
这份需求规格说明书是需求分析阶段的产物。在经过与培训师、管理员以及学员充分的沟通后,我们收集到了该系统所要实现的功能与用户的习惯,以此形成的文档基本需求的方向。该说明文档明确分析开发软件所应该具备的功能、性能等。同时也能为以后项目的进度与规划,组织软件的开发与测试提供一定的帮助,整个软件开发和系统验收的主要依据。
本说明书的预期读者为学员、培训师、管理员、项目需求分析人员以及开发人员。
需求:指人对客观事务需要的表现,体现为愿望、意向和兴趣,因而成为行动的一种直接原因。
软件需求(IEEE软件工程标准词汇表):
(1)用户解决问题或达到目标所需的条件或能力。
(2)系统或系统部件要满足合同、标准、规范或者其他正式规定文档所需具有条 件或能力。
(3)对(1)或(2)中的一个条件或一种能力的一种文档化表述。
用例:
定义 1 用例是对一个活动者使用一个系统的一项功能时进行交互过程中的一个文字描述序列。
定义 2 用例是系统、子系统或类和外部的参与者交互的动作序列的说明,包括可选的动作序列和会出现异常的动作序列。
活动:表示某流程中的任务的执行,也可以表示某算法过程中语句的执行。
《软件需求工程》(第二版) 毋国庆,梁正平,袁梦霆,李勇华,编著
《面向对象程序分析与设计(UML)》(第2版·题库版)
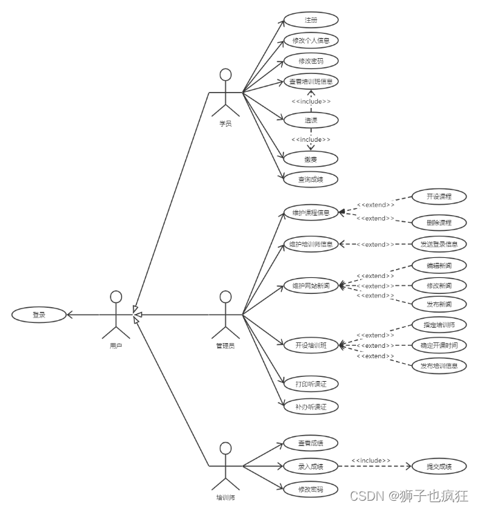
该系统用于协助完成培训机构的教学管理工作,用户有学员、培训师、管理员。
系统首页:显示培训机构的基本信息、新闻、及最新发布的培训信息。学员、培训师、管理员的登录入口均在系统首页。
某培训机构专注于IT技术培训,可以开设IT相关课程的培训班。每年该机构在春季、夏季、秋季开办3期培训,每期培训开设多门课程的多个培训班。根据市场情况,一门课程每期可以开出多个培训班,也可能不开班。培训班的开设每学期由管理员决定,并为每个培训班指定一位培训师。在确定培训班的开课时间及培训师后,管理员可以发布培训信息,学员可以开始选课。学员在培训机构缴费后,管理员应确认学员的选课信息,并为学员打印听课证。若学员以其他方式缴费,或听课证遗失,可由管理员补办。每期培训开课后,管理员关闭当期培训选课。
任何人均可通过系统注册成为学员。注册后,学员可以修改个人信息及登录密码。只有注册成为学员,才可以选课。学员可以通过系统查询可以选课的所有培训班信息并选课。学员还可以查询其参加的培训课程的成绩。
培训师的信息由管理员维护,并将登录信息发送给培训师。培训师在登录后可以修改登录密码。培训师可以查看和录入其指导的培训班学员成绩。在培训课程结束后要录入该培训班所有学员的成绩,成绩提交后不可修改。学员成绩由理论成绩和实践成绩组成,分别占40%和60%。
管理员需要维护课程信息,即该培训机构开设的课程,以及可以教授该课程的培训师。管理员可以根据需要将其设置为不再开设。开设过培训班的课程不能删除,若某门课程从未开设过培训班则可以删除。管理员还需维护网站新闻,包括新闻的编辑、修改、发布。系统主页显示最近发布的10条新闻。

简要地说明对本系统的运行环境(包括硬件环境和支持环境)的规定,详细说明参见附录C。
a.处理器:Intel Xeon E3-1100及以上,内存:16GB及以上。
b.外存:SATA硬盘 7200r/m 4TB * 2 。
c.网卡:Intel X540-2T及以上。
操作系统:Linux CentOS7。
数据库:MySQL8。
服务器:Tomcat9。
编译:Java JDK8。
数据通信协议:HTTP/HTTPS,TCP/IP。
运行
命令:java -jar xxx.jar
来源:bash
停止运行
命令
1.获得PID:ps aux|grep xxx.jar
2.停止运行:kill (1中获得的PID) PID
来源:bash
说明本系统的基本设计概念和处理流程,尽量使用图表的形式。

用一览表及框图的形式说明本系统的系统元素(各层模块、子程序、公用程序等)的划分,扼要说明每个系统元素的标识符和功能,分层次地给出各元素之间的控制与被控制关系.


用例名称:用户登录。
用例简述:该用例允许学员、培训师、管理员登录系统,以便进行后续操作。
参与者:学员、培训师、管理员。
前置条件:参与者已经打开系统首页,并有进入系统的需要。
后置条件:如果该用例成功结束,则什么信息也不会被修改。
主事件流如下:
(1)参与者点击“登录”,用例开始。
(2)系统显示“登录”界面。
(3)参与者输入账号和密码。
(4)系统判断账号和密码是否正确。如果数据库连接有问题,则执行异常事件流e。
(5)如果账号或密码不正确,系统提示错误,并返回执行(3);如果账号和密码都正确,则进入系统首页,用例结束。
异常事件流e如下:
e.1:提示参与者数据库连接不上。
e.2:系统自动关闭,用例结束。




用例名称:学员注册。
用例简述:该用例允许用户进行注册成为学员的操作。
参与者:所有用户。
前置条件:参与者已经打开系统首页,并有注册为学员的需要。
后置条件:如果该用例成功结束,则系统会生成新的学员账户。
主事件流如下:
(1)参与者点击“注册”,用例开始。
(2)系统显示“注册”界面。
(3)参与者输入密码和个人信息。
(4)系统判断密码与个人信息是否符合规范。
(5)如果不符合规范,系统提示错误信息,并返回执行(3);如果符合规范,则向数据库添加新学员信息,并返回账号。如果数据库连接有问题,则执行异常事件流e。
(6)显示注册成功和账号的提示,用例结束。
异常事件流e如下:
e.1:提示参与者数据库连接不上。
e.2:系统自动关闭,用例结束。




用例名称:学员修改个人信息。
用例简述:该用例允许学员进行修改个人信息的操作。
参与者:学员。
前置条件:参与者已经成功登录系统,并且有修改个人信息的需要。
后置条件:如果该用例成功结束,则系统会修改参与者账号的个人信息。
主事件流如下:
(1)参与者点击“修改个人信息”,用例开始。
(2)系统显示“修改个人信息”界面。
(3)参与者输入新的个人信息。
(4)系统判断新的个人信息是否符合规范。
(5)如果不符合规范,系统提示错误信息,并返回执行(3);如果符合规范,则向数据库更新新的个人信息。如果数据库连接有问题,则执行异常事件流e。
(6)显示个人信息修改成功的提示,用例结束。
异常事件流e如下:
e.1:提示参与者数据库连接不上。
e.2:系统自动关闭,用例结束。




用例名称:学员修改密码。
用例简述:该用例允许学员进行修改密码的操作。
参与者:学员
前置条件:参与者已经成功登录系统,并且有修改密码的需要。
后置条件:如果该用例成功结束,则系统会修改参与者账号的密码。
主事件流如下:
(1)参与者点击“修改密码”,用例开始。
(2)系统显示“修改密码”界面。
(3)参与者输入原密码和两次新密码。
(4)系统判断原密码是否正确。如果数据库连接有问题,则执行异常事件流e。
(5)如果原密码错误,系统提示错误信息,并返回执行(3);如果原密码正确,系统判断两次输入的新密码是否一致并符合规范。
(6)如果不一致或不符合规范,系统提示错误信息,并返回执行(3);如果一致并符合规范,则向数据库更新新的密码。如果数据库连接有问题,则执行异常事件流e。
(7)显示密码修改成功的提示,用例结束。
备选事件流如下:
(3) 参与者放弃修改密码,选择“返回”。
(4) 系统显示首页。
异常事件流e如下:
e.1:提示参与者数据库连接不上。
e.2:系统自动关闭,用例结束。




用例名称:学员查看培训班信息。
用例简述:该用例允许学员查看所以培训班信息。
参与者:学员。
前置条件:参与者已经成功登录系统,并且有查看培训班信息的需要。
后置条件:如果该用例成功结束,则什么信息也不会被修改。
主事件流如下:
(1)参与者点击“查看培训班信息”,用例开始。
(2)系统查询并列出所有培训班信息,供参与者查看。如果数据库连接有问题,则执行异常事件流e。
(3)如果选择退出操作,则本用例结束执行。
异常事件流e如下:
e.1:提示参与者数据库连接不上。
e.2:系统自动关闭,用例结束。




用例名称:学员选课。
用例简述:该用例允许学员选择培训班上课。
参与者:学员。
前置条件:参与者已经成功登录系统,并且有选课参加培训的需要。
后置条件:如果该用例成功结束,则系统会生成选课记录。
主事件流如下:
(1)参与者点击“选课”,用例开始。
(2)系统执行“学员查看培训班信息”用例。
(3)参与者选择培训班。
(4)系统向数据库添加选课记录。如果数据库连接有问题,则执行异常事件流e。
(5)显示选课成功的提示,用例结束。
备选事件流如下:
(3) 参与者放弃选课,选择“返回”。
(4) 系统显示首页。
异常事件流e如下:
e.1:提示参与者数据库连接不上。
e.2:系统自动关闭,用例结束。




用例名称:学员缴费。
用例简述:该用例允许学员对未缴费的选课记录进行缴费。
参与者:学员。
前置条件:参与者已经成功登录系统,有未缴费的选课记录,并且有缴费的需要。
后置条件:如果该用例成功结束,则系统会生成缴费记录。
主事件流如下:
(1)参与者点击“缴费”,用例开始。
(2)系统查询并列出参与者所有未缴费的选课记录,供参与者查看。如果数据库连接有问题,则执行异常事件流e。
(3)参与者选择缴费课程。
(4)系统向数据库添加缴费记录并更新选课记录缴费状态。如果数据库连接有问题,则执行异常事件流e。
(5)显示缴费成功的提示,用例结束。
备选事件流如下:
(3) 参与者放弃缴费,选择“返回”。
(4) 系统显示首页。
异常事件流e如下:
e.1:提示参与者数据库连接不上。
e.2:系统自动关闭,用例结束。




用例名称:学员查询成绩。
用例简述:该用例允许学员查询其参加的培训课程的成绩。
参与者:学员。
前置条件:参与者已经成功登录系统,有参加的培训课程,并且有查看成绩的需要。
后置条件:如果该用例成功结束,则什么信息也不会被修改。
主事件流如下:
(1)参与者点击“查询成绩”,用例开始。
(2)系统查询并列出参与者所有参加培训课程的成绩,供参与者查看。如果数据库连接有问题,则执行异常事件流e。
(3)如果选择退出操作,则本用例结束执行。
异常事件流e如下:
e.1:提示参与者数据库连接不上。
e.2:系统自动关闭,用例结束。




用例名称:维护课程信息。
用例简述:该用例允许管理员对课程信息进行管理。
参与者:管理员。
前置条件:管理员已经成功登录系统,有对课程信息管理的需要。
后置条件:如果该用例成功结束,则课程信息则会根据管理员的操作而改变。
主事件流如下:
(1)参与者点击“维护课程信息”,用例开始。
(2)系统将列出所有课程信息,并有开设课程和删除课程的选项,管理员可以根据自己的需求进行对应的操作。如果数据库连接有问题,则执行异常事件流e。
(3)拓展点 1 :若选择开设课程操作,则执行“开设课程”用例。
(4)拓展点 2 :若选择删除课程操作,则执行“删除课程”用例。
(5)如果选择退出操作,则本用例结束执行。
异常事件流e如下:
e.1:提示参与者数据库连接不上。
e.2:系统自动关闭,用例结束。




用例名称:维护培训师信息。
用例简述:该用例允许管理员对课程信息进行管理。
参与者:管理员。
前置条件:管理员已经成功登录系统,有对培训师信息管理的需要。
后置条件:如果该用例成功结束,则培训师信息则会根据管理员的操作而改变。
主事件流如下:
(1)参与者点击“维护培训师信息”,用例开始。
(2)系统将列出所有培训师信息和发送登录信息的选项,管理员可以根据自己的需求进行对应的操作。如果数据库连接有问题,则执行异常事件流e。
(3)拓展点 1 :若选择开设课程操作,则执行“发送登录信息”用例。
(4)如果选择退出操作,则本用例结束执行。
异常事件流e如下:
e.1:提示参与者数据库连接不上。
e.2:系统自动关闭,用例结束。




用例名称:维护网站新闻。
用例简述:该用例允许管理员对网站新闻进行维护和管理。
参与者:管理员。
前置条件:管理员已经成功登录系统,有对维护网站新闻的需要。
后置条件:如果该用例成功结束,则网站新闻则会根据管理员的操作而改变。
主事件流如下:
(1)参与者点击“维护网站新闻”,用例开始。
(2)系统将列出所有网站新闻,并有编辑新闻、修改新闻以及发布新闻的选项,管理员可以根据自己的需求进行对应的操作。如果数据库连接有问题,则执行异常事件流e。
(3)拓展点 1 :若选择编辑新闻操作,则执行“编辑新闻”用例。
(4)拓展点 2 :若选择修改新闻操作,则执行“修改新闻”用例。
(5)拓展点 3 :若选择发布新闻操作,则执行“发布新闻”用例。
(6)如果选择退出操作,则本用例结束执行。
异常事件流e如下:
e.1:提示参与者数据库连接不上。
e.2:系统自动关闭,用例结束。




用例名称:开设培训班。
用例简述:该用例允许管理员对培训班信息进行维护和管理。
参与者:管理员。
前置条件:管理员已经成功登录系统,有对开设培训班的需要。
后置条件:如果该用例成功结束,则网站新闻则会根据管理员的操作而改变。
主事件流如下:
(1)参与者点击“开设培训班”,用例开始。
(2)系统将列出所有的培训班,并有指定培训师、确定开课时间以及发布培训信息的选项,管理员可以根据自己的需求进行对应的操作。如果数据库连接有问题,则执行异常事件流e。
(3)拓展点 1 :若选择指定培训师操作,则执行“指定培训师”用例。
(4)拓展点 2 :若选择确定开课时间操作,则执行“确定开课时间”用例。
(5)拓展点 3 :若选择发布培训信息操作,则执行“发布培训信息”用例。
(6)如果选择退出操作,则本用例结束执行。
异常事件流e如下:
e.1:提示参与者数据库连接不上。
e.2:系统自动关闭,用例结束。




用例名称:打印听课证。
用例简述:该用例允许管理员进行打印听课证的。
参与者:管理员。
前置条件:管理员已经成功登录系统,有对打印听课证的需要。
后置条件:如果该用例成功结束,则指定数量的听课证会被打印出来。
主事件流如下:
(1)参与者点击“打印听课证”,用例开始。
(2)系统将列出所有未办理听课证的学员,并有打印听课证的选项,管理员可以根据自己的需求进行对应的操作。如果数据库连接有问题,则执行异常事件流e1。
(3)执行打印听课证操作。若如打印失败,则执行异常事件流e2。
(4)如果选择退出操作,则本用例结束执行。
异常事件流e1如下:
e.1.1:提示参与者数据库连接不上。
e.1.2:系统自动关闭,用例结束。
异常事件流e2如下:
e.2.1:提示打印设备连接不上。
e.2.2:系统自动关闭,用例结束。



3.13.5活动图(带泳道)

用例名称:补办听课证。
用例简述:该用例允许管理员进行补办听课证的。
参与者:管理员。
前置条件:管理员已经成功登录系统,有对补办听课证的需要。
后置条件:如果该用例成功结束,则指定数量的听课证会被打印出来。
主事件流如下:
(1)参与者点击“打印听课证”,用例开始。
(2)系统将列出所有需要补办听课证的学员,并有打印听课证的选项,管理员可以根据自己的需求进行对应的操作。如果数据库连接有问题,则执行异常事件流e1。
(3)执行打印听课证操作。若如打印失败,则执行异常事件流e2。
(4)如果选择退出操作,则本用例结束执行。
异常事件流e1如下:
e.1.1:提示参与者数据库连接不上。
e.1.2:系统自动关闭,用例结束。
异常事件流e2如下:
e.2.1:提示打印设备连接不上。
e.2.2:系统自动关闭,用例结束。




用例名称:培训师查询成绩。
用例简述:该用例允许培训师查询其辅导的培训班学员的成绩。
参与者:培训师
前置条件:参与者已经成功登录系统,有培训的班级,并且有查看成绩的需要。
后置条件:如果该用例成功结束,则什么信息也不会被修改。
主事件流如下:
(1) 参与者点击“查询成绩”,用例开始。
(2) 系统查询并列出参与者所有参加培训课程的成绩,供参与者查看。如果数据库连接有问题,则执行异常事件流e。
(3) 如果选择退出操作,则本用例结束执行。
异常事件流e如下:
e.1:提示参与者数据库连接不上。
e.2:系统自动关闭,用例结束。



用例名称:录入成绩
用例简述:该用例允许用户进行录入成绩的操作
参与者:用户(培训师)
前置条件:参与者已经成功登录系统,并且有录入成绩的需要。
后置条件:如果该用例成功结束,则系统会录入该学生的成绩。
主事件流如下:
(1) 参与者点击“录入成绩”,用例开始;
(2) 系统显示“录入成绩”界面;
(3) 参与者输入学生的理论成绩和实践成绩;
(4) 系统根据理论成绩40%,实践成绩60%的占比录入系统。如果数据库连 接有问题,则执行异常事件流e2。
(5) 若符合,则向数据库更新学生成绩,否则系统提示错误信息,并返回(3),如果数据库连接有问题,则执行异常事件流e。
(6) 显示成绩录入成功的提示,用例结束。
备选事件流1:
(3) 用户放弃录入成绩选择“返回”;
(4) 系统显示系统主页面。
异常事件流e:
e1.提示参与者数据库连接不上。
e2.系统自动关闭,用例结束。



用例名称:提交成绩
用例简述:该用例允许用户进行提交录入的成绩的操作
参与者:用户(培训师)
前置条件:参与者已经成功登录系统,并且有提交成绩的需要。
后置条件:如果该用例成功结束,则系统会提交成绩到系统,届时学员可以查看。
主事件流如下:
(1) 参与者点击“提交成绩”,用例开始;
(2) 系统显示“提交成绩”界面;
(3) 参与者确认录入的成绩无误后,点击提交按钮;
(4) 系统提交,同步到数据库。如果数据库连接有问题,则执行异常事件流e2。
(5) 如果错误,则要求返回执行(2)。
(6) 若符合,则向数据库更新学员成绩,否则系统提示错误信息,并返回(4),如果数据库连接有问题,则执行异常事件流e。
(7) 显示成绩提交成功的提示,用例结束。
备选事件流1:
(3) 用户放弃提交成绩选择“返回”;
(4) 系统显示系统编辑学员成绩页面。
异常事件流e:
e1.提示参与者数据库连接不上。
e2.系统自动关闭,用例结束。




用例名称:修改密码。
用例简述:该用例允许培训师进行修改密码的操作。
参与者:培训师
前置条件:参与者已经成功登录系统,并且有修改密码的需要。
后置条件:如果该用例成功结束,则系统会修改参与者账号的密码。
主事件流如下:
(1) 参与者点击“修改密码”,用例开始。
(2) 系统显示“修改密码”界面。
(3) 参与者输入原密码和两次新密码。
(4) 系统判断原密码是否正确。如果数据库连接有问题,则执行异常事件流e。
(5) 如果原密码错误,系统提示错误信息,并返回执行(3);如果原密码正确,系统判断两次输入的新密码是否一致并符合规范。
(6) 如果不一致或不符合规范,系统提示错误信息,并返回执行(3);如果一致并符合规范,则向数据库更新新的密码。如果数据库连接有问题,则执行异常事件流e。
(7) 显示密码修改成功的提示,用例结束。
备选事件流如下:
(3) 参与者放弃修改密码,选择“返回”。
(4) 系统显示首页。
异常事件流e如下:
e.1:提示参与者数据库连接不上。
e.2:系统自动关闭,用例结束。




用例名称:指定培训师
用例简述:该用例允许用户给学院指定培训老师的操作
参与者:用户(管理员)
前置条件:参与者已经成功登录系统,并且有指定培训师的需要。
后置条件:如果该用例成功结束,则系统会为学员指定好培训师。
主事件流如下:
(1) 参与者点击“指定培训师”,用例开始;
(2) 系统显示“培训师”列表界面;
(3) 参与者根据培训班的特点指定某一位培训师;
(4) 系统判断该培训师是否空闲。如果数据库连接有问题,则执行异常事件流e2。
(5) 如果错误,则要求返回执行(3)。
(6) 如果正确,则赋予该培训师管理这个班级的权限,否则系统提示错误信息,并返回(4),如果数据库连接有问题,则执行异常事件流e。
(7) 显示指定培训师成功的提示,用例结束。
备选事件流1:
(3) 用户放弃指定培训师选择“返回”;
(4) 系统显示系统登陆页面。
异常事件流e:
e1.提示参与者数据库连接不上。
e2.系统自动关闭,用例结束。




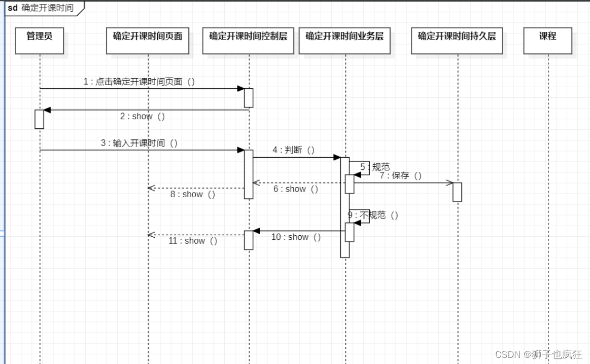
用例名称:确定开课时间
用例简述:该用例允许用户进行确定开课时间的操作
参与者:用户(管理员)
前置条件:参与者已经成功登录系统,已经确定好培训班,并且有确定开课时间的需要。
后置条件:如果该用例成功结束,则系统会确定好开课时间。
主事件流如下:
(1) 参与者点击“设置开课时间”,用例开始;
(2) 系统显示“设置开课时间”界面;
(3) 参与者输入开课时间(年月日);
(4) 系统判断输入日期是否规范。如果数据库连接有问题,则执行异常事件流e2。
(5) 如果错误,则要求返回执行(3)。
(6) 如果正确,则向数据库提交开课时间,否则系统提示错误信息,并返回(4),如果数据库连接有问题,则执行异常事件流e。
(7) 显示开课时间设置成功的提示,用例结束。
备选事件流1:
(3)用户放弃设置开课时间选择“返回”;
(4)系统显示系统登陆页面。
异常事件流e:
e1.提示参与者数据库连接不上。
e2.系统自动关闭,用例结束。

3.20.3顺序图



用例名称:发布培训信息
用例简述:该用例允许用户进行发布培训信息的操作
参与者:用户(管理员)
前置条件:参与者已经成功登录系统,确定好培训班和开课时间,并且有发布培训消息的需要。
后置条件:如果该用例成功结束,则系统会发布培训信息。
主事件流如下:
(1)参与者点击“发布培训信息”,用例开始;
(2)系统显示“发布培训信息”界面;
(3)参与者输入培训信息内容
(4)系统判断培训内容是否符合标准。如果数据库连接有问题,则执行异常事件流e2。
(5)如果错误,则要求返回执行(3)。
(6)若符合,则向数据库提交培训信息,否则系统提示错误信息,并返回(4),如果数据库连接有问题,则执行异常事件流e。
(7)显示培训信息发布成功的提示,用例结束。
备选事件流1:
(3) 用户放弃发布选择“返回”;
(4) 系统显示系统管理员页面。
异常事件流e:
e1.提示参与者数据库连接不上。
e2.系统自动关闭,用例结束。




用例名称:发布新闻
用例简述:该用例允许用户进行发布新闻的操作
参与者:用户(管理员)
前置条件:参与者已经成功登录系统,编辑好新闻,并且确定无误后。
后置条件:如果该用例成功结束,则系统会发布新闻。
主事件流如下:
(1) 参与者点击“发布新闻”,用例开始;
(2) 系统显示“发布新闻”界面;
(3) 参与者审核新闻内容,如果错误,则要求返回执行(3)。
(4) 系统判断新闻内容是否符合标准。如果数据库连接有问题,则执行异常事件流e2。
(5) 如果错误,则要求返回执行(3)。
(6) 若符合,则向数据库提交新闻内容,否则系统提示错误信息,并返回(4),如果数据库连接有问题,则执行异常事件流e。
(7) 显示新闻内容发布成功的提示,用例结束。
备选事件流1:
(3) 用户放弃发布选择“返回”;
(4) 系统显示系统管理员页面。
异常事件流e:
e1.提示参与者数据库连接不上。
e2.系统自动关闭,用例结束。




用例名称:修改新闻
用例简述:该用例允许用户进行修改新闻的操作
参与者:用户(管理员)
前置条件:参与者已经成功登录系统,并且有修改新闻内容的的需要
后置条件:如果该用例成功结束,则系统会修改新闻内容。
主事件流如下:
(1) 参与者点击“修改新闻”,用例开始;
(2) 系统显示“修改新闻”界面;
(3) 参与者输入新的新闻内容
(4) 系统判断新的新闻内容是否符合标准。如果数据库连接有问题,则执行异常事件流e2。
(5) 如果错误,则要求返回执行(3)。
(6) 若符合,则向数据库提交新的新闻内容,否则系统提示错误信息,并返回(4),如果数据库连接有问题,则执行异常事件流e。
(7) 显示新闻修改成功的提示,用例结束。
备选事件流1:
(3) 用户放弃发布选择“返回”;
(4) 系统显示系统管理员页面。
异常事件流e:
e1.提示参与者数据库连接不上。
e2.系统自动关闭,用例结束。




用例名称:编辑新闻
用例简述:该用例允许用户进行编辑新闻的操作
参与者:用户(管理员)
前置条件:参与者已经成功登录系统,并且有编辑新闻的需要。
后置条件:如果该用例成功结束,则系统会保存新闻内容。
主事件流如下:
(1) 参与者点击“编辑新闻”,用例开始;
(2) 系统显示“编辑新闻”界面;
(3) 参与者输入新闻内容
(4) 系统判断新闻内容是否符合标准。如果数据库连接有问题,则执行异常事件流e2。
(5) 如果错误,则要求返回执行(3)。
(6) 若符合,则向数据库提交培训信息,否则系统提示错误信息,并返回(4),如果数据库连接有问题,则执行异常事件流e。
(7) 显示新闻编辑成功的提示,用例结束。
备选事件流1:
(3) 用户放弃发布选择“返回”;
(4) 系统显示系统管理员页面。
异常事件流e:
e1.提示参与者数据库连接不上。
e2.系统自动关闭,用例结束。




用例名称:发送登录信息
用例简述:该用例允许用户进行发送登录信息的操作
参与者:用户(管理员)
前置条件:参与者已经成功登录系统,确定培训师的信息,并且有发送登录消息的需要。
后置条件:如果该用例成功结束,则系统会发送登录信息。
主事件流如下:
(1) 参与者点击“发送登录信息”,用例开始;
(2) 系统显示“发送登录信息”界面;
(3) 系统自动生成登录信息;
(4) 系统判断登录信息是否符合标准。如果数据库连接有问题,则执行异常事件流e2。
(5) 如果错误,则要求返回执行(3)。
(6) 若符合,则向培训师发送登录信息,否则系统提示错误信息,并返回(4),如果发送有问题,则执行异常事件流e。
(7) 显示培训信息发布成功的提示,用例结束。
备选事件流1:
(3) 用户放弃发布选择“返回”;
(4) 系统显示系统管理员页面。
异常事件流e:
e1.提示参与者系统发送失败。
e2.系统自动关闭,用例结束。



用例名称:删除课程
用例简述:该用例允许用户进行删除课程的操作
参与者:用户(管理员)
前置条件:参与者已经成功登录系统,并且有删除课程的需要。
后置条件:如果该用例成功结束,则系统会更新课程信息。
主事件流如下:
(1) 参与者点击“删除课程”,用例开始;
(2) 系统显示“删除课程”界面;
(3) 参与者确定需要删除的课程内容
(4) 系统判断删除课程内容是否符合标准。如果数据库连接有问题,则执行异常事件流e2。
(5) 如果错误,则要求返回执行(3)。
(6) 若符合,则向数据库提交删除课程信息,否则系统提示错误信息,并返回(4),如果数据库连接有问题,则执行异常事件流e。
(7) 显示删除课程成功的提示,用例结束。
备选事件流1:
(3) 用户放弃发布选择“返回”;
(4) 系统显示系统管理员页面。
异常事件流e:
e1.提示参与者数据库连接不上。
e2.系统自动关闭,用例结束。




用例名称:开设课程
用例简述:该用例允许用户进行开设课程的操作
参与者:用户(管理员)
前置条件:参与者已经成功登录系统,并且有开设课程的需要。
后置条件:如果该用例成功结束,则系统会更新课程信息。
主事件流如下:
(1) 参与者点击“开设课程”,用例开始;
(2) 系统显示“开设课程”界面;
(3) 参与者输入课程信息
(4) 系统判断课程信息是否符合标准。如果数据库连接有问题,则执行异常事件流e2。
(5) 如果错误,则要求返回执行(3)。
(6) 若符合,则向数据库提交课程信息,否则系统提示错误信息,并返回(4),如果数据库连接有问题,则执行异常事件流e。
(7) 显示开设课程成功的提示,用例结束。
备选事件流1:
(3) 用户放弃发布选择“返回”;
(4) 系统显示系统管理员页面。
异常事件流e:
e1.提示参与者数据库连接不上。
e2.系统自动关闭,用例结束。








管理员表

学生表

培训师表

课程表

班级表

培训海报

成绩表

新闻表


🦁
到这里,软件需求分析更新完毕。如果觉得还行,可以三连一下哦!🐇
上一篇:类和对象 - 中