作者:爱塔居
专栏:数据结构
作者简介:大三学生,希望和大家一起进步!
文章目录
一、二叉树的存储
二、二叉树的遍历(重点)
2.1 前序遍历
2.2 中序遍历
2.3 后序遍历
2.4 层序遍历
2.5 小题实练
三、代码实现
二叉树的存储结构分为:顺序存储和类似于链表的链式存储。
二叉树的链式存储是通过一个一个的节点引用起来的,常见的表示方式有二叉和三叉表示方法。
遍历是指沿着某条搜索路线,依次对树中的每个节点,均做一次且仅做一次访问。访问结点所做的操作依赖于具体的应用问题。
前序遍历:根结点》左子树》右子树

前序遍历:

从A开始,打印A往左走,遍历到B,打印B,再遍历B的左子树D,打印D,接着遍历D的左子树,发现为空,返回D,再遍历D的右子树G,打印G,遍历G的左右子树都为空,返回G,返回D,返回B,遍历B的右子树为空,返回B,返回A。
再遍历A的右子树C,打印C,遍历C的左子树F,打印F,再遍历F的左右子树为空,返回F,返回C,再遍历C的右子树K,打印K,遍历K的左右子树为空,返回K,返回C,返回A。
所以这个二叉树的前序遍历为

中序遍历:左子树》根》右子树
从A开始,到A的左子树B,遍历B的左子树D,遍历D的左子树为空,返回D,打印D,遍历D的右子树G,遍历G的左子树为空,返回G,打印G,遍历G的右子树为空,返回G,返回D,返回B,打印B,遍历B的右子树为空,返回B,返回A,打印A。
再遍历A的右子树C,遍历C的左子树F,遍历F的左子树为空,返回F,打印F,遍历F的右子树为空,返回F,返回C,打印C,遍历C的右子树K,遍历K的左子树为空,返回K,打印K,遍历K的右子树为空,返回K,返回C,返回A。
故该二叉树的中序遍历为


后序遍历:左子树》右子树》根
从A开始,遍历A的左子树B,遍历B的左子树D,遍历D的左子树为空,返回D,遍历D的右子树G,遍历G的左右子树为空,返回G,打印G,返回D,打印D,返回B,遍历B的右子树为空,返回B,打印B ,返回A。
遍历A的右子树C,遍历C的左子树F,遍历F的左右子树为空,返回F,打印F,返回C,遍历C的右子树K,遍历K的左右子树为空,返回K,打印K,返回C,打印C,返回A,打印A。
故该二叉树的后序遍历为


层序遍历就是自上而下,自左至右访问树的结点的过程。

这个二叉树的层序遍历为
1.某完全二叉树按层次输出(同一层从左到右)的序列为 ABCDEFGH 。该完全二叉树的前序序列为()
A: ABDHECFG B: ABCDEFGH C: HDBEAFCG D: HDEBFGCA
因为是完全二叉树,所以我们根据层序遍历的结果可以画出二叉树:
根据二叉树,我们得出前序遍历结果ABDHECFG
2.二叉树的先序遍历和中序遍历如下:先序遍历:EFHIGJK;中序遍历:HFIEJKG.则二叉树根结点为()
A: E B: F C: G D: H
先序遍历第一个结点就是根结点,故为A;
如果这道题要我们画出这个二叉树,我们也可以画出:
因为中序遍历顺序,根结点的左边结点都是在左边,右边的结点都是在右边。
3.设一课二叉树的中序遍历序列:badce,后序遍历序列:bdeca,则二叉树前序遍历序列为()
A: adbce B: decab C: debac D: abcde
根据中序遍历和后序遍历结果画出二叉树图为:
前序遍历结果:abcde
4.某二叉树的后序遍历序列与中序遍历序列相同,均为 ABCDEF ,则按层次输出(同一层从左到右)的序列为()
A: FEDCBA B: CBAFED C: DEFCBA D: ABCDEF
层序遍历结果:FEDCBA
🍓那如果知道前序遍历序列和后序遍历序列,我们可以画出二叉树吗?
答案是不行。因为这样,我们只能找到根结点,不能确定左子树和右子树的位置。
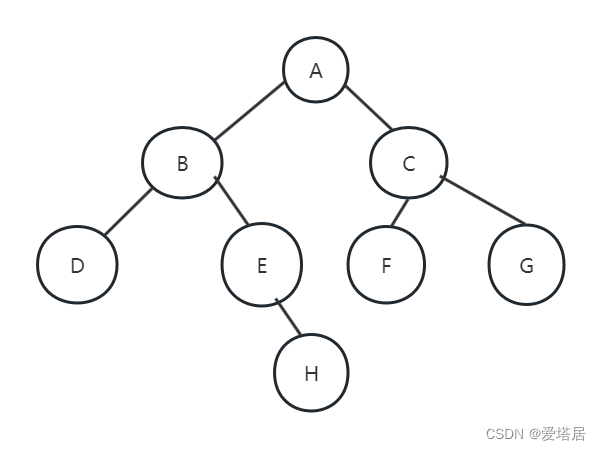
接下来,我们尝试着创建一个二叉树。

public class TestBinaryTree {
static class TreeNode {public char val;//数据域public TreeNode left;//左孩子节点public TreeNode right;//右孩子节点public TreeNode(char val) {this.val = val;}
}public TreeNode createTree( ){TreeNode A=new TreeNode('A');TreeNode B=new TreeNode('B');TreeNode C=new TreeNode('C');TreeNode D=new TreeNode('D');TreeNode E=new TreeNode('E');TreeNode F=new TreeNode('F');TreeNode G=new TreeNode('G');TreeNode H=new TreeNode('H');A.left=B;A.right=C;B.left=D;B.right=E;C.left=F;C.right=G;E.right=H;return A;}
先序遍历:
public void preOrder(TreeNode root){//当二叉树根结点为空if(root==null){return;}//不为空,打印树的根结点的值System.out.print(root.val+" ");//这时对左子树进行先序遍历,又是新的二叉树preOrder(root.left);preOrder(root.right);
}
中序遍历:
void inOrder(TreeNode root){if(root==null){return;
}inOrder(root.left);System.out.print(root.val+" ");inOrder(root.right);
}
后序遍历:
void postOrder(TreeNode root){if(root==null){return;}inOrder(root.left);inOrder(root.right);System.out.print(root.val+" ");
}
完整代码见链接:javacode: java的日常代码---------------------- - Gitee.com