这章节我们来解决的问题是:如何使用神经网络实现逻辑电路中的“异或门”模型?
如下图:

根据第2章我们知道,单层感知器是能够解决“与门”、“或门”、“非门”这些简单的线性问题,但是不能解决“异或门”这类非线性问题。
如果在单层感知器上增加一层,能够很好的解决异或问题。
例如网络结构如下:

我们把每一个感知器节点代表了一个分类器,那么几个节点学习到的分割线如下:

以上3个节点的组合就可以解决异或门问题。
多层感知器中,我们期望分割面是非线性的,故选择为sigmoid为激活函数。
sigmoid表达式和曲线:

sigmoid函数也叫 Logistic 函数,取值范围为(0,1),它可以将一个实数映射到(0,1)的区间。
求导如下:

这个公式在计算梯度的时候用到。
那么采样非线性激活函数,神经网络就有可能学习到平滑的曲线来分割平面,从线性到非线性。

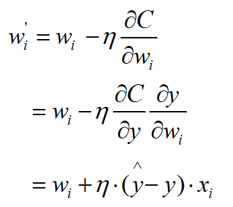
按照单层感知器的权重更新,节点3的权重更新可以轻松求得;但是节点1和节点2权重的更新如何求解呢?

按照公式如下:

要求得w111必须要知道节点1的期望值,但是节点1,2的期望值不存在,不能直接求其梯度。
解决方案:误差反向传播算法(Backpropagation,BP算法)
神经网络的训练关键在于如何调整权值和阈值,采用的算法:
(1)单层感知机的算法:梯度下降算法;
(2)多层感知器的算法:误差反向传播算法(error Back Propagation),简称BP算法。
反向传播过程如下:

在多层神经网络中,从最后一层开始,逐层的反向进行误差信息传递,并更新相应权重。使用BP算法的多层前馈(向前传播方式没有回路或者环路)网络又称之为BP神经网络;
BP神经网络学习过程:
以下图来源:http://galaxy.agh.edu.pl/~vlsi/AI/backp_t_en/backprop.html
下面通过一个3层全连接网络来讲解,包含2个输入、2个隐藏层(第1层3个节点、第2层2个节点)、一个输出(第3层1个节点),节点计算如右图:

输入层到隐藏层的计算,即计算第一层输出y1,y2,y3

隐藏层到隐藏层的计算,即计算第2层输出y4,y5。

隐藏层到输出层,即计算输出y

反向传播,根据网络的连接路径,从输出层反向把误差项前向传递,并更新权重和偏置参数的过程。
误差项计算:将网络输出信号y与训练数据集的输出值z(期望值)进行比较,得到的差异被称为输出层神经元的误差信号d(不是均方误差,是计算梯度的某一项)。

内部神经元的误差项的计算,有2种情况:
<1>误差权重:即前向传播的权重;

<2>如果传播的误差来自多个关联神经元,它们将被叠加。


权重更新,根据网络的连接路径,从输出层反向把误差反向传递并更新权重和偏置的过程。
权重更新公式:




来源:http://neuralnetworksanddeeplearning.com/chap2.html

异或门数据集定义:
import numpy as npdef get_xy_data():""" XOR的训练集 -- 真值表 """x = np.array([[0, 0], [0, 1], [1, 0], [1, 1]])y = np.array([0, 1, 1, 0])return x,y多层感知器模型定义:
import numpy as np""" 定义感知器模型结构 """
class XORGateModel():def __init__(self):""" 初始化权重、偏置 """self.w = np.random.normal(size=6).reshape((3, 2)) # 权重self.b = np.random.normal(size=3) # 偏置self.lr = 0.1 # 学习率(超参数)def sigmoid(self, x):return 1/(1 + np.exp(-x))def dsigmoid(self, x):y = self.sigmoid(x)return y * (1 - y)def forward(self, x):""" 前向计算 """y1 = self.sigmoid((x[0]*self.w[0][0]) + (x[1]*self.w[0][1]) + self.b[0])y2 = self.sigmoid((x[0]*self.w[1][0]) + (x[1]*self.w[1][1]) + self.b[1])y3 = self.sigmoid((y1*self.w[2][0]) + (y2*self.w[2][1]) + self.b[2])return y3def update_weight(self, x, n, d):e = (x[0] * self.w[n][0]) + (x[1] * self.w[n][1]) + self.b[n]self.w[n][0] = self.w[n][0] + (self.lr * d * self.dsigmoid(e) * x[0])self.w[n][1] = self.w[n][1] + (self.lr * d * self.dsigmoid(e) * x[1])self.b[n] = self.b[n] + (self.lr * d * self.dsigmoid(e))def train(self, X, Y):"""X,Y -- 训练集"""for i in range(100000): # 迭代j = 0C = 0for xi in X:yi = self.forward(xi) # 前向计算Ci = np.power((Y[j] - yi), 2) / 2 # 计算误差C += Ci# 更新权重跟偏置if Ci > 0:d = Y[j] - yid1 = self.w[2][0] * dd2 = self.w[2][1] * dself.update_weight(xi, 0, d1) # 节点1self.update_weight(xi, 1, d2) # 节点2self.update_weight(xi, 2, d) # 节点3j += 1print("epoch{} 误差:{}, 权重:{}".format(i, C, self.w))# 什么时候退出?if C <= 0.05:print("=== 与门的4数据都正确了, 退出迭代")break训练并保存参数:
# 训练import data_managerX, Y = data_manager.get_xy_data() # 读取数据集model = XORGateModel() # 实例化类对象model.train(X, Y) # 执行训练# 验证训练结果是否正确for xi in X:print("验证 输入:{} 模型的前向计算结果:{}".format(xi, model.forward(xi)))# 保存模型参数np.savez("./params", model.w, model.b)读取参数并预测:
import numpy as npif __name__ == "__main__":# 加载参数r = np.load("./params.npz")print("权重", r["arr_0"])print("偏置", r["arr_1"])# 设置参数到网络结构import modeland_model = model.AndGateModel()and_model.w = r["arr_0"]and_model.b = r["arr_1"]# 预测X = [[0,0], [0, 1], [1, 0], [1, 1]]for xi in X:print("预测 输入:{} 结果:{}".format(xi, and_model.forward(xi)))代码地址:https://download.csdn.net/download/qq_21386397/87567645
有帮助,一键三连哦~~~~~~~~~~~~~~~~~~~~~~~~