题目链接:链表的回文结构
对于一个链表,请设计一个时间复杂度为O(n),额外空间复杂度为O(1)的算法,判断其是否为回文结构。给定一个链表的头指针A,请返回一个bool值,代表其是否为回文结构。保证链表长度小于等于900。

首先找出链表的中间结点,再从中间节点开始将中间结点 mid 以及后续结点反转得到一个新链表rhead,然后对这两个链表进行比对,直到新链表为空时就判断停止,返回 true,若在循环判断中发现了结点数值不一样,则返回 false 。
如图所示:

class PalindromeList {
public://寻找中间结点struct ListNode* middleNode(struct ListNode* head){struct ListNode*slow ,*fast;slow = fast = head;while(fast && fast->next){slow = slow->next;fast = fast->next->next;}return slow;}//从中间结点开始将后面的链表反转struct ListNode* reverseList(struct ListNode* head){struct ListNode* cur = head;struct ListNode* rhead = NULL;while(cur){struct ListNode* next = cur->next;//头插cur->next = rhead;rhead = cur;cur = next;}return rhead;}bool chkPalindrome(ListNode* A) {struct ListNode* mid = middleNode(A);struct ListNode* rhead = reverseList(mid);while(A && rhead){if(A->val != rhead->val)return false;A = A->next;rhead = rhead->next;}return true;}
};
题目链接:相交链表
给你两个单链表的头节点 headA 和 headB ,请你找出并返回两个单链表相交的起始节点。如果两个链表不存在相交节点,返回 NULL。




这道题目其实也类似快慢指针的问题,
思路:
1、首先找出两个链表的尾结点,顺便记录链表的长度。
2、算出两个链表的长度差的绝对值(gap)。
3、较长的链表先走gap步。
4、最后两个链表同时走,找交点。
struct ListNode *getIntersectionNode(struct ListNode *headA, struct ListNode *headB)
{struct ListNode* curA = headA;struct ListNode* curB = headB;int lenA = 0,lenB = 0;//找尾while(curA->next){lenA++;curA = curA->next;}while(curB->next){lenB++;curB = curB->next;}//尾结点不相等就不相交if(curA != curB)return NULL;int gap = abs(lenA - lenB);//假设A就是较长的链表,B是较短的链表struct ListNode* longList = headA,*shortList = headB;if(lenA < lenB)//如果假设错误,则反过来{longList = headB;shortList = headA;}//长的先走差距步while(gap--){longList = longList->next;}//同时走,找交点while(longList != shortList){longList = longList->next;shortList = shortList->next;}return longList;
}
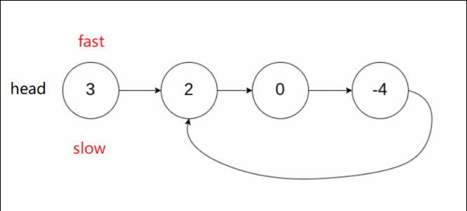
题目链接:环形链表
给你一个链表的头节点 head,判断链表中是否有环。
如果链表中有某个节点,可以通过连续跟踪 next 指针再次到达,则链表中存在环。为了表示给定链表中的环,评测系统内部使用整数 pos 来表示链表尾连接到链表中的位置(索引从 0 开始)。注意:pos 不作为参数进行传递 。仅仅是为了标识链表的实际情况。
如果链表中存在环 ,则返回 true 。 否则,返回 false 。


思路:这道题用快慢指针,慢指针走一步,快指针走两步,如果链表带环的话,快指针一定会追上慢指针。

bool hasCycle(struct ListNode *head)
{struct ListNode* fast = head,*slow = head;while(fast && fast->next){slow = slow->next;fast = fast->next->next;if(slow == fast)return true;}return false;
}
本文要是有不足的地方,欢迎大家在下面评论,我会在第一时间更正。
