这是一款比较老的声码器,是美国1998年指定的美国国防部DoD电信和系统标准,该算法由TI公司和ASP公司联合推出。
MELP声码率吸收了混合激励和多带激励的思想,在传统的二元激励LPC模型的基础上做出了改进,使得合成语音能更好的模拟真实语音,在2400bit/s上提供了相当于或好于4800bigs的联邦标FSl016的质量。
该声码器对 8000Hz 采样的语音信号进行分帧,每个语音帧长度为22.5ms。MELP 在传统线性预测模型的基础上通过增加混合的脉冲和噪声激励、周期或非周期脉冲、自适应谱增强、脉冲散布滤波以及残差谐波幅度模型等措施,提高了合成语音的质量。

在提取参数之前,需要对语音信号进行预处理:将语音信号通过一个截止频率为 60Hz,阻带衰减为 30dB 的 4 阶切比雪夫高通滤波器,去除信号中可能存在的 50Hz 工频干扰。
在参数提取过程中,参考点为前一帧的最后一个采样点。如果没有特别说明,所有窗函数的中心均位于参考点。
在 MELP 声码器中采用 4 个步骤提取基音周期:整数基音周期粗估、分数基音周期精估、最终基音周期估算以及基音周期倍数检测。

1.整数基音周期粗估
为了消除高频信号对基音周期求取的影响,先将语音信号输入一个截止频率为1000Hz 的低通滤波器进行处理。然后计算语音信号的归一化自相关函数 :

2.分数基音周期精估


3.最终基音周期估算

4.倍频检测


由于线潜对(LSP)参数具有比线性预测系数(LPC)更好的内插特性和量化特性(把LPC系数转化为LSP可以在量化时使用更少的比特获得同样的精度),因此将得到的LPC系数转化为LSP参数进行量化传输。
在 MELP 声码器中,首先用 5 个六阶巴特沃斯带通滤波器将语音信号分成 5 个子带:0 ~ 500Hz ,500 ~ 1000Hz ,1000 ~ 2000Hz ,2000 ~ 3000Hz 和3000~4000Hz 。然后依次确定这 5 个子频带的带通清/浊音强度。

用两种方法计算自相关函数,第一种方法是直接计算每一个带通信号的自相关函数,用自车目关函数的最大值作为带通声音的强度。第二种方法是用带通信号的包络乘以0.1后再作自相关,取这两种方法计算得到自相关较大的值作为带通声音强度(Vbpi)分析的结果。

非周期性标志用来解决浊音帧信号不完全是周期信号这一问题,若非周期性标志置为1,则解码器会用非周期脉冲来模拟不稳定的声门脉冲,即由基音周期的脉冲位置做 正负25%的抖动来生成。它通常用于合成清/浊音与浊/清音的过渡部分,这样可有效地模拟爆破音的不稳定声门脉冲。

用量化后的 LSF 参数转换成的线性预测系数来获取预测残差信号。对残差信号加长度为 200 样点的哈明窗,并进行补零直到信号长度为 512 个样点,计算 512点 FFT。最后将 FFT 值转换为幅度值,用谱峰值检测算法得出 10 个最大的谐波幅度值,这 10 个值即为残差谐波幅度值。
以 2.4kbps MELP 声码器为例介绍 MELP 声码器的参数量化方法。在 2.4kbps MELP 中,对 22.5ms/帧的语音信号用 54bit 进行量化,每种参数的具体量化方案以及纠错编码方案如下:
1.LSF参数

2.基音周期
对基音周期和最低频带清/浊音强度用 7bit 进行联合标量量化。量化规则如下:

3.带通清/浊音强度

4.增益

5.残差谐波幅度

6.纠错编码
MELP 声码器用三个哈明(7,4)码和一个哈明(8,4)码取代清音模式下多出来的13bit,用于保护第一级 LSF 参数的 7bit 和两个增益参数的 8bit,剩下的一个信息位置为 0。
7. 2.4kbps MELP 声码器比特分配方案

MELP 声码器解码端的原理框图如图所示。

由于基音周期包含了语音帧的清浊音信息,因此先进行译码。基音周期的译码过程如下:
除此之外,将当前帧判为浊音帧。当 AF=1 时,添加抖动 25%,否则不添加抖
动。

在 MELP 语音编解码器中,以基音周期为单位合成语音信号,所有参数按基音周期进行同步插值。需要进行插值的参数有增益、LSF 参数、基音周期、抖动、残差谐波幅度、混合激励的脉冲和噪声系数以及自适应增强滤波器的频谱倾斜系数。

MELP采用混合激励来减少LPC声码器常有的蜂鸣声。混合激励是由滤波后的脉冲和噪卢激励叠加生成。其中脉冲激励是由傅氏级数幅值在一个基音周期内的傅氏反变换得到,噪声是由一个随机数发生器生成。对5个子带分别控制各频带的脉冲和噪声谱的混合系数,以便更好的逼近残差谱。

对脉冲激励按如下方式进行后续处理:首先将其循环移位 10 个样点,使主脉冲出现在基音周期的第10个样点处,然后再乘以基音周期的平方根,最后乘以1000,以保证与一般信号的幅度一致。
噪声激励由随机数发生器产生,其均方根值为 1000,范围为【1732,1732】。将脉冲激励和噪声激励分别滤波后相加得到混合激励信号。
1.自适应增强

2.线性预测合成
将激励信号经过线性合成滤波器后得到合成语音信号。线性预测合成滤波器的传输函数为:

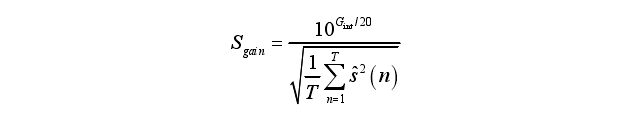
3.增益校正
为了保证合成语音的输出电平与输入语音信号的幅度相匹配,需要在相邻的合成基音周期中用基音修正因子进行线性内插。增益修正因子的计算公式为:

其中,Gint为插值后的增益值,s ˆ(n)为合成语音信号。
4.脉冲整形滤波
脉冲散布滤波器是一个 65 阶 FIR 滤波器,其宽度是典型男性基音周期的固定三角脉冲。将合成语音经过脉冲散布滤波器后就可以得到最终的合成语音信号。
5.合成循环控制
