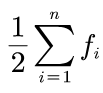
对于未分组的地理数据

对于分组的地理数据

对于未分组的地理数据
当样本数为奇数n,那么中位数为第(n+1)/2个数据值(顺序排列);
当样本数为偶数m,那么中位数为第m和m+1个数据的平均值(顺序排列);
对于分组的地理数据(两种计算方法)
对于中位数所在组位置的判断方法是通过判断频数总和的一半即

落在哪一个组的频数中;

对于未分组的地理数据,直接查看每一个样本数出现的频数大小,取频数最大的数据作为众数。
对于分组的地理数据(两种方法)

指所有数据最大值与最小值之差,计算公式为

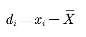
指每一个地理数据与平均值的差,计算公式为:

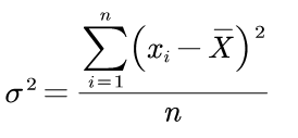
从总体上衡量一组地理数据与平均值的离散程度,计算公式为:

都是从平均状况衡量一组地理数据与平均值的离散程度。
方差计算公式为:

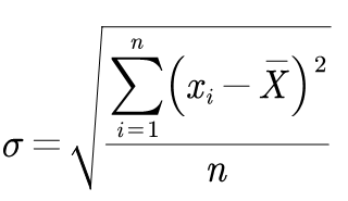
总体标准差为方差的平方根(样本标准差即将下式中分母的n更换为n-1),计算公式为:

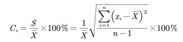
表示地理数据的相对变化(波动)程度,其计算公式为:

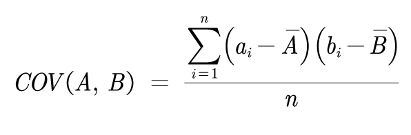
协方差用于衡量两个变量的总体误差。如果两个变量的变化趋势一致(即二者分别大于自身的期望值),那么两个变量之间的协方差为正值,如果两个变量的变化趋势相反(即一个变量大于自身期望值而另一个变量小于自身期望值),那么两个变量之间的协方差为负值。
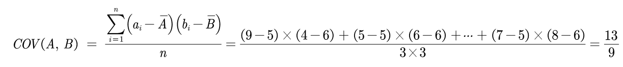
(如下公式是对两组数据A、B进行协方差的计算,每组数据的期望值即为该组数据的平均值)

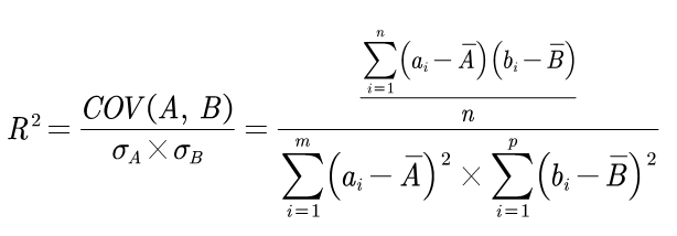
相关系数是用以反映变量之间相关关系密切程度的统计指标。假定有A、B两组数据,那么两组的一个相关程度(正相关或负相关或不相关)可以用相关系数来表示,等于A和B的协方差除以各自的方差之积。

以下示例均以栅格图像如何进行上述部分统计量的计算,以帮助了解ENVI统计分析中的计算原理。

如何进行均值计算?

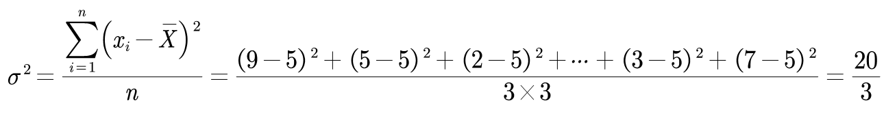
如何进行方差计算?

如何进行对三幅影像进行协方差计算获取协方差矩阵?
如下为三幅栅格图像的像元属性值:

栅格图像A和B两组数据的协方差计算:

栅格图像B和C两组数据的协方差计算:

栅格图像A和C两组数据的协方差计算:

其它数据的协方差计算类似,这里不再重复说明.
那么可以得到三组数据的一个协方差矩阵如下:

其它如相关系数的计算以及相关系数矩阵的求取(注意:数据A与数据A本身的相关系数为1)也是如上类似的,这里不再重复。
如果有问题,欢迎一起探讨.
炒茄子
下一篇:IO与NIO区别