数理统计的另一基本任务是对总体参数作某种假设,然后根据所得的样本,运用统计分析的方法来检验这一假设是否成立,从而作出接受或拒绝的决定. 这就是假设检验问题.
我们先举一个例子来说明假设检验的基本思想和推理方法.
例3.1.1 洗衣粉包装机在正常工作时额定标准为每袋净重,根据多年的经验,已知包装量服从正态分布,其标准差
,某天开工后,为检验包装机的工作是否正常,随机抽取它所包装的洗衣粉9袋,称得净重(单位:g)为
497,506,518,524,488,511,510,515,512
问这天包装机的工作是否正常?
解:设这天包装机每袋装包量为X,若假设这天包装机的工作正常(即总体X的均值
),于是检验包装机工作是否正常的问题就转化为:在已知总体
且
,千是检验包装机工作是否正常的问题就转化为:在已知总体
且
的前提下,用抽样检查的结果(即样本观测值)来检验或推断
是否成立
为此,我们提出假设
![]()
通常把 假设称为原假设(或零假设),而把
称为备择假设.原假设是我们准备检验的假设,备择假设是在否定原假设时准备选择接受的假设.检验的目的就是要在原假


为了明确回答这个问题,必须有一个判断标准,即给定一个称为显著性水平的较小常数
一般取a为0.1,0.05,0.01等),用这个较小常数a作小概率判断.

而由定理1.3.1知
对于给定的显著性水平a,存在上侧分位数
,使

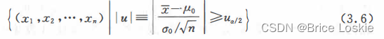
根据“概率很小的事件在个别试验中几乎是不会发生的“实际推断原理,倘若样本的某个观测值能使式(3. 3)中的小概率事件A发生,即



称为拒绝域,并称式(3.2)中定义的U 为检验统计量. 而称这种用U 做检验统计量的检验法称为U检验法.为方便,人们也常将拒绝条件(3. 5)称为拒绝域.

从上述两个结果可看出:即使对同一个问题,a的取值不同,检验得到的结论可能也不相同,甚至恰恰相反.这说明,检验与检验标准有关,要求不一样,得到的结论可能就不一样,这正是称a为显著性水平的原因.在实际应用中往往根据问题的性质及要求,人为规定a的取值. a的取值一定,则检验的标准也随之而定.
从解答例3.1. 1 的过程还可以看出,按照上述基本思想建立检验法时,拒绝H。是有根据的,而接受H。只是因为没有理由拒绝它. 换言之,只有有了充分根据才能拒绝H。,否则就得接受H。. 这表明H。处于被保护地位.例如,在例3. 1.中,拒绝Ho ,意味着包装机的工作不正常,从而需要调整机器,产品也不能出厂.企业作出这样的决定当然要持慎重态度,除非有充分根据,一般不轻易作出调整机器或停产检修的决定.由于H。在假设检验中的这一特殊地位,在解决实际问题时应当特别注意选取合理的假设H。否则,将导致错误的决定.
通过对例3.1.1 的分析可知,假设检验的基本原理就是实际推断原理.在这个基本原理指导下,检验过程有如下步骤.
(1)提出检验假设. 根据实际问题提出原假设和备择假设
. 需要注意的是:备择假设与原假设不总是对立的,但总是互不相容的.例如,我们可以提出假设。
![]()
(2)确定检验统计量.选取在原假设H。成立的条件下能确定其分布的统计量为检验统计量.
(3)构造拒绝域. 按问题的具体要求选取适当小的显著性水平a,利用所选统计量构造一个在几为真时倾向支持备择假设的小概率事件
并由此构造拒绝域(即使A 成立的区域)或拒绝条件(即使A 发生的条件).

假设检验的推理过程应用了数学证明方法中的反证法思想,但是它又不同于一般的反证法,因为它所引出的矛盾是一个小概率事件发生,而不是形式逻辑中的绝对矛盾小概率事件在一次试验中几乎是不可能出现的,但无论其概率多么小,还是有可能发生的.因此,利用上述方法进行假设检验的推断,有可能犯如下两类错误。



![]()
上一篇:MongoDB常用操作
下一篇:因子图--isam相关内容总结