ambientStrength = 0.1;// 从漫反射纹理读取颜色分量vec3 ambient = light.ambient * vec3(texture(material.diffuse, TexCoords)); // 漫反射光照分量vec3 norm = normalize(Normal);// vec3 lightDir = normalize(light.position - FragPos);// 一个点做光源才需要这样相减计算片段到光源的方向向量float diff = max(dot(norm, lightDir), 0.0); // 得到光源对当前片段实际的漫反射影响vec3 diffuse = light.diffuse * diff * vec3(texture(material.diffuse, TexCoords));// 从漫反射纹理读取颜色分量// 镜面光照分量float specularStrength = 0.5;vec3 viewDir = normalize(viewPos - FragPos); // 是观察者方向,不是观察者看向的方向vec3 reflectDir = reflect(-lightDir, norm);float spec = pow(max(dot(viewDir, reflectDir), 0.0), material.shininess);// 光源对当前片段的镜面光影响// vec3 specular = light.specular * (spec * material.specular); // 改变在这里// 采样镜面光纹理颜色作为镜面光照颜色分量vec3 specular = light.specular * spec * vec3(texture(material.specular, TexCoords)); vec3 result = (ambient + diffuse + specular) ;FragColor = vec4(result, 1.0);
}
说明
依旧是冯氏光照模型
vec3 lightDir = normalize(-light.direction);
因为direction是光源指向像素点,加了负号以后成为像素点指向光源(光源的方向),这样才能与前面小节相符,正确计算光源对片段的漫反射和镜面光影响。
对应开头的小结
在实现计算光源对片段的漫反射、镜面光影响,要得到光源的方向方式会不一样
// vec3 lightDir = normalize(light.position - FragPos);// 一个点做光源才需要这样相减计算片段到光源的方向向量
// 取负变为光源的方向向量,用在计算漫反射和镜面光分量时
vec3 lightDir = normalize(-light.direction);
float diff = max(dot(norm, lightDir), 0.0); // 得到光源对当前片段实际的漫反射影响

这里算距离与衰减,无论是光源的方向还是光源的指向方向都可以,但是计算漫反射和镜面光强度还是依旧用光的方向向量。
介绍
处于世界中某一个位置的光源,它会朝着所有方向发光,但光线会随着距离逐渐衰减
图

计算漫反射和镜面光分量时光源的方向图就不用画了,就是片段指向灯泡
重点在于如何定义衰减,即距离与衰减系数关系
若用线性
距离的增长线性地减少光的强度,从而让远处的物体更暗
这样的线性方程通常会看起来比较假
用以下公式才是稍好的选择

定义3个(可配置的)项:常数项Kc、一次项Kl和二次项Kq。
解读
常数项Kc通常保持为1.0,它的主要作用是保证分母永远不会比1小,否则的话在某些距离上它反而会增加强度,这肯定不是我们想要的效果。
一次项Kl会与距离值相乘,以线性的方式减少强度。
二次项Kq会与距离的平方相乘,让光源以二次递减的方式减少强度。
二次项在距离比较小的时候影响会比一次项小很多,但当距离值比较大的时候它就会比一次项更大了。
效果

光在近距离时亮度很高、随着距离变远亮度迅速降低、最后会以更慢的速度减少亮度
匹配
现实:灯在近处通常会非常亮、随着距离的增加光源的亮度一开始会下降非常快、但在远处时剩余的光强度就会下降的非常缓慢
选择正确的值
| 距离 | 常数项 | 一次项 | 二次项 |
|---|---|---|---|
| 7 | 1.0 | 0.7 | 1.8 |
| 13 | 1.0 | 0.35 | 0.44 |
| 20 | 1.0 | 0.22 | 0.20 |
| 32 | 1.0 | 0.14 | 0.07 |
| 50 | 1.0 | 0.09 | 0.032 |
| 65 | 1.0 | 0.07 | 0.017 |
| 100 | 1.0 | 0.045 | 0.0075 |
| 160 | 1.0 | 0.027 | 0.0028 |
| 200 | 1.0 | 0.022 | 0.0019 |
| 325 | 1.0 | 0.014 | 0.0007 |
| 600 | 1.0 | 0.007 | 0.0002 |
| 3250 | 1.0 | 0.0014 | 0.000007 |
例子
glsl
#version 330 core
out vec4 FragColor;
struct Material {sampler2D diffuse; // 纹理单元sampler2D specular;// 镜面光照颜色分量从纹理采样float shininess;
};
// 点光源
struct Light {vec3 position; // 需要位置vec3 ambient; vec3 diffuse;vec3 specular;float constant; // 常数float linear; // 一次项float quadratic;// 二次项
};in vec3 FragPos;
in vec3 Normal;
in vec2 TexCoords;// 纹理坐标uniform vec3 viewPos;
uniform Material material;
uniform Light light;
void main()
{// 环境光光照分量// 从漫反射纹理读取颜色分量vec3 ambient = light.ambient * vec3(texture(material.diffuse, TexCoords)); // 漫反射光照分量vec3 norm = normalize(Normal);vec3 lightDir = normalize(light.position - FragPos); // 得到光源的方向,与一个点做光源一样float diff = max(dot(norm, lightDir), 0.0); // 得到光源对当前片段实际的漫反射影响vec3 diffuse = light.diffuse * diff * texture(material.diffuse, TexCoords).rgb;// 从漫反射纹理读取颜色分量// 镜面光照分量vec3 viewDir = normalize(viewPos - FragPos); // 是观察者方向,不是观察者看向的方向vec3 reflectDir = reflect(-lightDir, norm); // reflect要求第一个参数是光源指向像素点的向量float spec = pow(max(dot(viewDir, reflectDir), 0.0), material.shininess);// 光源对当前片段的镜面光影响// 采样镜面光纹理颜色作为镜面光照颜色分量//vec3 specular = light.specular * spec * vec3(texture(material.specular, TexCoords)); // 这句也行vec3 specular = light.specular * spec * texture(material.specular, TexCoords).rgb; // 计算衰减float distance = length(light.position - FragPos); // 得到光源到片段长度float attenuation = 1.0 / (light.constant + light.linear * distance // 根据公式+ light.quadratic * distance * distance);// 光照分量随距离衰减ambient *= attenuation;diffuse *= attenuation;specular *= attenuation;vec3 result = (ambient + diffuse + specular) ;FragColor = vec4(result, 1.0);
}
说明
与一个点做光源一样,用光源的位置减去片段位置得到光源的方向
vec3 lightDir = normalize(light.position - FragPos); // 得到光源的方向,与一个点做光源一样
cpp
lightingShader.setFloat("light.constant", 1.0f);
lightingShader.setFloat("light.linear", 0.09f);
lightingShader.setFloat("light.quadratic", 0.032f);
重要bug
箱子发生旋转,法线也要跟随着变换,不然法线不再垂直顶点,会导致如下不正确效果

所以需要在vs阶段需计算发生变换后的法线
#version 330 core
layout (location = 0) in vec3 aPos;
layout (location = 1) in vec3 aNormal;
layout (location = 2) in vec2 aTexCoords;uniform mat4 view;
uniform mat4 projection;
uniform mat4 model;out vec3 FragPos;
out vec3 Normal;
out vec2 TexCoords;
void main()
{gl_Position = projection * view * model * vec4(aPos, 1.0);FragPos = vec3(model * vec4(aPos, 1.0));// Normal = aNormal;// 只有顶点只发生位移时才可以保持不变Normal = mat3(transpose(inverse(model))) * aNormal;TexCoords = aTexCoords;
}
以下正确结果

这里定义光源的位置为摄像机的位置向量,计算漫反射和镜面光反射,得摄像机的位置减去像素点的位置就成光的方向向量。
简介
位于环境中某个位置的光源,它只朝一个特定方向而不是所有方向照射光线。
这样的结果就是只有在聚光方向的特定半径内的物体才会被照亮,其它的物体都会保持黑暗。
聚光很好的例子就是路灯或手电筒
opengl上表示
OpenGL中聚光是用一个世界空间位置、一个方向和一个切光角来表示,切光角指定了聚光的半径
实现思路
对于每个片段,我们会计算片段是否位于聚光的切光方向之间(也就是在锥形内),如果是的话,我们就会相应地照亮片段
图示

LightDir:从片段指向光源的向量。SpotDir:聚光所指向的方向。(但实际计算时,取反方向)Phiϕ:指定了聚光半径的切光角。落在这个角度之外的物体都不会被这个聚光所照亮。Thetaθ:LightDir向量和SpotDir向量之间的夹角。在聚光内部的话θ值应该比ϕ值小。要做的就是计算LightDir向量和SpotDir向量之间的点积,等于cosθ值,将cosθ值与切光角cosϕ值对比
计算向量图示

算theta时,为了与光的方向向量对应,dot(光的方向向量,取反光源照射前方向量)
代码
#version 330 core
out vec4 FragColor;
struct Material {sampler2D diffuse; // 漫反射颜色分量从纹理采样sampler2D specular;// 镜面光照颜色分量从纹理采样float shininess;
};
// 聚光灯
struct Light {vec3 position; // 需要位置vec3 direction;// 需要照射方向float cutOff;vec3 ambient;vec3 diffuse;vec3 specular;float constant; // 常数float linear; // 一次项float quadratic;// 二次项
};in vec3 FragPos;
in vec3 Normal;
in vec2 TexCoords;// 纹理坐标uniform vec3 viewPos;
uniform Material material;
uniform Light light;
void main()
{// 光源的方向向量:像素点指向光源vec3 lightDir = normalize(light.position - FragPos);// 算出theta,dot(像素点指向光源,光源照射的方向取反)float theta = dot(lightDir, normalize(-light.direction)); // float theta=dot(-lightDir, normalize(light.direction));// dot(光源指向像素点, 光源照射的方向)// 执行正常光照计算:由于theta是cos值,cutOff也是cos值,cos(0-90)递减,所以theta>,而不是 light.cutOff){// 片段在切角内// 从漫反射纹理读取颜色分量vec3 ambient = light.ambient * vec3(texture(material.diffuse, TexCoords)); // 漫反射光照分量vec3 norm = normalize(Normal);vec3 lightDir = normalize(light.position - FragPos); // 得到光源的方向,与一个点做光源一样float diff = max(dot(norm, lightDir), 0.0); // 得到光源对当前片段实际的漫反射影响vec3 diffuse = light.diffuse * diff * texture(material.diffuse, TexCoords).rgb;// 从漫反射纹理读取颜色分量// 镜面光照分量vec3 viewDir = normalize(viewPos - FragPos); // 是观察者方向,不是观察者看向的方向vec3 reflectDir = reflect(-lightDir, norm); // reflect要求第一个参数是光源指向像素点的向量float spec = pow(max(dot(viewDir, reflectDir), 0.0), material.shininess);// 光源对当前片段的镜面光影响// 采样镜面光纹理颜色作为镜面光照颜色分量//vec3 specular = light.specular * spec * vec3(texture(material.specular, TexCoords)); // 这句也行vec3 specular = light.specular * spec * texture(material.specular, TexCoords).rgb; // 计算衰减float distance = length(light.position - FragPos); // 得到光源到片段长度float attenuation = 1.0 / (light.constant + light.linear * distance // 根据公式+ light.quadratic * distance * distance);// 光照分量随距离衰减ambient *= attenuation;diffuse *= attenuation;specular *= attenuation;vec3 result = (ambient + diffuse + specular) ;FragColor = vec4(result, 1.0);}else{// 片段不在切角内:计算环境光,以免全黑FragColor = vec4(light.ambient * vec3(texture(material.diffuse, TexCoords)), 1.0) ;}
}
上传数据
lightingShader.setVec3("light.position", camera.Position);
lightingShader.setVec3("light.direction", camera.Front);
lightingShader.setFloat("light.cutOff", glm::cos(glm::radians(12.5f)));
说明
算theta时,为了与光的方向向量对应,dot(像素点指向光源,光源照射的方向取反)
float theta = dot(lightDir, normalize(-light.direction));
与一个点做光源一样,用光源的位置减去片段位置得到光源的方向
vec3 lightDir = normalize(light.position - FragPos); // 得到光源的方向,与一个点做光源一样
注意点theta > light.cutOff
因为上传给cutOff的是已经计算好了的cos值,且theta也是cosθ值(cosθ=dot(lightDir, normalize(-light.direction)))
cos(0-90内)递减,所以theta >light.cutOff,代表当前夹角要比规定的范围角度要小,需要照亮

效果

疑问点
为什么,计算cos角度要用弧度值
lightingShader.setFloat("light.cutOff", glm::cos(glm::radians(12.5f)));
glm::cos();接收的参数需要是弧度值
测试点积两个向量的方向
glm::vec3 lightDir = camera.Position;
glm::vec3 lightdirection = camera.Front;
float theta1 = glm::dot(lightDir, glm::normalize(-lightdirection));// 对应第一个图
cout << "像素点指向光源:" << theta1 << endl;
float theta2 = glm::dot(-lightDir, glm::normalize(lightdirection));// 对应第二个图
cout << "光源指向像素点:" << theta2 << endl;



方向一样,点积值一样
引入
如上一个例子,发现聚光灯的光圈边缘并不平滑
解决方法
我们可以将内圆锥设置为上一个例子聚光灯的圆锥,但我们也需要一个外圆锥,来让光从内圆锥逐渐减暗,直到外圆锥的边界。
融入代码中
为了创建一个外圆锥,我们只需要再定义一个余弦值来代表聚光灯方向向量和外圆锥向量(等于它的半径)的夹角
边缘平滑且圆锥内正常思路
如果一个片段处于内外圆锥之间,将会给它计算出一个0.0到1.0之间的强度值。
如果片段在内圆锥之内,它的强度就是1.0。
如果在外圆锥之外强度值就是0.0。
公式来计算边缘平滑且圆锥内正常

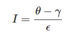
理解方式一
θ = dot(像素点指向光源,光源照射的方向取反)= cos(它们之间的夹角)
γ = cos(外圆角度)
ϵ(Epsilon) = cos(内圆角度) - cos(外圆角度)
结合下方图表理解
θ = cos(θ(角度) = dot(像素点指向光源,光源照射的方向取反)= cos(它们之间的夹角)
γ = cos(γ(角度))= γ(外光切)
ϵ(Epsilon) = ϕ(内光切)- γ(外光切)
| θ | θ(角度) | ϕ(内光切) | ϕ(角度) | γ(外光切) | γ(角度) | ϵ | I |
|---|---|---|---|---|---|---|---|
| 0.87 | 30 | 0.91 | 25 | 0.82 | 35 | 0.91 - 0.82 = 0.09 | 0.87 - 0.82 / 0.09 = 0.56 |
| 0.9 | 26 | 0.91 | 25 | 0.82 | 35 | 0.91 - 0.82 = 0.09 | 0.9 - 0.82 / 0.09 = 0.89 |
| 0.97 | 14 | 0.91 | 25 | 0.82 | 35 | 0.91 - 0.82 = 0.09 | 0.97 - 0.82 / 0.09 = 1.67 |
| 0.83 | 34 | 0.91 | 25 | 0.82 | 35 | 0.91 - 0.82 = 0.09 | 0.83 - 0.82 / 0.09 = 0.11 |
| 0.64 | 50 | 0.91 | 25 | 0.82 | 35 | 0.91 - 0.82 = 0.09 | 0.64 - 0.82 / 0.09 = -2.0 |
| 0.966 | 15 | 0.9978 | 12.5 | 0.953 | 17.5 | 0.9978 - 0.953 = 0.0448 | 0.966 - 0.953 / 0.0448 = 0.29 |
个人发现图表有错(也许没错)
最后一行:cos值计算错了
cos(12.5)=0.976,而表中的0.9978是cos(12.5rad),把12.5当做弧度来计算cos值
转换为代码
glsl
#version 330 core
out vec4 FragColor;
struct Material {sampler2D diffuse; // 漫反射颜色分量从纹理采样sampler2D specular;// 镜面光照颜色分量从纹理采样float shininess;
};
// 聚光灯
struct Light {vec3 position; // 需要位置vec3 direction;// 需要照射方向float cutOff; // ϕ(内光切)float outerCutOff;// γ(外光切)vec3 ambient;vec3 diffuse;vec3 specular;float constant; // 常数float linear; // 一次项float quadratic;// 二次项
};
in vec3 FragPos;
in vec3 Normal;
in vec2 TexCoords;// 纹理坐标uniform vec3 viewPos;
uniform Material material;
uniform Light light;
void main()
{// 光源的方向向量:像素点指向光源vec3 lightDir = normalize(light.position - FragPos);// 算出theta,dot(像素点指向光源,光源照射的方向取反)float theta = dot(lightDir, normalize(-light.direction));// float theta=dot(-lightDir, normalize(light.direction));// dot(光源指向像素点, 光源照射的方向)// 从漫反射纹理读取颜色分量vec3 ambient = light.ambient * vec3(texture(material.diffuse, TexCoords)); // 漫反射光照分量vec3 norm = normalize(Normal);// vec3 lightDir = normalize(light.position - FragPos); // 得到光源的方向float diff = max(dot(norm, lightDir), 0.0);vec3 diffuse = light.diffuse * diff * texture(material.diffuse, TexCoords).rgb;// 从漫反射纹理读取颜色分量// 镜面光照分量vec3 viewDir = normalize(viewPos - FragPos); // 是观察者方向,不是观察者看向的方向vec3 reflectDir = reflect(-lightDir, norm); // reflect要求第一个参数是光源指向像素点的向量float spec = pow(max(dot(viewDir, reflectDir), 0.0), material.shininess);// 光源对当前片段的镜面光影响// 采样镜面光纹理颜色作为镜面光照颜色分量//vec3 specular = light.specular * spec * vec3(texture(material.specular, TexCoords)); // 这句也行vec3 specular = light.specular * spec * texture(material.specular, TexCoords).rgb; // 计算衰减float distance = length(light.position - FragPos); // 得到光源到片段长度float attenuation = 1.0 / (light.constant + light.linear * distance // 根据公式+ light.quadratic * distance * distance);// 光照分量随距离衰减ambient *= attenuation;diffuse *= attenuation;specular *= attenuation;// 为了边缘平滑且圆锥内正常float epsilon = light.cutOff - light.outerCutOff;float intensity = clamp((theta - light.outerCutOff) / epsilon, 0.0, 1.0);// 将不对环境光做出影响,让它总是能有一点光diffuse *= intensity;specular *= intensity;// 聚光灯受影响vec3 result = (ambient + diffuse + specular) ;FragColor = vec4(result, 1.0);
}
lightingShader.use();
lightingShader.setVec3("viewPos", camera.Position);
lightingShader.setVec3("light.position", camera.Position);
lightingShader.setVec3("light.direction", camera.Front);// direction是光照射方向
lightingShader.setFloat("light.cutOff", glm::cos(glm::radians(12.5f))); //ϕ(内光切)
lightingShader.setFloat("light.outerCutOff", glm::cos(glm::radians(17.5f)));// γ(外光切)
效果
