根据前面介绍的内容,具体推理数列以及函数的极限推理过程,在实际应用中极限的两大准则使用还是比较广泛的,大家需要多多关注。
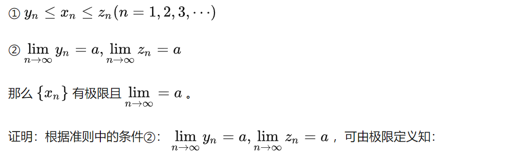
如果数列 {xn},{yn},{zn} 满足下列条件:



证明:此函数分母的极限为 0 ,所以不能直接用极限商的运算法则来证明。我们可以用夹逼准则来证明:








关于排列和组合如下:








可对
展开得到 展开式
2: 



法则一:如果 limf(x)=A,limg(x)=B, 则 lim[f(x)±g(x)]=A±B
法则二:如果 limf(x)=A,limg(x)=B, 则 lim[f(x)⋅g(x)]=A⋅B 。
法则三:如果 limf(x)=A,limg(x)=B≠0 ,则 limf(x)g(x)=AB
法则四:复合函数的极限运算法则:设 u=φ(x) ,且 limx→x0 φ(x)=a ,但在 x0 的某去心邻域内, φ(x)≠a 。又 limu→a f(u)=A ,则复合函数 f[φ(x)] 当 x→x0 时有极限,且 limx→x0 f[φ(x)]=limu→a f(u)=A 。
法则五:如果 φ(x)≥ψ(x) ,而 limφ(x)=a,limψ(x)=b ,则 a≥b 。


且

于是:



本题一反常态,固定分母来调整分子,正因为每项的分母固定住,才方便后面使用定积分的定义来计算极限,这是一个非常好的题目,这也说明学知识不能死板。
下一篇:Spring入门之前言