将两个升序链表合并为一个新的升序链表并返回。新链表是通过拼接给定的两个链表的所有节点组成的。

两个链表都为空,直接返回NULL

有一个链表为空,返回另外一个链表的地址

· 两个链表的节点范围是[ 0, 50 ]
· -100 <= Node, val <= 100
· l1 和 l2 均按非递减顺序排列
由上述可知,每个节点进行比较,数据小的放在前面,数据大的放在后面。
第一种方式: 创建 一个指针作为返回的值
第二种方式:创建哨兵位的头节点,按照顺序依次链接,最后返回哨兵位指向下个节点的地址。
struct ListNode* mergeTwoLists(struct ListNode* list1, struct ListNode* list2){//如果有一方链表为空,则返回另一方链表if (list1 == NULL)return list2;if (list2 == NULL)return list1;//head作为返回的指针,tail作为指向排序链表的指针struct ListNode* cur1 = list1, *cur2 = list2;struct ListNode* head, *tail;head = tail = NULL;while (cur1 && cur2){if (cur1->val > cur2->val){if (head == NULL)//如果head为空,就代表cur2第一个放进去{head = tail = cur2;}else{tail->next = cur2;tail = cur2;}cur2 = cur2->next;//无论head为不为空,都要进行排序}else{if (head == NULL){head = tail = cur1;}else{tail->next = cur1;tail = cur1;}cur1 = cur1->next;}}//如果链表两边节点数量不相等,就要进行判断if (cur1)tail->next = cur1;//cur1还有节点,直接进行一次赋值就行了,节点自带下个节点的地址if (cur2)tail->next = cur2;return head;//返回指针
}
这里有动图可以加深理解
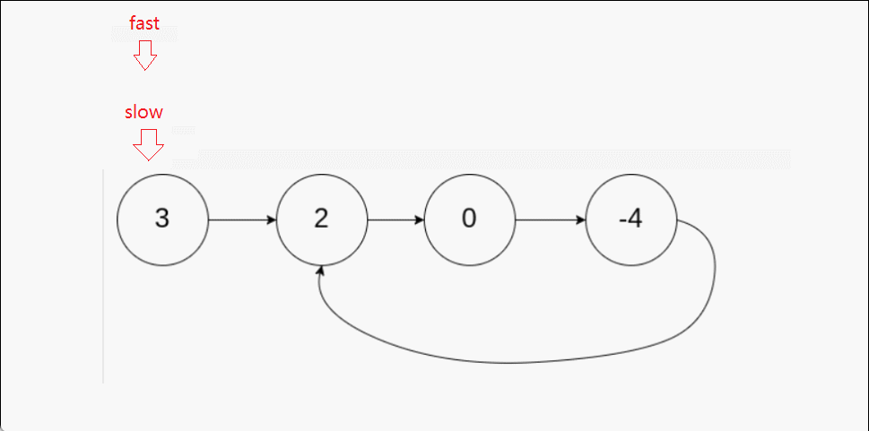
给你一个链表的头节点head,判断链表中是否有环。
如果链表中有某个节点,可以通过连续跟踪 next 指针再次到达,则链表中存在环。
为了表示给定链表中的环,评测系统内部使用整数 pos 来表示链表尾连接到链表中的位置(索引从 0 开始)。注意:pos 不作为参数进行传递 。仅仅是为了标识链表的实际情况。
如果链表中存在环,则返回true。否则,返回false。



· 链表中节点的数目范围是 [ 0, 10 ^ 4 ]
· -10 ^ 5 <= Node, val <= 10 ^ 5
· pos 为 -1 或者链表中的一个有效索引。
有环的链表相当于追及问题
如果两个指针相对速度为1,必然追得上
追的过程中可能遇到空,代表无环
bool hasCycle(struct ListNode *head) {//利用快慢指针,快指针比慢指针多走一步,有环一定相遇if (head == NULL || head->next == NULL)//如果一开始链表为空或者只有一个节点,那么就没有环return false;struct ListNode* slow = head, *fast = head;while (fast){ //如果有很多的节点,并且没有环,那么就要考虑为空或者指向下一个为空的情况了if (fast == NULL || fast->next == NULL)return false;fast = fast->next->next; slow = slow->next;if (fast == slow)//不放前面是因为slow和fast开始指向的位置一样return true;}return false;//跳出循环代表fast为空,代表没有环
}
动图理解