Lesson 9.2 随机森林回归器的参数
创始人
2024-06-01 05:25:58

文章目录

  • 一、弱分类器的结构
    • 1. 分枝标准与特征重要性
    • 2. 调节树结构来控制过拟合
  • 二、弱分类器的数量
  • 三、弱分类器训练的数据
    • 1. 样本的随机抽样
    • 2. 特征的随机抽样
    • 3. 随机抽样的模式
  • 四、弱分类器的其他参数

  • 在开始学习之前,先导入我们需要的库。
import numpy as np
import pandas as pd
import sklearn
import matplotlib as mlp
import seaborn as sns
import re, pip, conda
import matplotlib.pyplot as plt
from sklearn.ensemble import RandomForestRegressor as RFR
from sklearn.tree import DecisionTreeRegressor as DTR
from sklearn.model_selection import cross_validate, KFold
  • 当填写参数之后,随机森林可以变得更强大。比起经典机器学习算法逻辑回归、岭回归等,随机森林回归器的参数数量较多,因此我们可以将随机森林类的参数分为如下 4 大类别,其中标注为绿色的是我们从未学过的、只与集成算法相关的参数:
类型参数
弱分类器数量n_estimators
弱分类器的训练数据bootstrap, oob_score, max_samples, max_features, random_state
弱分类器结构criterion, max_depth, min_samples_split,
min_samples_leaf, min_weight_fraction_leaf, max_leaf_nodes,
min_impurity_decrease
其他n_jobs, verbose, ccp_alpha

一、弱分类器的结构

  • 在集成算法当中,控制单个弱评估器的结构是一个重要的课题,因为单个弱评估器的复杂度/结果都会影响全局,其中单棵决策树的结构越复杂,集成算法的整体复杂度会更高,计算会更加缓慢、模型也会更加容易过拟合,因此集成算法中的弱评估器也需要被剪枝。
  • 随机森林回归器的弱评估器是回归树,因此集成评估器中有大量的参数都与弱评估器回归树中的参数重合:
类型参数
弱分类器结构criterion:弱评估器分枝时的不纯度衡量指标

max_depth:弱评估器被允许的最大深度,默认None

min_samples_split:弱评估器分枝时,父节点上最少要拥有的样本个数

min_samples_leaf:弱评估器的叶子节点上最少要拥有的样本个数

min_weight_fraction_leaf:当样本权重被调整时,叶子节点上最少要拥有的样本权重

max_leaf_nodes:弱评估器上最多可以有的叶子节点数量

min_impurity_decrease:弱评估器分枝时允许的最小不纯度下降量
  • 这些参数在随机森林中的用法与默认值与决策树类 DecisionTreeRegressor 中完全一致,专门用于对决策树进行剪枝、控制单个弱评估器的结构,考虑到大家在决策树中已经充分掌握这些参数,我们不再对这些参数一一进行详细说明了。
  • 在这里,我们重点复习一下以下两部分参数:

1. 分枝标准与特征重要性

  • criterionfeature_importances_ 与分类树中的信息熵/基尼系数不同,回归树中的 criterion 可以选择"squared_error"(平方误差),“absolute_error”(绝对误差)以及"poisson"(泊松偏差)。对任意样本 iii 而言,yiy_iyi​ 为真实标签,yi^\hat{y_i}yi​^​ 为预测标签,则各个 criterion 的表达式为:
  • 平方误差:∑(yi−yi^)2\sum{(y_i - \hat{y_i})^2}∑(yi​−yi​^​)2。
  • 绝对误差:∑∣yi−yi^∣\sum{|y_i - \hat{y_i}|}∑∣yi​−yi​^​∣。
  • 泊松偏差:2∑(yilog(yiyi^)−(yi−yi^))2\sum{(y_ilog(\frac{y_i}{\hat{y_i}})-(y_i - \hat{y_i}))}2∑(yi​log(yi​^​yi​​)−(yi​−yi​^​))。
  • 其中平方误差与绝对误差是大家非常熟悉的概念,作为分枝标准,平方误差比绝对误差更敏感(类似于信息熵比基尼系数更敏感),并且在计算上平方误差比绝对误差快很多。
  • 泊松偏差则是适用于一个特殊场景的:当需要预测的标签全部为正整数时,标签的分布可以被认为是类似于泊松分布的。正整数预测在实际应用中非常常见,比如预测点击量、预测客户/离职人数、预测销售量等。我们现在正在使用的数据(房价预测),也可能比较适合于泊松偏差。
  • 另外,当我们选择不同的 criterion 之后,决策树的 feature_importances_ 也会随之变化,因为在 sklearn 当中,feature_importances_ 是特征对 criterion 下降量的总贡献量,因此不同的 criterion 可能得到不同的特征重要性。
  • 对我们来说,选择 criterion 的唯一指标就是最终的交叉验证结果——无论理论是如何说明的,我们只取令随机森林的预测结果最好的 criterion。

2. 调节树结构来控制过拟合

  • max_depth 是最粗犷的剪枝方式,从树结构层面来看,对随机森林抗过拟合能力影响最大的参数。max_depth 的默认值为 None,也就是不限深度。因此当随机森林表现为过拟合时,选择一个小的 max_depth 会很有效。
  • max_leaf_nodesmin_sample_split 是比 max_depth 更精细的减枝方式,但限制叶子数量和分枝,既可以实现微调,也可以实现大刀阔斧的剪枝。max_leaf_nodes 的默认值为 None,即不限叶子数量。min_sample_split 的默认值为 2,等同于不限制分枝。
  • min_impurity_decrease 最精细的减枝方式,可以根据不纯度下降的程度减掉相应的叶子。默认值为 0,因此是个相当有空间的参数。

二、弱分类器的数量

  • n_estimators 是森林中树木的数量,即弱评估器的数量,在 sklearn 中默认 100,它是唯一一个对随机森林而言必填的参数。n_estimators 对随机森林模型的精确程度、复杂度、学习能力、过拟合情况、需要的计算量和计算时间都有很大的影响,因此 n_estimators 往往是我们在调整随机森林时第一个需要确认的参数。
  • 对单一决策树而言,模型复杂度由树结构(树深、树宽、树上的叶子数量等)与数据量(样本量、特征量)决定,而对随机森林而言,模型复杂度由森林中树的数量、树结构与数据量决定,其中树的数量越多,模型越复杂。
  • 当模型复杂度上升时,模型的泛化能力会先增加再下降(相对的泛化误差会先下降再上升),我们需要找到模型泛化能力最佳的复杂度。在实际进行训练时,最佳复杂度往往是一个比较明显的转折点,当复杂度高于最佳复杂度时,模型的泛化误差要么开始上升,要么不再下降。

在这里插入图片描述

  • 对随机森林而言,该图像的横坐标可以被无缝切换为参数 n_estimators 上的值。当 n_estimators 越大时:
  • (1) 模型的复杂程度上升,泛化能先增强再减弱(或不变)。
  • (2) 模型的学习能力越来越强,在训练集上的分数可能越来越高,过拟合风险越来越高。
  • (3) 模型需要的算力和内存越来越多。
  • (4) 模型训练的时间会越来越长。
  • 因此在调整 n_estimators 时,我们总是渴望在模型效果与训练难度之间取得平衡,同时我们还需要使用交叉验证来随时关注模型过拟合的情况。在 sklearn 现在的版本中,n_estimators 的默认值为 10。
def RMSE(cvresult,key):return (abs(cvresult[key])**0.5).mean()reg_f = RFR(n_estimators=3)
cv = KFold(n_splits=5,shuffle=True,random_state=1412)
result_f = cross_validate(reg_f,X,y,cv=cv,scoring="neg_mean_squared_error",return_train_score=True,verbose=True,n_jobs=-1)
#[Parallel(n_jobs=-1)]: Using backend LokyBackend with 16 concurrent workers.
#[Parallel(n_jobs=-1)]: Done   5 out of   5 | elapsed:    0.8s finishedRMSE(result_f,"test_score")
#36398.0444570051reg_f = RFR(n_estimators=100)
cv = KFold(n_splits=5,shuffle=True,random_state=1412)
result_f = cross_validate(reg_f,X,y,cv=cv,scoring="neg_mean_squared_error",return_train_score=True,verbose=True,n_jobs=-1)
#[Parallel(n_jobs=-1)]: Using backend LokyBackend with 16 concurrent workers.
#[Parallel(n_jobs=-1)]: Done   5 out of   5 | elapsed:    1.9s finishedRMSE(result_f,"test_score")
#30156.835268943938reg_f = RFR(n_estimators=500)
cv = KFold(n_splits=5,shuffle=True,random_state=1412)
result_f = cross_validate(reg_f,X,y,cv=cv,scoring="neg_mean_squared_error",return_train_score=True,verbose=True,n_jobs=-1)
#[Parallel(n_jobs=-1)]: Using backend LokyBackend with 16 concurrent workers.
#[Parallel(n_jobs=-1)]: Done   5 out of   5 | elapsed:    7.1s finishedRMSE(result_f,"test_score")
#30305.720408696703
  • 对上述总结:
类型参数
弱分类器数量n_estimators:弱评估器的数量

三、弱分类器训练的数据

  • 对每个特征决策树都会找到不纯度下降程度最大的节点进行分枝,因此原则上来说,只要给出数据一致、并且不对决策树进行减枝的话,决策树的结构一定是完全相同的。
  • 对集成算法来说,平均多棵相同的决策树的结果并没有意义,因此集成算法中每棵树必然是不同的树,Bagging 算法是依赖于随机抽样数据来实现这一点的。
  • 随机森林会从提供的数据中随机抽样出不同的子集,用于建立多棵不同的决策树,最终再按照 Bagging 的规则对众多决策树的结果进行集成。因此在随机森林回归器的参数当中,有数个关于数据随机抽样的参数。

1. 样本的随机抽样

  • bootstrap 参数的输入为布尔值,默认 True,控制是否在每次建立决策树之前对数据进行随机抽样。如果设置为 False,则表示每次都使用全部样本进行建树,如果为 True,则随机抽样建树。
  • 从语言的意义上来看,bootstrap 可以指代任意类型的随机抽样,但在随机森林中它特指有放回随机抽样技术。
  • 如下图所示,在一个含有 m 个样本的原始训练集中,我们进行随机采样。每次采样一个样本,并在抽取下一个样本之前将该样本放回原始训练集,也就是说下次采样时这个样本依然可能被采集到,这样采集 max_samples 次,最终得到 max_samples 个样本组成的自助集。

在这里插入图片描述

  • 通常来说,max_samples 是等于 m 的(行业惯例),也就是抽样数据集的大小与原始数据集一致,但是如果原始数据集太大、或者太小,我们也可以自由调整 max_samples 的大小。
  • 由于是随机采样,这样每次的自助集和原始数据集不同,和其他的采样集也是不同的。这样我们就可以自由创造取之不尽用之不竭,并且互不相同的自助集,用这些自助集来训练我们的弱分类器,我们的弱分类器自然也就各不相同了。
  • 然而有放回抽样也会有自己的问题。由于是有放回,一些样本可能在同一个自助集中出现多次,而其他一些却可能被忽略。当抽样次数足够多、且原始数据集足够大时,自助集大约平均会包含全数据的 63%,这个数字是有数学依据的。因为在 max_samples 次抽样中,一个样本被抽到某个自助集中的概率为:1−(1−1m)max_samples1-(1-\frac{1}{m})^{max\_samples}1−(1−m1​)max_samples
  • 这个式子是怎么来的呢?对于任意一个样本而言:
  • 一次抽样时抽到该样本的概率为 1m\frac{1}{m}m1​。
  • 一次抽样时抽不到该样本的概率为 1−1m1-\frac{1}{m}1−m1​。
  • 总共抽样 max_samples 次,一次也没有抽到该样本的概率就是 (1−1m)max_samples(1-\frac{1}{m})^{max\_samples}(1−m1​)max_samples。
  • 因此 1 减去该概率,就是一个样本在抽样中一定会被抽到某个自助集的概率。
  • 当 m 刚好等于 max_samples 时,公式可以被修改为:1−(1−1m)m1-(1-\frac{1}{m})^{m}1−(1−m1​)m
  • 这明显是一个经典的极限问题,由洛必达法则(L’Hôpital’s rule)我们可知:当 m 足够大时(接近极限时),这个概率收敛于 1-(1/e),其中 e 是自然常数,整体概率约等于 0.632。
  • 因此,会有约 37% 的训练数据被浪费掉,没有参与建模,这些数据被称为袋外数据(out of bag data,简写为oob)。
  • 在实际使用随机森林时,袋外数据常常被我们当做验证集使用,所以我们或许可以不做交叉验证、不分割数据集,而只依赖于袋外数据来测试我们的模型即可。
  • 当然,这也不是绝对的,当树的数量 n_estimators 不足,或者 max_samples 太小时,很可能就没有数据掉落在袋外,自然也有无法使用 oob 数据来作为验证集了。
  • 在随机森林回归器中,当 boostrap=True 时,我们可以使用参数 oob_scoremax_samples,其中:
  • oob_score 控制是否使用袋外数据进行验证,输入为布尔值,默认为 False,如果希望使用袋外数据进行验证,修改为 True 即可。
  • max_samples 表示自助集的大小,可以输入整数、浮点数或 None,默认为 None。
  • 当我们输入整数 m,则代表每次从全数据集中有放回抽样 m 个样本。
  • 当我们输入浮点数 f,则表示每次从全数据集中有放回抽样 f * 全数据量个样本。
  • 当我们输入 None,则表示每次抽样都抽取与全数据集一致的样本量(X.shape[0])。
  • 在使用袋外数据时,我们可以用随机森林的另一个重要属性:oob_score_ 来查看我们的在袋外数据上测试的结果,遗憾的是我们无法调整 oob_score_ 输出的评估指标,它默认是 R2。
reg = RFR(n_estimators=20, bootstrap=True #进行随机抽样, oob_score=True #按袋外数据进行验证, max_samples=500).fit(X,y)
#D:\ProgramData\Anaconda3\lib\site-packages\sklearn\base.py:445: UserWarning: X does not have #valid feature names, 
#but RandomForestRegressor was fitted with feature names
#  warnings.warn(#重要属性oob_score_
reg.oob_score_ #在袋外数据上的R2为83%
#0.8254774869029703reg = RFR(n_estimators=20, bootstrap=False, oob_score=True, max_samples=500).fit(X,y) #直接无法运行,因为boostrap=False时oob_score分数根本不存在
-
reg = RFR(n_estimators=20, bootstrap=True #允许抽样, oob_score=False #但不进行计算, max_samples=500).fit(X,y)
reg.oob_score_ #虽然可以训练,但oob_score无法被调用

2. 特征的随机抽样

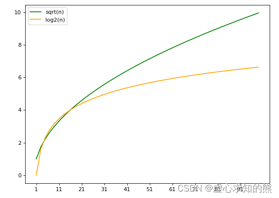
  • max_features 数据抽样还有另一个维度:对特征的抽样。在学习决策树时,我们已经学习过对特征进行抽样的参数 max_features,在随机森林中 max_features 的用法与决策树中完全一致,其输入也与决策树完全一致:
  • (1) 当我们输入整数,表示每次分枝时随机抽取 max_features 个特征。
  • (2) 当我们输入浮点数,表示每次分枝时抽取 round(max_features * n_features) 个特征。
  • (3) 当我们输入 auto 或者 None,表示每次分枝时使用全部特征 n_features。
  • (4) 当我们输入 sqrt,表示每次分枝时使用 sqrt(n_features)。
  • (5)当我们输入 log2,表示每次分枝时使用 log2(n_features)。
sqrt_ = []
log_ = []
for n_features in range(1,101,2):sqrt_.append(np.sqrt(n_features))log_.append(np.log2(n_features))    
xaxis = range(1,101,2)
plt.figure(figsize=(8,6),dpi=80)
#RMSE
plt.plot(xaxis,sqrt_,color="green",label = "sqrt(n)")
plt.plot(xaxis,log_,color="orange",label = "log2(n)")
plt.xticks(range(1,101,10))
plt.legend()
plt.show()

在这里插入图片描述

  • 不难发现,sqrt(n_features) 和 log2(n_features) 都会返回一个比原始特征量小很多的数,但一般情况下 log2 返回的值比 sqrt 返回的值更小,因此如果我们想要树之间的差异更大,我们可以设置模式为 log2。在实际使用时,我们往往会先使用上述的文字输入,观察模型的结果,然后再在有效的范围附近进行网格搜索。
  • 需要注意的是,无论对数据进行怎样的抽样,我们能够控制的都只是建立单棵树时的数据而已。在总数据量有限的情况下,单棵树使用的数据量越大,每一棵树使用的数据就会越相似,每棵树的结构也就会越相似,bagging 的效果难以发挥、模型也很容易变得过拟合。因此,当数据量足够时,我们往往会消减单棵树使用的数据量。

3. 随机抽样的模式

  • 随机抽样的模式函数是:random_state
  • 随机模式的相关说明:
  • random_state 是一个较为抽象的参数,对于刚接触 sklearn 运作方式的人们来说,random_state 可能会比较难以理解。
  • 在日常生活中,当我们讨论随机时,我们指的是真正的随机,包括如下三个方面:
  • (1) 不可预测。
  • (2) 不可有目的地重复。
  • (3) 实验之间完全相互独立。
  • 就比如游戏当中抽卡,比如抛硬币,我们无法预料会抛出正面还是反面、并且抛出一次正面自后、无法有目的地再次抛出正面,无论上一次是正面还是反面,都不影响下一次抛硬币的时候的结果。真正的随机一定伴随着物理实验,是只有自然界才有的现象
  • 在计算机的世界中,任意的随机一定是通过某种计算方式得到和实现的,这种随机是伪随机。无论是随机抽样,还是随机打乱数据顺序等等,其实背后都有着计算机的规则在进行控制,只要我们找到背后的规则,我们就可以有目的地重复随机的结果,而 random_state 就是在随机过程当中,控制随机规则的参数
  • 例如,现在我们需要在 [1,2,3,4,5] 中随机抽取 3 个数字,我们可以有多种规则:
  • 0 号规则:4,5,1。
  • 1 号规则:2,1,5。
  • 2 号规则:1,5,4。
  • 3 号规则:2,5,4。
​list_ = [1,2,3,4,5]
​import random
random.sample(list_,k=3) #随机从列表中抽取样本,抽取3个
  • 根据排列组合的规则,总共有 A53A_5^3A53​=60 种选择。每当我们执行抽样的代码时,计算机会在所有规则中选择一个返回给我们。当我们多次执行抽样代码,计算机会返回不同的结果,营造一种随机的氛围,但并非真正的在列表中进行了不可预测、不可重复的抽样。​- 只要我们设置随机数种子,我们就可以重复抽样的结果,令本来应该随机的过程变成固定过程。
#random.seed是random模块中的随机数种子,等同于sklearn中的random_state
random.seed(0) #0号规则
random.sample(list_,k=3)
​
random.seed(2)
random.sample(list_,k=3)
  • 即便只有 60 种选择,我们的随机数种子也可以设置为任意的数字。当然,无论我们设置怎样的数字,最终计算机都会从这 60 中选择中挑选一个返回给我们,这也是计算机的规则决定的。无论我们输入了什么数字,只要我们认为当下随机操作返回的结果是可以接受的,就可以持续使用我们设置的数字。
​random.seed(1412)
random.sample(list_,k=3)
​
random.seed(2333)
random.sample(list_,k=3)
  • 在决策树当中,我们已经学习过控制随机模式的参数 random_state,这个参数是随机数种子,它控制决策树当中多个具有随机性的流程。在 sklearn 实现的随机森林当中,决策树上也存在众多有随机性的流程:
  • (1)「强制」随机抽取每棵树建立时分枝用的特征,抽取的数量可由参数 max_features 决定。
  • (2)「强制」随机排序每棵树分枝时所用的特征。
  • (3)「可选」随机抽取每棵树建立时训练用的样本,抽取的比例可由参数 max_samples 决定。
  • 因此每次使用随机森林类时,我们建立的集成算法都是不同的,在同一个数据集上多次建树自然也会产生不同的模型结果。因此在工程部署和教学当中,我们在建树的第一步总是会先设置随机数种子为一个固定值,让算法固定下来。在设置的时候,需要注意两个问题:
  • 第一,不同库中的随机数种子遵循不同的规则,对不同库中的随机数种子给与相同的数字,也不会得到相同的结果。
import pandas as pd
import random
​
list_ = [1,2,3,4,5]
list_p = pd.Series(list_)
​
list_p
#0    1
#1    2
#2    3
#3    4
#4    5
#dtype: int64#random中的随机抽样
random.seed(1)
random.sample(list_,k=3)
#[2, 1, 5]#pandas中的随机抽样
list_p.sample(n=3,random_state=1).values
#array([3, 2, 5], dtype=int64)
  • 同样的,sklearn 中的随机抽样、numpy 中的随机抽样、cuda 中的随机抽样在相同的随机数种子数值下,都会得到不同的结果。
  • 第二,如何选择最佳随机数种子?
  • 当数据样本量足够大的时候(数万),变换随机数种子几乎不会对模型的泛化能力有影响,因此在数据量巨大的情况下,我们可以随意设置任意的数值。
  • 当数据量较小的时候,我们可以把随机数种子当做参数进行调整,但前提是必须依赖于交叉验证的结果。选择交叉验证结果中均值最高、方差最低的随机数种子,以找到泛化能力最强大的随机模式。
类型参数
弱分类器的训练数据bootstrap:是否对样本进行随机抽样

oob_score:如果使用随机抽样,是否使用袋外数据作为验证集

max_samples:如果使用随机抽样,每次随机抽样的样本量

max_features:随机抽取特征的数目

random_state:控制一切随机模式

四、弱分类器的其他参数

类型参数
其他n_jobs:允许调用的线程数

verbose:打印建树过程

ccp_alpha:结构风险$
  • 我们已经了解过前三个参数,需要稍微说明一下 verbose 参数。
  • 随机森林的 verbose 参数打印的是建树过程,但只有在树的数量众多、建模耗时很长时,verbose 才会打印建树的具体过程,否则它只会打印出一行两简单的报告。
  • 这些参数中需要重点说明的是 warm_start。warm_start 是控制增量学习的参数,默认为 False,该参数可以帮助随机森林处理巨量数据,解决围绕随机森林的众多关键问题。

相关内容

热门资讯

应用未安装解决办法 平板应用未... ---IT小技术,每天Get一个小技能!一、前言描述苹果IPad2居然不能安装怎么办?与此IPad不...
脚上的穴位图 脚面经络图对应的... 人体穴位作用图解大全更清晰直观的标注了各个人体穴位的作用,包括头部穴位图、胸部穴位图、背部穴位图、胳...
长白山自助游攻略 吉林长白山游... 昨天介绍了西坡的景点详细请看链接:一个人的旅行,据说能看到长白山天池全凭运气,您的运气如何?今日介绍...
世界上最漂亮的人 世界上最漂亮... 此前在某网上,选出了全球265万颜值姣好的女性。从这些数量庞大的女性群体中,人们投票选出了心目中最美...
demo什么意思 demo版本... 618快到了,各位的小金库大概也在准备开闸放水了吧。没有小金库的,也该向老婆撒娇卖萌服个软了,一切只...
猫咪吃了塑料袋怎么办 猫咪误食... 你知道吗?塑料袋放久了会长猫哦!要说猫咪对塑料袋的喜爱程度完完全全可以媲美纸箱家里只要一有塑料袋的响...
应用未安装解决办法 平板应用未... ---IT小技术,每天Get一个小技能!一、前言描述苹果IPad2居然不能安装怎么办?与此IPad不...
北京的名胜古迹 北京最著名的景... 北京从元代开始,逐渐走上帝国首都的道路,先是成为大辽朝五大首都之一的南京城,随着金灭辽,金代从海陵王...
应用未安装解决办法 平板应用未... ---IT小技术,每天Get一个小技能!一、前言描述苹果IPad2居然不能安装怎么办?与此IPad不...
世界上最漂亮的人 世界上最漂亮... 此前在某网上,选出了全球265万颜值姣好的女性。从这些数量庞大的女性群体中,人们投票选出了心目中最美...
北京的名胜古迹 北京最著名的景... 北京从元代开始,逐渐走上帝国首都的道路,先是成为大辽朝五大首都之一的南京城,随着金灭辽,金代从海陵王...
世界上最漂亮的人 世界上最漂亮... 此前在某网上,选出了全球265万颜值姣好的女性。从这些数量庞大的女性群体中,人们投票选出了心目中最美...
苗族的传统节日 贵州苗族节日有... 【岜沙苗族芦笙节】岜沙,苗语叫“分送”,距从江县城7.5公里,是世界上最崇拜树木并以树为神的枪手部落...
长白山自助游攻略 吉林长白山游... 昨天介绍了西坡的景点详细请看链接:一个人的旅行,据说能看到长白山天池全凭运气,您的运气如何?今日介绍...
怎么样的桃花 桃花近看远看的样... 今年的“三八”妇女节,阳光明媚,踏青赏花正当时。遂与姐妹们共赴十里蓝山,与花海来一场春天的约会。十里...
世界上最漂亮的人 世界上最漂亮... 此前在某网上,选出了全球265万颜值姣好的女性。从这些数量庞大的女性群体中,人们投票选出了心目中最美...
demo什么意思 demo版本... 618快到了,各位的小金库大概也在准备开闸放水了吧。没有小金库的,也该向老婆撒娇卖萌服个软了,一切只...
demo什么意思 demo版本... 618快到了,各位的小金库大概也在准备开闸放水了吧。没有小金库的,也该向老婆撒娇卖萌服个软了,一切只...