本章的OJ练习相对于OJ练习(4)较为简单。不过,本章的OJ最重要的是要我们证明为何可以这么做。这也是面试中常出现的。
对于OJ练习(4):-> 传送门 <-,分割链表以一种类似于归并的思想解得,回文链表以一种巧妙复用前面OJ题的思想解得。
啰嗦一下:对于本章,最重要的是需要证明为什么这样做可以,所以我们不光要做出来OJ,还要能够理解并自行给出证明。
题目链接: -> 传送门 <-。
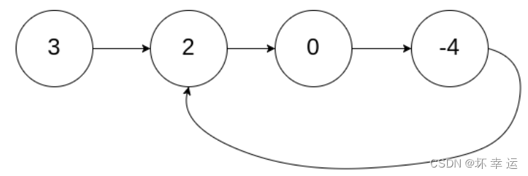
题目描述:给你一个链表的头节点 head ,判断链表中是否有环。如果链表中存在环 ,则返回 true 。 否则,返回 false 。
带环链表类似于下面这种结构:

解题思路:
由于带环链表直接遍历会陷入死循环,也就是说会无限在环内遍历下去,因此,这里可以引出一个追击问题:用快慢指针遍历链表。
我们定义两个指针,分别是慢指针slow,快指针fast,这两个指针同时遍历链表,slow每次走一步,fast每次走两步。fast会先进入环然后在环内跑圈,当slow进入环后,这就是一个典型的追及问题了,slow每次在环内走一步,fast每次在环内走两步,两个指针的距离每次缩小1,最终fast会追上slow与slow指向同一节点。当两个指针相等时,就可以判断该链表带环,因此判断条件就是fast == slow (return true)。
如果链表不带环,fast最终会指向NULL的前一个结点或者就指向NULL。因此,整个判断过程就结束了。


fast是指向NULL结束,链表的节点个数为奇数时,fast是指向最后一个结点结束。解题代码:
bool hasCycle(struct ListNode *head) {struct ListNode* fast = head, * slow = head;while (fast && fast->next){fast = fast->next->next;slow = slow->next;if (fast == slow) return true;}return false;
}
为什么快慢指针可以?
快指针每次走两步,慢指针每次走一步,当两个指针都在环内的时候,就成了一个追击问题,两个指针的距离每次缩小一,最终快指针会追上慢指针,因此判断其有环。
那假如快指针每次走三步,慢指针走一步呢?
我们将带环链表抽象成下图:

假设每次快指针走三步,慢指针每次走一步,当两个指针都进环后,此时的相对位置为:

我们记此时慢指针slow与快指针fast的距离为N,慢指针每次走一步,快指针每次走三步,因此N每次减少2,于是就有:
N - 2
N - 4
N - 6
N - 8
.....
最终有两种情况:
😃.N = 1,然后再减2 -> -1
😉.N = 2,然后再减2 -> 0
如果N最后减为-1,那么再次追击,如果N最后减为0,则快指针等于慢指针,判断为true。所以得出:当N为奇数时,追不上;当N为偶数时,一定追得上。
如果追不上,最后fast会在slow的下一个位置,然后继续追击,那么,继续追击又是否追的上呢?
我们假设环的长度为C,那么此时再次追击两个指针的距离就为:C - 1,令T = C - 1,则:
T - 2
T - 4
T - 6
T - 8
.....
最终有两种情况:
😃.T = 1,然后再减2 -> -1
😉.T = 2,然后再减2 -> 0
C为偶数时,则C - 1(T)为奇数,此时继续追不上,并且下一次也是一样,所以这里会陷入死循环;当C为奇数时,则C - 1为偶数,此时是追的上的。因此,当C为偶数时,永远追不上,当C为奇数时,追的上。所以,通过以上分析,快指针每次走三步,慢指针每次走一步不一定能判断是否为带环链表,可能会陷入死循环,尽管陷入死循环就说明带环。
那么快指针每次走
4步,走5步,走n步呢?这里就不是我们该探讨的范围了,相信大家心里已经有答案了。
题目链接:-> 传送门 <-。
题目描述:给定一个链表的头节点 head ,返回链表开始入环的第一个节点。 如果链表无环,则返回 null。注意:不允许修改链表。
与上一题不同的是,这一题首先是要判断链表是否带环,然后在带环的基础上返回链表入环的第一个节点。类似于下图:

解题思路:
解题代码:
struct ListNode *detectCycle(struct ListNode *head) {struct ListNode *slow = head, *fast = head;while (fast && fast->next){// 快指针每次走两步fast = fast->next->next;// 慢指针每次走一步slow = slow->next;// 如果找到相遇的那个点,就开始找入环的第一个节点if (slow == fast){struct ListNode *cur = slow;// 一个从头开始走,一个从当前节点开始走while (cur != head){head = head->next;cur = cur->next;}// 最终相遇的那个点就是入环的第一个节点return cur;}}// 如果链表不带环,就返回NULLreturn NULL;
}
证明:为什么一个指针从快慢指针相遇的那个点开始走,一个指针从头开始走,最终两个指针会在入环的第一个节点处相遇?
pos位置相遇,设链表头到入环的第一个节点的距离为X, 入环的第一个节点到pos的距离为Y,pos到入环的第一个节点的距离为L,整个环的周长为C:
由此,我们计算一下,当快慢指针在pos相遇时分别走了多长的距离:
😃 快指针:X + nC + Y;
😉 慢指针:X + Y;
😮 为什么快指针有个
nC而不是C?
😮 为什么慢指针没有C?
nC是因为:有可能这个环的长度比较短,在慢指针入环时,快指针已经在环内走了n圈了。C是因为:慢指针入环后最多只会走C - 1步,不可能出现在环内步数超过一圈的情况,因此慢指针没有C。因此由快指针每次走两步,慢指针每次走一步的特点可以得出下面这个公式:
X + nC + Y = 2(X + Y);
化简得:
X = nC - Y;
进一步化简得:
X = (n - 1)C + (C - Y);
最终得:
X = (n - 1)C + L;

由此公式,当一个指针从pos开始走,他走了(n - 1)C,最终还是会在pos位置。而当(n - 1)C走完后,从头开始走的指针与入环的第一个节点的距离为L,与此时pos到入环的第一个节点的距离相等。因此,为什么这样的做法可以,以上就是答案。
对于单链表的题目练习,最重要的是思路,我们在数据结构阶段要养成画图的习惯,因为它能帮助我们更好的理解。后续还会有单链表相关的题目练习。
感谢阅读本小白的博客,错误的地方请严厉指出噢!